Cập nhật lần cuối :
27/04/2026
Kháng sinh   Clindamycin phosphate  
Dạng tiêm
Tính ổn định của các dung dịch Độ ổn định khi trộn lẫn Những yếu tố ảnh hưởng đến độ ổn định Khả năng tương thích Đường dùng Tài liệu tham khảo Pdf
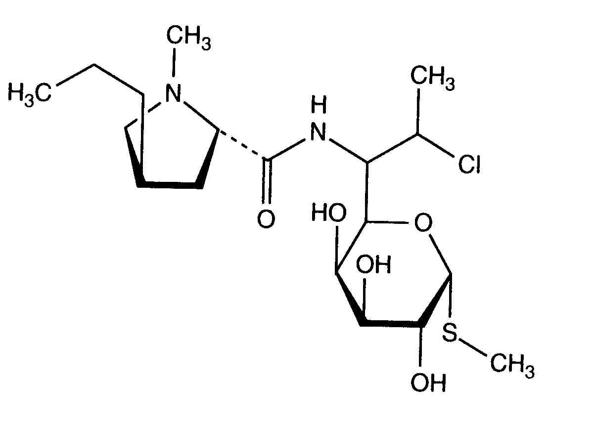
   Cấu trúc hóa học  

Tên thương mại   Tên thương mại     

Các tên thương mại được cung cấp và thành phần tá dược có thể khác nhau giữa các quốc gia và các hãng dược

Biodaclin Mexico
Camyda Ấn Độ
Cinbiot Mexico
Cleocin Áo, Hoa Kỳ, Thổ Nhĩ Kỳ
Clinamsa Mexico
Clinbac Colombia, Peru
Clincina Bồ Đào Nha
Clinda-Saar Đức
Clindacid Venezuela
Clindacin Malaysia
Clindalaf Argentina
Clindamicina Argentina, Bồ Đào Nha, Brazil, Chile, Colombia, Ecuador, Mexico, Peru, Tây Ban Nha, Venezuela, Ý
Clindamycin Ả Rập Saudi, Áo, Canada, Hoa Kỳ, Iran, Na Uy, Romania, Thụy Điển, Đức
Clindamycin-Hameln Đức
Clindamycine Bỉ, Hà Lan, Pháp, Tunisia
Clindanovag Argentina
Clindarix Brazil
Clindasol Đức
Clindaval Venezuela
Clindazyn Mexico
Clindo Ba Lan
Clysvic Mexico
Daclin Chile
Dalacin Ả Rập, Ả Rập Saudi, Ấn Độ, Anh, Ba Lan, Bỉ, Canada, Chile, Colombia, Ecuador, Hà Lan, Hungary, Hy Lạp, Iceland, Iran, Ireland, Luxembourg, Malaysia, Mexico, Na Uy, new zealand, Phần Lan, Thụy Sỹ, Thụy Điển, Tunisia, Úc, United Arab Emirates, Venezuela, Ý, Đan Mạch
Dalacine Pháp, Tunisia
Daladic Iran
Dalcinex Ấn Độ
Damclid Ấn Độ
Damicin Colombia, Mexico
Damicine Colombia
Dolarclin Colombia
Euroclin Colombia, Ecuador
Gynasafe Ấn Độ
Indamid Mexico
Klimicin Ba Lan
Klindan Thổ Nhĩ Kỳ
Klindaver Thổ Nhĩ Kỳ
Lanacine Áo
Lincocin Malaysia
Lincosa Malaysia
Meneklin Thổ Nhĩ Kỳ
Sobelin Đức
Tidact Malaysia
Độ ổn định khi trộn lẫn   Dạng tiêm   Độ ổn định khi trộn lẫn : Clindamycin phosphate     
Bao bì Dung môi Nồng độ Phân tử Nhiệt độ Bảo quản Thời gian ổn định Mục lục
Thủy tinh NaCl 0,9% 12 mg/ml
Dạng tiêm   Clindamycin phosphate   
Dạng tiêm   Cefpirome sulfate 50 mg/ml
23°C
8 Giờ
Ánh sáng 280
Cấp độ bằng chứng B+
Thủy tinh NaCl 0,9% 9 mg/ml
Dạng tiêm   Clindamycin phosphate   
Dạng tiêm   Cefotaxime sodium 20 mg/ml
24°C
24 Giờ
Ánh sáng 421
JOKER
Thủy tinh NaCl 0,9% 9 mg/ml
Dạng tiêm   Clindamycin phosphate   
Dạng tiêm   Netilmicin sulfate 3 mg/ml
24°C
24 Giờ
Ánh sáng 421
JOKER
Thủy tinh NaCl 0,9% 12 mg/ml
Dạng tiêm   Clindamycin phosphate   
Dạng tiêm   Ceftriaxone disodium 20 mg/ml
25°C
8 Giờ
Ánh sáng 432
Cấp độ bằng chứng D
Thủy tinh NaCl 0,9% 9 mg/ml
