Última actualização :
27/04/2026
antibiótico   Clindamycin phosphate  
injetável
Estabilidade em soluções simples Estabilidade em misturas Factores que afectam a sua estabilidade Compatibilidade Método de administração Bibliografía pdf
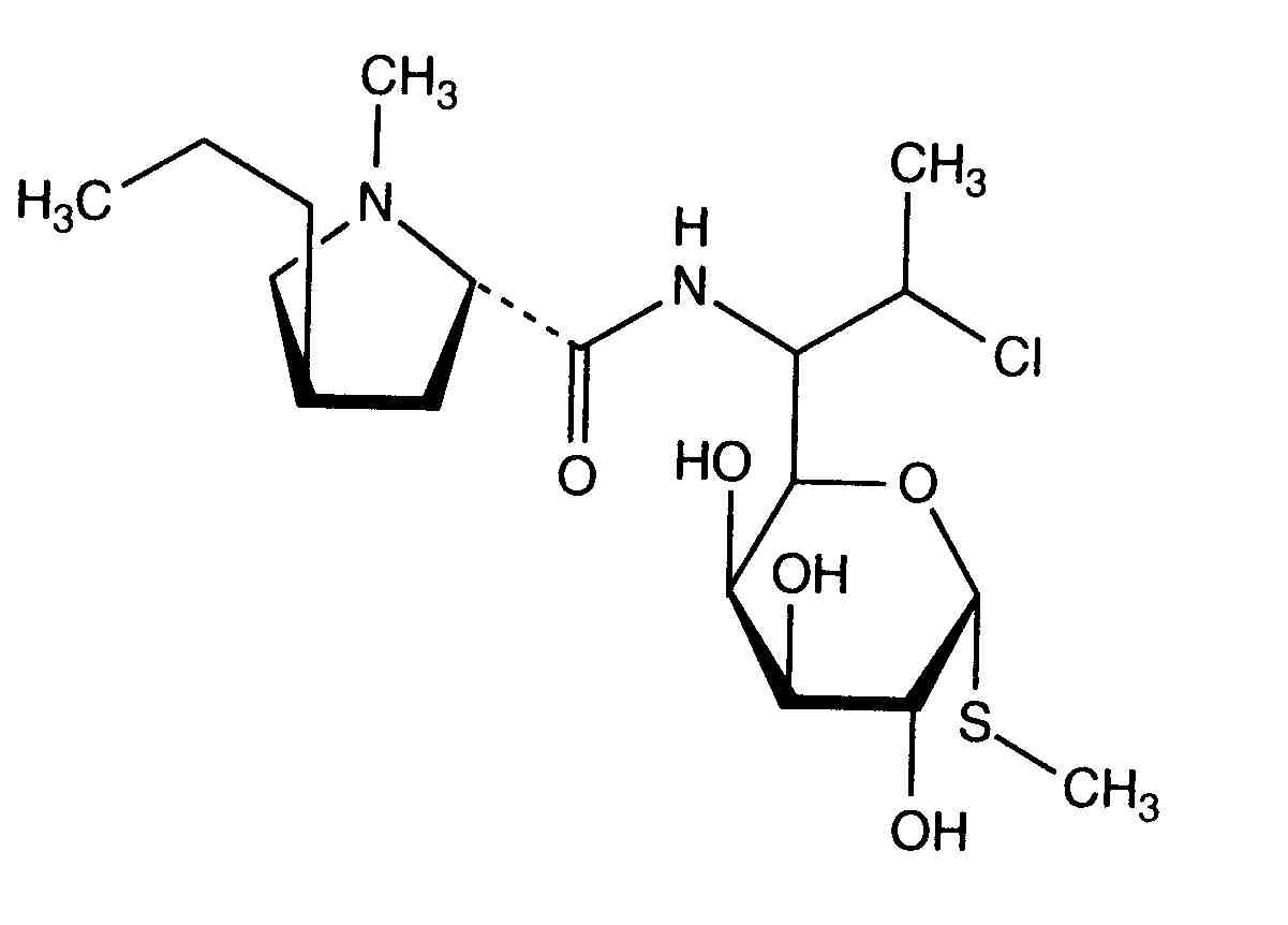
   estrutura química  

Nomes comerciais nos diversos países   Nomes comerciais nos diversos países     

OS NOMES COMERCIAIS SÃO INDICATIVOS E OS EXCIPIENTES DA FORMULAÇÃO PODEM SER DIFERENTES CONFORME O PAÍS E FABRICANTE.

