Ultimele actualizari :
27/04/2026
Antibiotic   Clindamycin phosphate  
Injectabil
Stabilitatea in solutie Stabilitatea in amestec Factorii care influenteaza stabilitatea Compatibilitate Microunde Bibliografie pdf
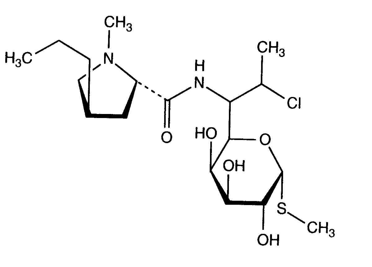
   Formula chimica  

Denumirea comerciala   Denumirea comerciala     

Trade names are indicative and excipients composition can be different depending on the country and manufacturers

Biodaclin Mexic
Camyda India
Cinbiot Mexic
Cleocin Austria, SUA, Turcia
Clinamsa Mexic
Clinbac Columbia, Peru
Clincina Portugalia
Clinda-Saar Germania
Clindacid Venezuela
Clindacin Malaezia
Clindalaf Argentina
Clindamicina Argentina, Brazilia, Chilli, Columbia, Ecuador, Italia, Mexic, Peru, Portugalia, Spania, Venezuela
Clindamycin Arabia Saudita, Austria, Canada, Germania, Iran, Norvegia, Romania, SUA, Suedia
Clindamycin-Hameln Germania
Clindamycine Belgia, Franta, Olanda, Tunisia
Clindanovag Argentina
Clindarix Brazilia
Clindasol Germania
Clindaval Venezuela
Clindazyn Mexic
Clindo Polonia
Clysvic Mexic
Daclin Chilli
Dalacin Arabia Saudita, Australia, Belgia, Canada, Chilli, Columbia, Danemarca, Ecuador, Egipt, Elvetia, Emiratele Arabe Unite, Finlanda, Grecia, India, Iran, Irlanda, Islanda, Italia, Luxemburg, Malaezia, Marea Britanie, Mexic, Norvegia, noua Zeelandă, Olanda, Polonia, Suedia, Tunisia, Ungaria, Venezuela
Dalacine Franta, Tunisia
Daladic Iran
Dalcinex India
Damclid India
Damicin Columbia, Mexic
Damicine Columbia
Dolarclin Columbia
Euroclin Columbia, Ecuador
Gynasafe India
Indamid Mexic
Klimicin Polonia
Klindan Turcia
Klindaver Turcia
Lanacine Austria
Lincocin Malaezia
Lincosa Malaezia
Meneklin Turcia
Sobelin Germania
Tidact Malaezia
Stabilitatea in amestec   Injectabil   Stabilitatea in amestec : Clindamycin phosphate     
Continut Solvent Concentratie Molecula (substanta activa) Temperatura Conservare Durata stabilității Bibiografie
sticla clorura de sodiu 0,9% 12 mg/ml
Injectabil   Clindamycin phosphate   
Injectabil   Cefpirome sulfate 50 mg/ml
23°C
8 Ora
Lumina 280
Nivel de evidență B+
sticla clorura de sodiu 0,9% 9 mg/ml
Injectabil   Clindamycin phosphate   
Injectabil   Cefotaxime sodium 20 mg/ml
24°C
24 Ora
Lumina 421
Joker
sticla clorura de sodiu 0,9% 9 mg/ml
Injectabil   Clindamycin phosphate   
Injectabil   Netilmicin sulfate 3 mg/ml
24°C
24 Ora
Lumina 421
Joker
sticla clorura de sodiu 0,9% 12 mg/ml
Injectabil   Clindamycin phosphate   
Injectabil   Ceftriaxone disodium 20 mg/ml
25°C
8 Ora
Lumina 432
Nivel de evidență D
sticla clorura de sodiu 0,9% 9 mg/ml
Injectabil   Clindamycin phosphate   
Injectabil   Cefazolin sodium 10 mg/ml
Injectabil   Gentamicin sulfate 0,8 mg/ml
25°C
12 Ora
Lumina 695
Joker
sticla clorura de sodiu 0,9% 9 mg/ml
Injectabil   Clindamycin phosphate   
Injectabil   Ceftizoxime sodium 20 mg/ml
25°C
24 Ora
Lumina 418
Nivel de evidență D
sticla clorura de sodiu 0,9% 9 mg/ml
Injectabil   Clindamycin phosphate   
Injectabil   Ceftazidime 20 mg/ml
25°C
48 Ora
Lumina 432
Nivel de evidență D
sticla clorura de sodiu 0,9% 60 mg/ml
Injectabil   Clindamycin phosphate   
Injectabil   Aztreonam 200 mg/ml
25°C
48 Ora
Lumina 644
Nivel de evidență B
sticla clorura de sodiu 0,9% 9 mg/ml
Injectabil   Clindamycin phosphate   
Injectabil   Aztreonam 20 mg/ml
25°C
48 Ora
Lumina 432
Nivel de evidență D
