Laatste update :
27/04/2026
Antibioticum   Tobramycin sulfate  
injecteerbaar geneesmiddel
Aerosol Oogwater Orale Oplossing
Stabiliteit in oplossing Stabiliteit in mengsels Factoren die de stabiliteit beïnvloeden Verenigbaarheden Toedieningswijze Literatuur pdf
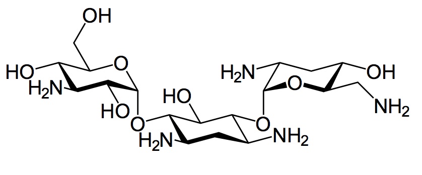
   Molecuulstructuur  

Merknamen in verschillende landen   Merknamen in verschillende landen     

Handelsnamen zijn slechts een indicatie; de samenstelling van hulpstoffen kan per land variëren afhankelijk van de fabrikant

Bactob Indië
Beltob Indië
Bramicil Italië
Brulamycin Hongarije, Maleisië, Slovenië
Eltol Indië
Fytobra Indië
Gernebcin Duitsland
Komitob Indië
Nebcin Egypte, Griekenland, Groot Britannië, nieuw Zeeland, Saudi-Arabië, Verenigde Arabische Emiraten
Nebcina Denemarken, Marokko, Noorwegen, Zweden
Nebcine Frankrijk, Marokko, Slovenië
Nebicina Italië
Obracin België, Luxemburg, Nederland, Zwitserland
Tobracin Brazilië, Egypte, Saudi-Arabië
Tobramicina Argentinië, Brazilië, Chili, Colombia, Ecuador, Italië, Portugal, Spanje
Tobramina Brazilië
Tobramycin Australië, Canada, Duitsland, Groot Britannië, Ierland, Noorwegen, Saudi-Arabië, USA
Tobramycine Frankrijk, Ierland, Nederland
Tobrasix Oostenrijk
Tobrazid Duitsland
Stabiliteit in mengsels   injecteerbaar geneesmiddel   Stabiliteit in mengsels : Tobramycin sulfate     
Verpakking Oplosmiddel Concentratie Stof Temperatuur Bewaring Duur van de stabiliteit Literatuur
Glas Glucose 5% 3,2 mg/ml
injecteerbaar geneesmiddel   Tobramycin sulfate   
injecteerbaar geneesmiddel   Filgrastim 40 µg/ml
25°C
4 Uur
Niet gespecificeerd 104
Bewijsniveau B
Glas Geen 0,8 mg/ml
injecteerbaar geneesmiddel   Tobramycin sulfate   
injecteerbaar geneesmiddel   Ofloxacin 2 mg/ml
25°C
48 Uur
Niet gespecificeerd 889
Bewijsniveau D
Polyvinylchloride (PVC) Natriumchloride 0,9% 1,2 mg/ml
injecteerbaar geneesmiddel   Tobramycin sulfate   
injecteerbaar geneesmiddel   Clindamycin phosphate 9 mg/ml
-20°C
28 Dag
Buiten invloed van licht 565
Bewijsniveau D
Polyvinylchloride (PVC) Natriumchloride 0,9% 1 mg/ml
injecteerbaar geneesmiddel   Tobramycin sulfate   
injecteerbaar geneesmiddel   Ciprofloxacin lactate 1,5 mg/ml
25°C
48 Uur
Licht 434
Polyvinylchloride (PVC) Natriumchloride 0,9% 0,2 & 0,8 mg/ml
injecteerbaar geneesmiddel   Tobramycin sulfate   
injecteerbaar geneesmiddel   Aztreonam 10 & 20 mg/ml
25°C
48 Uur
Niet gespecificeerd 19
Bewijsniveau D
Polyvinylchloride (PVC) Natriumchloride 0,9% 0,2 mg/ml
injecteerbaar geneesmiddel   Tobramycin sulfate   
injecteerbaar geneesmiddel   Aztreonam 10 & 20 mg/ml