Dạng tiêm   Clindamycin phosphate   
Dạng tiêm   Cefazolin sodium 10 mg/ml
Dạng tiêm   Gentamicin sulfate 0,8 mg/ml
25°C
12 Giờ
Ánh sáng 695
JOKER
Thủy tinh NaCl 0,9% 9 mg/ml
Dạng tiêm   Clindamycin phosphate   
Dạng tiêm   Ceftizoxime sodium 20 mg/ml
25°C
24 Giờ
Ánh sáng 418
Cấp độ bằng chứng D
Thủy tinh NaCl 0,9% 9 mg/ml
Dạng tiêm   Clindamycin phosphate   
Dạng tiêm   Ceftazidime 20 mg/ml
25°C
48 Giờ
Ánh sáng 432
Cấp độ bằng chứng D
Thủy tinh NaCl 0,9% 60 mg/ml
Dạng tiêm   Clindamycin phosphate   
Dạng tiêm   Aztreonam 200 mg/ml
25°C
48 Giờ
Ánh sáng 644
Cấp độ bằng chứng B
Thủy tinh NaCl 0,9% 9 mg/ml
Dạng tiêm   Clindamycin phosphate   
Dạng tiêm   Aztreonam 20 mg/ml
25°C
48 Giờ
Ánh sáng 432
Cấp độ bằng chứng D
Thủy tinh NaCl 0,9% 9 mg/ml
Dạng tiêm   Clindamycin phosphate   
Dạng tiêm   Piperacillin sodium 40 mg/ml
25°C
48 Giờ
Ánh sáng 432
Cấp độ bằng chứng D
Thủy tinh NaCl 0,9% 9 mg/ml
Dạng tiêm   Clindamycin phosphate   
Dạng tiêm   Cefoxitin sodium 20 mg/ml
25°C
48 Giờ
Ánh sáng 418
Cấp độ bằng chứng D
Thủy tinh NaCl 0,9% 9 mg/ml
Dạng tiêm   Clindamycin phosphate   
Dạng tiêm   Cefamandole nafate 10 mg/ml
25°C
48 Giờ
Ánh sáng 418
Cấp độ bằng chứng D
Thủy tinh NaCl 0,9% 9 mg/ml
Dạng tiêm   Clindamycin phosphate   
Dạng tiêm   Cefazolin sodium 10 mg/ml
25°C
48 Giờ
Ánh sáng 418
Cấp độ bằng chứng D
Thủy tinh NaCl 0,9% 12 mg/ml
Dạng tiêm   Clindamycin phosphate   
Dạng tiêm   Cefoperazone sodium 20 mg/ml
25°C
48 Giờ
Ánh sáng 644
Cấp độ bằng chứng B
Thủy tinh NaCl 0,9% 12 mg/ml
Dạng tiêm   Clindamycin phosphate   
Dạng tiêm   Cefonicid sodium 10 mg/ml
25°C
48 Giờ
Ánh sáng 644
Cấp độ bằng chứng B
Thủy tinh NaCl 0,9% 9 mg/ml
Dạng tiêm   Clindamycin phosphate   
Dạng tiêm   Cefuroxime sodium 15 mg/ml
25°C
48 Giờ
Ánh sáng 644
Cấp độ bằng chứng B
Thủy tinh Glucose 5% 12 mg/ml
Dạng tiêm   Clindamycin phosphate   
Dạng tiêm   Cefpirome sulfate 50 mg/ml
23°C
8 Giờ
Ánh sáng 280
Cấp độ bằng chứng B+
Thủy tinh Glucose 5% 9 mg/ml
Dạng tiêm   Clindamycin phosphate   
Dạng tiêm   Cefotaxime sodium 20 mg/ml
24°C
24 Giờ
Ánh sáng 421
JOKER
Thủy tinh Glucose 5% 9 mg/ml
Dạng tiêm   Clindamycin phosphate   
Dạng tiêm   Netilmicin sulfate 3 mg/ml
24°C
24 Giờ
Ánh sáng 421
JOKER
Thủy tinh Glucose 5% 12 mg/ml
Dạng tiêm   Clindamycin phosphate   
Dạng tiêm   Ceftriaxone disodium 20 mg/ml
25°C
1 Giờ
Ánh sáng 432
Cấp độ bằng chứng D
Thủy tinh Glucose 5% 9 mg/ml
Dạng tiêm   Clindamycin phosphate   
Dạng tiêm   Cefazolin sodium 10 mg/ml