sticla clorura de sodiu 0,9% 9 mg/ml
Injectabil   Clindamycin phosphate   
Injectabil   Piperacillin sodium 40 mg/ml
25°C
48 Ora
Lumina 432
Nivel de evidență D
sticla clorura de sodiu 0,9% 9 mg/ml
Injectabil   Clindamycin phosphate   
Injectabil   Cefoxitin sodium 20 mg/ml
25°C
48 Ora
Lumina 418
Nivel de evidență D
sticla clorura de sodiu 0,9% 9 mg/ml
Injectabil   Clindamycin phosphate   
Injectabil   Cefamandole nafate 10 mg/ml
25°C
48 Ora
Lumina 418
Nivel de evidență D
sticla clorura de sodiu 0,9% 9 mg/ml
Injectabil   Clindamycin phosphate   
Injectabil   Cefazolin sodium 10 mg/ml
25°C
48 Ora
Lumina 418
Nivel de evidență D
sticla clorura de sodiu 0,9% 12 mg/ml
Injectabil   Clindamycin phosphate   
Injectabil   Cefoperazone sodium 20 mg/ml
25°C
48 Ora
Lumina 644
Nivel de evidență B
sticla clorura de sodiu 0,9% 12 mg/ml
Injectabil   Clindamycin phosphate   
Injectabil   Cefonicid sodium 10 mg/ml
25°C
48 Ora
Lumina 644
Nivel de evidență B
sticla clorura de sodiu 0,9% 9 mg/ml
Injectabil   Clindamycin phosphate   
Injectabil   Cefuroxime sodium 15 mg/ml
25°C
48 Ora
Lumina 644
Nivel de evidență B
sticla Glucoza 5% 12 mg/ml
Injectabil   Clindamycin phosphate   
Injectabil   Cefpirome sulfate 50 mg/ml
23°C
8 Ora
Lumina 280
Nivel de evidență B+
sticla Glucoza 5% 9 mg/ml
Injectabil   Clindamycin phosphate   
Injectabil   Cefotaxime sodium 20 mg/ml
24°C
24 Ora
Lumina 421
Joker
sticla Glucoza 5% 9 mg/ml
Injectabil   Clindamycin phosphate   
Injectabil   Netilmicin sulfate 3 mg/ml
24°C
24 Ora
Lumina 421
Joker
sticla Glucoza 5% 12 mg/ml
Injectabil   Clindamycin phosphate   
Injectabil   Ceftriaxone disodium 20 mg/ml
25°C
1 Ora
Lumina 432
Nivel de evidență D
sticla Glucoza 5% 9 mg/ml
Injectabil   Clindamycin phosphate   
Injectabil   Cefazolin sodium 10 mg/ml
Injectabil   Gentamicin sulfate 0,8 mg/ml
25°C
1 Ora
Lumina 695
Joker
sticla Glucoza 5% 9 mg/ml
Injectabil   Clindamycin phosphate   
Injectabil   Ceftazidime 20 mg/ml
25°C
24 Ora
Lumina 432
Nivel de evidență D
sticla Glucoza 5% 9 mg/ml
Injectabil   Clindamycin phosphate   
Injectabil   Ceftizoxime sodium 20 mg/ml
25°C
48 Ora
Lumina 418
Nivel de evidență D
sticla Glucoza 5% 9 mg/ml
Injectabil   Clindamycin phosphate   
Injectabil   Aztreonam 20 mg/ml
25°C
48 Ora
Lumina 432
Nivel de evidență D
sticla Glucoza 5% 9 mg/ml
Injectabil   Clindamycin phosphate   
Injectabil   Piperacillin sodium 40 mg/ml
25°C
48 Ora
Lumina 432
Nivel de evidență D
sticla Glucoza 5% 9 mg/ml
Injectabil   Clindamycin phosphate   
Injectabil   Cefoxitin sodium 20 mg/ml
25°C
48 Ora
Lumina 418
Nivel de evidență D
sticla Glucoza 5% 9 mg/ml
Injectabil   Clindamycin phosphate   
Injectabil   Cefamandole nafate 10 mg/ml
25°C
48 Ora
Lumina 418
Nivel de evidență D
sticla Glucoza 5% 9 mg/ml
Injectabil   Clindamycin phosphate   
Injectabil   Cefazolin sodium 10 mg/ml
25°C
48 Ora
Lumina 418
Nivel de evidență D
sticla Glucoza 5% 12 mg/ml
Injectabil   Clindamycin phosphate   
Injectabil   Cefoperazone sodium 20 mg/ml
25°C
48 Ora
Lumina 644
Nivel de evidență B
sticla Glucoza 5% 12 mg/ml
Injectabil   Clindamycin phosphate   
Injectabil   Cefonicid sodium 10 mg/ml
25°C
48 Ora
Lumina 644
Nivel de evidență B
sticla Glucoza 5% 9 mg/ml
Injectabil   Clindamycin phosphate   
Injectabil   Cefuroxime sodium 15 mg/ml
25°C
48 Ora
Lumina 644
Nivel de evidență B
sticla Solutie Ringer lactat 12 mg/ml
