Posledná aktualizácia :
27/04/2026
antibiotikum   Tobramycin sulfate  
Injekcia
Aerosól Očná instilácia Perorálny roztok
Stabilita roztokov Stabilita v zmesiach Faktory ovplyvňujúce stabilitu Kompatibility spôsob podania Odkazy na literatúru PDF
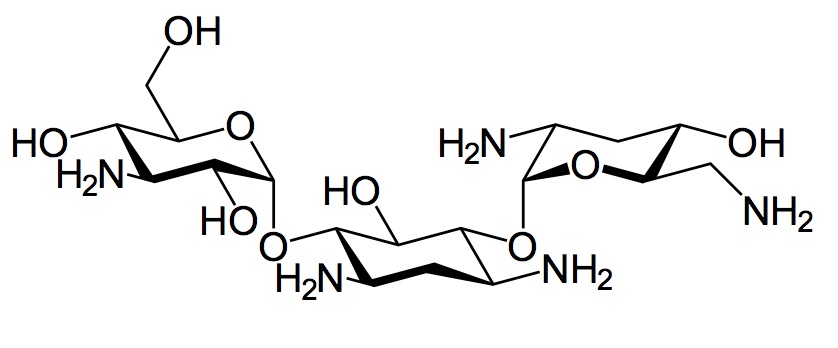
   Chemický vzorec  

Obchodný názov   Obchodný názov     

Obchodné názvy sú orientačné, a zloženie pomocných látok sa môže líšiť v závislosti od krajiny a výrobcu.

Bactob India
Beltob India
Bramicil Taliansko
Brulamycin Maďarsko, Malajzia, Slovinsko
Eltol India
Fytobra India
Gernebcin Nemecko
Komitob India
Nebcin Egypt, Grécko, nový Zéland, Saudská Arábia, Spojené arabské emiráty, Veľká Británia
Nebcina Dánsko, Maroko, Nórsko, Švédsko
Nebcine Francúzsko, Maroko, Slovinsko
Nebicina Taliansko
Obracin Belgicko, Holandsko, Luxembursko, Švajčiarsko
Tobracin Brazília, Egypt, Saudská Arábia
Tobramicina Argentína, Brazília, Čile, Ekvádor, Kolumbia, Portugalsko, Španielsko, Taliansko
Tobramina Brazília
Tobramycin Austrália, Írsko, Kanada, Nemecko, Nórsko, Saudská Arábia, Spojené štáty Americké, Veľká Británia
Tobramycine Francúzsko, Holandsko, Írsko
Tobrasix Rakúsko
Tobrazid Nemecko
Stabilita v zmesiach   Injekcia   Stabilita v zmesiach : Tobramycin sulfate     
obal rozpúšťadlo koncentrácia Zlúčenina teplota uchovávanie Trvanie stability odkazy na lieteratúru
Sklo 5% glukóza 3,2 mg/ml
Injekcia   Tobramycin sulfate   
Injekcia   Filgrastim 40 µg/ml
25°C
4 hodín
nešpecifikované 104
Úroveň dôkazov B
Sklo Žiadny 0,8 mg/ml
Injekcia   Tobramycin sulfate   
Injekcia   Ofloxacin 2 mg/ml
25°C
48 hodín
nešpecifikované 889
Úroveň dôkazov D
polyvinylchlorid (PVC) 0,9% chlorid sodný 1,2 mg/ml
Injekcia   Tobramycin sulfate   
Injekcia   Clindamycin phosphate 9 mg/ml
-20°C
28 dní
Chránené pred svetlom 565
Úroveň dôkazov D
polyvinylchlorid (PVC) 0,9% chlorid sodný 1 mg/ml
Injekcia   Tobramycin sulfate   
Injekcia   Ciprofloxacin lactate 1,5 mg/ml
25°C
48 hodín
Za svetla 434
polyvinylchlorid (PVC) 0,9% chlorid sodný 0,2 & 0,8 mg/ml
Injekcia   Tobramycin sulfate   
Injekcia   Aztreonam 10 & 20 mg/ml
25°C
48 hodín
nešpecifikované 19
Úroveň dôkazov D
polyvinylchlorid (PVC) 0,9% chlorid sodný 0,2 mg/ml
Injekcia   Tobramycin sulfate   
Injekcia   Aztreonam 10 & 20 mg/ml
4°C
7 dní
Chránené pred svetlom 19
Úroveň dôkazov D
polyvinylchlorid (PVC) 0,9% chlorid sodný 0,2 & 0,8 mg/ml
Injekcia   Tobramycin sulfate   
Injekcia   Aztreonam 10 & 20 mg/ml
4°C
7 dní
Chránené pred svetlom 19
Úroveň dôkazov D
polyvinylchlorid (PVC) 0,9% chlorid sodný 1 mg/ml
Injekcia   Tobramycin sulfate   
Injekcia   Ciprofloxacin lactate 1,5 mg/ml
4°C
48 hodín
Chránené pred svetlom 434
polyvinylchlorid (PVC) 5% glukóza 1,2 mg/ml
Injekcia   Tobramycin sulfate   
Injekcia   Clindamycin phosphate 9 mg/ml
-20°C
14 dní
Chránené pred svetlom 565
Úroveň dôkazov D
polyvinylchlorid (PVC) 5% glukóza 1 mg/ml
Injekcia   Tobramycin sulfate   
Injekcia   Ciprofloxacin lactate 1,5 mg/ml
25°C
48 hodín
Za svetla 434
polyvinylchlorid (PVC) 5% glukóza 0,2 & 0,8 mg/ml
Injekcia   Tobramycin sulfate   
Injekcia   Aztreonam 10 & 20 mg/ml
25°C
48 hodín
nešpecifikované 19
Úroveň dôkazov D
polyvinylchlorid (PVC) 5% glukóza 0,2 mg/ml
Injekcia   Tobramycin sulfate   
Injekcia   Aztreonam 10 & 20 mg/ml
4°C
7 dní
Chránené pred svetlom 19
Úroveň dôkazov D
polyvinylchlorid (PVC) 5% glukóza 0,2 & 0,8 mg/ml
Injekcia   Tobramycin sulfate   
Injekcia   Aztreonam 10 & 20 mg/ml
4°C
7 dní
Chránené pred svetlom 19
Úroveň dôkazov D
polyvinylchlorid (PVC) 5% glukóza 1 mg/ml
Injekcia   Tobramycin sulfate   
Injekcia   Ciprofloxacin lactate 1,5 mg/ml
4°C
48 hodín
Chránené pred svetlom 434
polyvinylchlorid (PVC) Dianéal® PD2 2.5% glucose (Baxter) 0,008 mg/ml
Injekcia   Tobramycin sulfate   
Injekcia   Ceftazidime 0,125 mg/ml
24°C
16 hodín
nešpecifikované 2369
Úroveň dôkazov B
polyvinylchlorid (PVC) Dianéal® PD2 2.5% glucose (Baxter) 0,008 mg/ml
Injekcia   Tobramycin sulfate   
Injekcia   Ceftazidime 0,125 mg/ml
37°C
8 hodín
nešpecifikované 2369
Úroveň dôkazov B
polyolefín Žiadny 0,80 mg/ml
Injekcia   Tobramycin sulfate   
Injekcia   Linezolid 1,80 mg/ml
23°C
1 dní
Chránené pred svetlom 2353
Úroveň dôkazov B+
polyolefín Žiadny 0,80 mg/ml
Injekcia   Tobramycin sulfate   
Injekcia   Linezolid 1,80 mg/ml
4°C
7 dní
Chránené pred svetlom 2353
Úroveň dôkazov B+

  Mentions Légales