Ultimo aggiornamento :
27/04/2026
Antibiotico   Tobramycin sulfate  
Iniezione
Aerosol Collirio Soluzione orale
Stabilità in soluzione Stabilità in miscela Fattori che influenzano la stabilità Compatibilità metodo di iniezione Bibliografia pdf
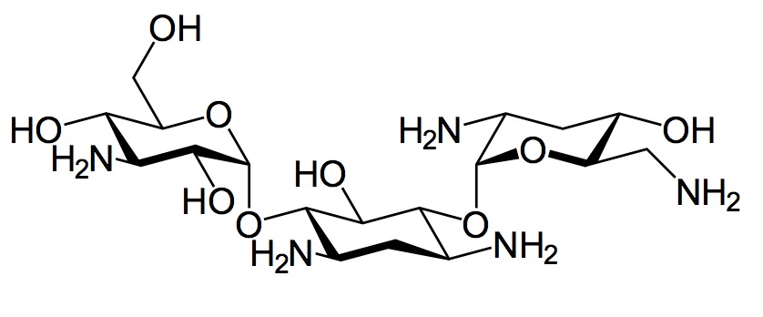
   Struttura chimica  

Nome commerciale   Nome commerciale     

Trade names are indicative and excipients composition can be different depending on the country and manufacturers

Bactob India
Beltob India
Bramicil Italia
Brulamycin Malaysia, Slovenia, Ungheria
Eltol India
Fytobra India
Gernebcin Germania
Komitob India
Nebcin Arabia Saudita, Egitto, Emirati Arabi Uniti, Gran Bretagna, Grecia, nuova Zelanda
Nebcina Danimarca, Marocco, Norvegia, Svezia
Nebcine Francia, Marocco, Slovenia
Nebicina Italia
Obracin Belgio, Lussemburgo, Paesi Bassi, Svizzera
Tobracin Arabia Saudita, Brasile, Egitto
Tobramicina Argentina, Brasile, Chile, Colombia, Ecuador, Italia, Portogallo, Spagna
Tobramina Brasile
Tobramycin Arabia Saudita, Australia, Canada, Germania, Gran Bretagna, Irlanda, Norvegia, Stati Uniti d’America
Tobramycine Francia, Irlanda, Paesi Bassi
Tobrasix Austria
Tobrazid Germania
Stabilità in miscela   Iniezione   Stabilità in miscela : Tobramycin sulfate     
contenitore Solvente Concentrazione Molecola Temperatura Conservazione Durata della stabilità Bibliografia
Vetro Glucosio 5% 3,2 mg/ml
Iniezione   Tobramycin sulfate   
Iniezione   Filgrastim 40 µg/ml
25°C
4 Ora
Non precisata 104
Livello di evidenza B
Vetro Nessuno 0,8 mg/ml
Iniezione   Tobramycin sulfate   
Iniezione   Ofloxacin 2 mg/ml
25°C
48 Ora
Non precisata 889
Livello di evidenza D
Cloruro di polivinile Cloruro di sodio 0,9% 1,2 mg/ml
Iniezione   Tobramycin sulfate   
Iniezione   Clindamycin phosphate 9 mg/ml
-20°C
28 Giorno
Al riparo dalla luce 565
Livello di evidenza D
Cloruro di polivinile Cloruro di sodio 0,9% 1 mg/ml
Iniezione   Tobramycin sulfate   
Iniezione   Ciprofloxacin lactate 1,5 mg/ml
25°C
48 Ora
Luce 434
Cloruro di polivinile Cloruro di sodio 0,9% 0,2 & 0,8 mg/ml
Iniezione   Tobramycin sulfate   
Iniezione   Aztreonam 10 & 20 mg/ml
25°C
48 Ora
Non precisata 19
Livello di evidenza D
Cloruro di polivinile Cloruro di sodio 0,9% 0,2 mg/ml
Iniezione   Tobramycin sulfate   
Iniezione   Aztreonam 10 & 20 mg/ml
4°C
7 Giorno
Al riparo dalla luce 19
Livello di evidenza D
Cloruro di polivinile Cloruro di sodio 0,9% 0,2 & 0,8 mg/ml
Iniezione   Tobramycin sulfate   
Iniezione   Aztreonam 10 & 20 mg/ml
4°C
7 Giorno
Al riparo dalla luce 19
Livello di evidenza D
Cloruro di polivinile Cloruro di sodio 0,9% 1 mg/ml
Iniezione   Tobramycin sulfate   
Iniezione   Ciprofloxacin lactate 1,5 mg/ml
4°C
48 Ora
Al riparo dalla luce 434
Cloruro di polivinile Glucosio 5% 1,2 mg/ml
Iniezione   Tobramycin sulfate   
Iniezione   Clindamycin phosphate 9 mg/ml
-20°C
14 Giorno
Al riparo dalla luce 565
Livello di evidenza D
Cloruro di polivinile Glucosio 5% 1 mg/ml
Iniezione   Tobramycin sulfate   
Iniezione   Ciprofloxacin lactate 1,5 mg/ml
25°C
48 Ora
Luce 434
Cloruro di polivinile Glucosio 5% 0,2 & 0,8 mg/ml
Iniezione   Tobramycin sulfate   
Iniezione   Aztreonam 10 & 20 mg/ml
25°C
48 Ora
Non precisata 19
Livello di evidenza D
Cloruro di polivinile Glucosio 5% 0,2 mg/ml
Iniezione   Tobramycin sulfate   
Iniezione   Aztreonam 10 & 20 mg/ml
4°C
7 Giorno
Al riparo dalla luce 19
Livello di evidenza D
Cloruro di polivinile Glucosio 5% 0,2 & 0,8 mg/ml
Iniezione   Tobramycin sulfate   
Iniezione   Aztreonam 10 & 20 mg/ml
4°C
7 Giorno
Al riparo dalla luce 19
Livello di evidenza D
Cloruro di polivinile Glucosio 5% 1 mg/ml
Iniezione   Tobramycin sulfate   
Iniezione   Ciprofloxacin lactate 1,5 mg/ml
4°C
48 Ora
Al riparo dalla luce 434
Cloruro di polivinile Dianéal® PD2 2.5% glucose (Baxter) 0,008 mg/ml
Iniezione   Tobramycin sulfate   
Iniezione   Ceftazidime 0,125 mg/ml
24°C
16 Ora
Non precisata 2369
Livello di evidenza B
Cloruro di polivinile Dianéal® PD2 2.5% glucose (Baxter) 0,008 mg/ml
Iniezione   Tobramycin sulfate   
Iniezione   Ceftazidime 0,125 mg/ml
37°C
8 Ora
Non precisata 2369
Livello di evidenza B
Poliolefina Nessuno 0,80 mg/ml
Iniezione   Tobramycin sulfate   
Iniezione   Linezolid 1,80 mg/ml
23°C
1 Giorno
Al riparo dalla luce 2353
Livello di evidenza B+
Poliolefina Nessuno 0,80 mg/ml
Iniezione   Tobramycin sulfate   
Iniezione   Linezolid 1,80 mg/ml
4°C
7 Giorno
Al riparo dalla luce 2353
Livello di evidenza B+

  Mentions Légales