4°C
7 Dag
Buiten invloed van licht 19
Bewijsniveau D
Polyvinylchloride (PVC) Natriumchloride 0,9% 0,2 & 0,8 mg/ml
injecteerbaar geneesmiddel   Tobramycin sulfate   
injecteerbaar geneesmiddel   Aztreonam 10 & 20 mg/ml
4°C
7 Dag
Buiten invloed van licht 19
Bewijsniveau D
Polyvinylchloride (PVC) Natriumchloride 0,9% 1 mg/ml
injecteerbaar geneesmiddel   Tobramycin sulfate   
injecteerbaar geneesmiddel   Ciprofloxacin lactate 1,5 mg/ml
4°C
48 Uur
Buiten invloed van licht 434
Polyvinylchloride (PVC) Glucose 5% 1,2 mg/ml
injecteerbaar geneesmiddel   Tobramycin sulfate   
injecteerbaar geneesmiddel   Clindamycin phosphate 9 mg/ml
-20°C
14 Dag
Buiten invloed van licht 565
Bewijsniveau D
Polyvinylchloride (PVC) Glucose 5% 1 mg/ml
injecteerbaar geneesmiddel   Tobramycin sulfate   
injecteerbaar geneesmiddel   Ciprofloxacin lactate 1,5 mg/ml
25°C
48 Uur
Licht 434
Polyvinylchloride (PVC) Glucose 5% 0,2 & 0,8 mg/ml
injecteerbaar geneesmiddel   Tobramycin sulfate   
injecteerbaar geneesmiddel   Aztreonam 10 & 20 mg/ml
25°C
48 Uur
Niet gespecificeerd 19
Bewijsniveau D
Polyvinylchloride (PVC) Glucose 5% 0,2 mg/ml
injecteerbaar geneesmiddel   Tobramycin sulfate   
injecteerbaar geneesmiddel   Aztreonam 10 & 20 mg/ml
4°C
7 Dag
Buiten invloed van licht 19
Bewijsniveau D
Polyvinylchloride (PVC) Glucose 5% 0,2 & 0,8 mg/ml
injecteerbaar geneesmiddel   Tobramycin sulfate   
injecteerbaar geneesmiddel   Aztreonam 10 & 20 mg/ml
4°C
7 Dag
Buiten invloed van licht 19
Bewijsniveau D
Polyvinylchloride (PVC) Glucose 5% 1 mg/ml
injecteerbaar geneesmiddel   Tobramycin sulfate   
injecteerbaar geneesmiddel   Ciprofloxacin lactate 1,5 mg/ml
4°C
48 Uur
Buiten invloed van licht 434
Polyvinylchloride (PVC) Dianéal® PD2 2.5% glucose (Baxter) 0,008 mg/ml
injecteerbaar geneesmiddel   Tobramycin sulfate   
injecteerbaar geneesmiddel   Ceftazidime 0,125 mg/ml
24°C
16 Uur
Niet gespecificeerd 2369
Bewijsniveau B
Polyvinylchloride (PVC) Dianéal® PD2 2.5% glucose (Baxter) 0,008 mg/ml
injecteerbaar geneesmiddel   Tobramycin sulfate   
injecteerbaar geneesmiddel   Ceftazidime 0,125 mg/ml
37°C
8 Uur
Niet gespecificeerd 2369
Bewijsniveau B
Polyolefine Geen 0,80 mg/ml
injecteerbaar geneesmiddel   Tobramycin sulfate   
injecteerbaar geneesmiddel   Linezolid 1,80 mg/ml
23°C
1 Dag
Buiten invloed van licht 2353
Niveau van bewijs B+
Polyolefine Geen 0,80 mg/ml
injecteerbaar geneesmiddel   Tobramycin sulfate   
injecteerbaar geneesmiddel   Linezolid 1,80 mg/ml
4°C
7 Dag
Buiten invloed van licht 2353
Niveau van bewijs B+

  Mentions Légales