Dạng tiêm   Gentamicin sulfate 0,8 mg/ml
25°C
1 Giờ
Ánh sáng 695
JOKER
Thủy tinh Glucose 5% 9 mg/ml
Dạng tiêm   Clindamycin phosphate   
Dạng tiêm   Ceftazidime 20 mg/ml
25°C
24 Giờ
Ánh sáng 432
Cấp độ bằng chứng D
Thủy tinh Glucose 5% 9 mg/ml
Dạng tiêm   Clindamycin phosphate   
Dạng tiêm   Ceftizoxime sodium 20 mg/ml
25°C
48 Giờ
Ánh sáng 418
Cấp độ bằng chứng D
Thủy tinh Glucose 5% 9 mg/ml
Dạng tiêm   Clindamycin phosphate   
Dạng tiêm   Aztreonam 20 mg/ml
25°C
48 Giờ
Ánh sáng 432
Cấp độ bằng chứng D
Thủy tinh Glucose 5% 9 mg/ml
Dạng tiêm   Clindamycin phosphate   
Dạng tiêm   Piperacillin sodium 40 mg/ml
25°C
48 Giờ
Ánh sáng 432
Cấp độ bằng chứng D
Thủy tinh Glucose 5% 9 mg/ml
Dạng tiêm   Clindamycin phosphate   
Dạng tiêm   Cefoxitin sodium 20 mg/ml
25°C
48 Giờ
Ánh sáng 418
Cấp độ bằng chứng D
Thủy tinh Glucose 5% 9 mg/ml
Dạng tiêm   Clindamycin phosphate   
Dạng tiêm   Cefamandole nafate 10 mg/ml
25°C
48 Giờ
Ánh sáng 418
Cấp độ bằng chứng D
Thủy tinh Glucose 5% 9 mg/ml
Dạng tiêm   Clindamycin phosphate   
Dạng tiêm   Cefazolin sodium 10 mg/ml
25°C
48 Giờ
Ánh sáng 418
Cấp độ bằng chứng D
Thủy tinh Glucose 5% 12 mg/ml
Dạng tiêm   Clindamycin phosphate   
Dạng tiêm   Cefoperazone sodium 20 mg/ml
25°C
48 Giờ
Ánh sáng 644
Cấp độ bằng chứng B
Thủy tinh Glucose 5% 12 mg/ml
Dạng tiêm   Clindamycin phosphate   
Dạng tiêm   Cefonicid sodium 10 mg/ml
25°C
48 Giờ
Ánh sáng 644
Cấp độ bằng chứng B
Thủy tinh Glucose 5% 9 mg/ml
Dạng tiêm   Clindamycin phosphate   
Dạng tiêm   Cefuroxime sodium 15 mg/ml
25°C
48 Giờ
Ánh sáng 644
Cấp độ bằng chứng B
Thủy tinh Dung dịch Ringer’s lactate 12 mg/ml
Dạng tiêm   Clindamycin phosphate   
Dạng tiêm   Cefpirome sulfate 50 mg/ml
23°C
8 Giờ
Ánh sáng 280
Cấp độ bằng chứng B+
Thủy tinh NaCl 0,45% 12 mg/ml
Dạng tiêm   Clindamycin phosphate   
Dạng tiêm   Cefpirome sulfate 50 mg/ml
23°C
8 Giờ
Ánh sáng 280
Cấp độ bằng chứng B+
Thủy tinh Không 6 mg/ml
Dạng tiêm   Clindamycin phosphate   
Dạng tiêm   Ofloxacin 2 mg/ml
25°C
48 Giờ
Không rõ 889
Cấp độ bằng chứng D
Nhựa polyvinyl chloride NaCl 0,9% 9 mg/ml
Dạng tiêm   Clindamycin phosphate   
Dạng tiêm   Tobramycin sulfate 1,2 mg/ml
-20°C
28 Ngày
Tránh ánh sáng 565
Cấp độ bằng chứng D
Nhựa polyvinyl chloride NaCl 0,9% 9 mg/ml
Dạng tiêm   Clindamycin phosphate   
Dạng tiêm   Gentamicin sulfate 1,2 mg/ml
-20°C
28 Ngày
Tránh ánh sáng 565
Cấp độ bằng chứng D
Nhựa polyvinyl chloride NaCl 0,9% 3 & 6 mg/ml