Injectabil   Clindamycin phosphate   
Injectabil   Cefpirome sulfate 50 mg/ml
23°C
8 Ora
Lumina 280
Nivel de evidență B+
sticla clorura de sodiu 0,45% 12 mg/ml
Injectabil   Clindamycin phosphate   
Injectabil   Cefpirome sulfate 50 mg/ml
23°C
8 Ora
Lumina 280
Nivel de evidență B+
sticla fara 6 mg/ml
Injectabil   Clindamycin phosphate   
Injectabil   Ofloxacin 2 mg/ml
25°C
48 Ora
Neprecizat 889
Nivel de evidență D
clorura de polivinil clorura de sodiu 0,9% 9 mg/ml
Injectabil   Clindamycin phosphate   
Injectabil   Tobramycin sulfate 1,2 mg/ml
-20°C
28 Ziua
Ferit de lumina 565
Nivel de evidență D
clorura de polivinil clorura de sodiu 0,9% 9 mg/ml
Injectabil   Clindamycin phosphate   
Injectabil   Gentamicin sulfate 1,2 mg/ml
-20°C
28 Ziua
Ferit de lumina 565
Nivel de evidență D
clorura de polivinil clorura de sodiu 0,9% 3 & 6 mg/ml
Injectabil   Clindamycin phosphate   
Injectabil   Aztreonam 10 & 20 mg/ml
22°C-23°C
48 Ora
Neprecizat 419
Nivel de evidență B+
clorura de polivinil clorura de sodiu 0,9% 9 mg/ml
Injectabil   Clindamycin phosphate   
Injectabil   Cefotaxime sodium 20 mg/ml
24°C
24 Ora
Lumina 421
Joker
clorura de polivinil clorura de sodiu 0,9% 9 mg/ml
Injectabil   Clindamycin phosphate   
Injectabil   Netilmicin sulfate 3 mg/ml
24°C
24 Ora
Lumina 421
Joker
clorura de polivinil clorura de sodiu 0,9% 9 mg/ml
Injectabil   Clindamycin phosphate   
Injectabil   Amikacin sulfate 4 mg/ml
25°C
48 Ora
Neprecizat 565
Nivel de evidență D
clorura de polivinil clorura de sodiu 0,9% 3 & 6 mg/ml
Injectabil   Clindamycin phosphate   
Injectabil   Aztreonam 10 & 20 mg/ml
4°C
7 Ziua
Ferit de lumina 419
Nivel de evidență B+
clorura de polivinil Glucoza 5% 9 mg/ml
Injectabil   Clindamycin phosphate   
Injectabil   Tobramycin sulfate 1,2 mg/ml
-20°C
14 Ziua
Ferit de lumina 565
Nivel de evidență D
clorura de polivinil Glucoza 5% 9 mg/ml
Injectabil   Clindamycin phosphate   
Injectabil   Gentamicin sulfate 1,2 mg/ml
-20°C
28 Ziua
Ferit de lumina 565
Nivel de evidență D
clorura de polivinil Glucoza 5% 3 & 6 mg/ml
Injectabil   Clindamycin phosphate   
Injectabil   Aztreonam 10 & 20 mg/ml
22°C-23°C
48 Ora
Neprecizat 419
Nivel de evidență B+
clorura de polivinil Glucoza 5% 9 mg/ml
Injectabil   Clindamycin phosphate   
Injectabil   Cefotaxime sodium 20 mg/ml
24°C
24 Ora
Lumina 421
Joker
clorura de polivinil Glucoza 5% 9 mg/ml
Injectabil   Clindamycin phosphate   
Injectabil   Netilmicin sulfate 3 mg/ml
24°C
24 Ora
Lumina 421
Joker
clorura de polivinil Glucoza 5% 6 mg/ml
Injectabil   Clindamycin phosphate   
Injectabil   Gentamicin sulfate 5 mg/ml
25°C
24 Ora
Lumina 423
Nivel de evidență D
clorura de polivinil Glucoza 5% 9 mg/ml
Injectabil   Clindamycin phosphate   
Injectabil   Amikacin sulfate 4 mg/ml
25°C
48 Ora
Neprecizat 565
Nivel de evidență D
clorura de polivinil Glucoza 5% 3 & 6 mg/ml
Injectabil   Clindamycin phosphate   
Injectabil   Aztreonam 10 & 20 mg/ml
4°C
7 Ziua
Ferit de lumina 419
Nivel de evidență B+
seringă polipropileno clorura de sodiu 0,9% 90 mg/ml
Injectabil   Clindamycin phosphate   
Injectabil   Gentamicin sulfate 30 mg/ml
22°C-23°C
48 Ora
Lumina 639
Nivel de evidență D
seringă polipropileno clorura de sodiu 0,9% 90 mg/ml
Injectabil   Clindamycin phosphate   
Injectabil   Amikacin sulfate 190 mg/ml
22°C-23°C
48 Ora
Lumina 639
Nivel de evidență D

  Mentions Légales