Dạng tiêm   Clindamycin phosphate   
Dạng tiêm   Aztreonam 10 & 20 mg/ml
22°C-23°C
48 Giờ
Không rõ 419
Cấp độ bằng chứng B+
Nhựa polyvinyl chloride NaCl 0,9% 9 mg/ml
Dạng tiêm   Clindamycin phosphate   
Dạng tiêm   Cefotaxime sodium 20 mg/ml
24°C
24 Giờ
Ánh sáng 421
JOKER
Nhựa polyvinyl chloride NaCl 0,9% 9 mg/ml
Dạng tiêm   Clindamycin phosphate   
Dạng tiêm   Netilmicin sulfate 3 mg/ml
24°C
24 Giờ
Ánh sáng 421
JOKER
Nhựa polyvinyl chloride NaCl 0,9% 9 mg/ml
Dạng tiêm   Clindamycin phosphate   
Dạng tiêm   Amikacin sulfate 4 mg/ml
25°C
48 Giờ
Không rõ 565
Cấp độ bằng chứng D
Nhựa polyvinyl chloride NaCl 0,9% 3 & 6 mg/ml
Dạng tiêm   Clindamycin phosphate   
Dạng tiêm   Aztreonam 10 & 20 mg/ml
4°C
7 Ngày
Tránh ánh sáng 419
Cấp độ bằng chứng B+
Nhựa polyvinyl chloride Glucose 5% 9 mg/ml
Dạng tiêm   Clindamycin phosphate   
Dạng tiêm   Tobramycin sulfate 1,2 mg/ml
-20°C
14 Ngày
Tránh ánh sáng 565
Cấp độ bằng chứng D
Nhựa polyvinyl chloride Glucose 5% 9 mg/ml
Dạng tiêm   Clindamycin phosphate   
Dạng tiêm   Gentamicin sulfate 1,2 mg/ml
-20°C
28 Ngày
Tránh ánh sáng 565
Cấp độ bằng chứng D
Nhựa polyvinyl chloride Glucose 5% 3 & 6 mg/ml
Dạng tiêm   Clindamycin phosphate   
Dạng tiêm   Aztreonam 10 & 20 mg/ml
22°C-23°C
48 Giờ
Không rõ 419
Cấp độ bằng chứng B+
Nhựa polyvinyl chloride Glucose 5% 9 mg/ml
Dạng tiêm   Clindamycin phosphate   
Dạng tiêm   Cefotaxime sodium 20 mg/ml
24°C
24 Giờ
Ánh sáng 421
JOKER
Nhựa polyvinyl chloride Glucose 5% 9 mg/ml
Dạng tiêm   Clindamycin phosphate   
Dạng tiêm   Netilmicin sulfate 3 mg/ml
24°C
24 Giờ
Ánh sáng 421
JOKER
Nhựa polyvinyl chloride Glucose 5% 6 mg/ml
Dạng tiêm   Clindamycin phosphate   
Dạng tiêm   Gentamicin sulfate 5 mg/ml
25°C
24 Giờ
Ánh sáng 423
Cấp độ bằng chứng D
Nhựa polyvinyl chloride Glucose 5% 9 mg/ml
Dạng tiêm   Clindamycin phosphate   
Dạng tiêm   Amikacin sulfate 4 mg/ml
25°C
48 Giờ
Không rõ 565
Cấp độ bằng chứng D
Nhựa polyvinyl chloride Glucose 5% 3 & 6 mg/ml
Dạng tiêm   Clindamycin phosphate   
Dạng tiêm   Aztreonam 10 & 20 mg/ml
4°C
7 Ngày
Tránh ánh sáng 419
Cấp độ bằng chứng B+
ống tiêm polypropylene NaCl 0,9% 90 mg/ml
Dạng tiêm   Clindamycin phosphate   
Dạng tiêm   Gentamicin sulfate 30 mg/ml
22°C-23°C
48 Giờ
Ánh sáng 639
Cấp độ bằng chứng D
ống tiêm polypropylene NaCl 0,9% 90 mg/ml
Dạng tiêm   Clindamycin phosphate   
Dạng tiêm   Amikacin sulfate 190 mg/ml
22°C-23°C
48 Giờ
Ánh sáng 639
Cấp độ bằng chứng D

  Mentions Légales