Biodaclin México
Camyda Índia
Cinbiot México
Cleocin Austria, Estados Unidos de América, Turquia
Clinamsa México
Clinbac Colômbia, Peru
Clincina Portugal
Clinda-Saar Alemanha
Clindacid Venezuela
Clindacin Malásia
Clindalaf Argentina
Clindamicina Argentina, Brasil, Chilli, Colômbia, Equator, Espanha, Itália, México, Peru, Portugal, Venezuela
Clindamycin Alemanha, Arábia Saudita, Austria, Canadá, Estados Unidos de América, Irã, Noruega, Romènia, Suècia
Clindamycin-Hameln Alemanha
Clindamycine Bélgica, França, Países Baixos, Tunísia
Clindanovag Argentina
Clindarix Brasil
Clindasol Alemanha
Clindaval Venezuela
Clindazyn México
Clindo Polonia
Clysvic México
Daclin Chilli
Dalacin Arábia Saudita, Australia, Bélgica, Canadá, Chilli, Colômbia, Dinamarca, Egipto, Emirados Árabes Unidos, Equator, Finlandia, Gran-bretanha, Grècia, Hungria, Índia, Irã, Irlanda, Islandia, Itália, Luxemburgo, Malásia, México, Noruega, nova Zelândia, Países Baixos, Polonia, Suècia, Suicia, Tunísia, Venezuela
Dalacine França, Tunísia
Daladic Irã
Dalcinex Índia
Damclid Índia
Damicin Colômbia, México
Damicine Colômbia
Dolarclin Colômbia
Euroclin Colômbia, Equator
Gynasafe Índia
Indamid México
Klimicin Polonia
Klindan Turquia
Klindaver Turquia
Lanacine Austria
Lincocin Malásia
Lincosa Malásia
Meneklin Turquia
Sobelin Alemanha
Tidact Malásia
Estabilidade em misturas   injetável   Estabilidade em misturas : Clindamycin phosphate     
Embalagem Solvente concentração molécula temperatura conservação Duração da estabilidade Bibliografia
vidro cloreto de sódio 0,9% 12 mg/ml
injetável   Clindamycin phosphate   
injetável   Cefpirome sulfate 50 mg/ml
23°C
8 hora
luz 280
Nível de evidência B+
vidro cloreto de sódio 0,9% 9 mg/ml
injetável   Clindamycin phosphate   
injetável   Cefotaxime sodium 20 mg/ml
24°C
24 hora
luz 421
Joker
vidro cloreto de sódio 0,9% 9 mg/ml
injetável   Clindamycin phosphate   
injetável   Netilmicin sulfate 3 mg/ml
24°C
24 hora
luz 421
Joker
vidro cloreto de sódio 0,9% 12 mg/ml
injetável   Clindamycin phosphate   
injetável   Ceftriaxone disodium 20 mg/ml
25°C
8 hora
luz 432
Nível de evidência D
vidro cloreto de sódio 0,9% 9 mg/ml
injetável   Clindamycin phosphate   
injetável   Cefazolin sodium 10 mg/ml
injetável   Gentamicin sulfate 0,8 mg/ml
25°C
12 hora
luz 695
Joker
vidro cloreto de sódio 0,9% 9 mg/ml
injetável   Clindamycin phosphate   
injetável   Ceftizoxime sodium 20 mg/ml
25°C
24 hora
luz 418
Nível de evidência D
vidro cloreto de sódio 0,9% 9 mg/ml
injetável   Clindamycin phosphate   
injetável   Ceftazidime 20 mg/ml
25°C
48 hora
luz 432
Nível de evidência D
vidro cloreto de sódio 0,9% 60 mg/ml
injetável   Clindamycin phosphate   
injetável   Aztreonam 200 mg/ml
25°C
48 hora
luz 644
Nível de evidência B
vidro cloreto de sódio 0,9% 9 mg/ml
injetável   Clindamycin phosphate   
injetável   Aztreonam 20 mg/ml
25°C
48 hora
luz 432
Nível de evidência D
vidro cloreto de sódio 0,9% 9 mg/ml
injetável   Clindamycin phosphate   
injetável   Piperacillin sodium 40 mg/ml
25°C
48 hora
luz 432
Nível de evidência D
vidro cloreto de sódio 0,9% 9 mg/ml
injetável   Clindamycin phosphate   
injetável   Cefoxitin sodium 20 mg/ml
25°C
48 hora
luz 418
Nível de evidência D
vidro cloreto de sódio 0,9% 9 mg/ml
injetável   Clindamycin phosphate   
injetável   Cefamandole nafate 10 mg/ml
25°C
48 hora
luz 418
Nível de evidência D
vidro cloreto de sódio 0,9% 9 mg/ml
injetável   Clindamycin phosphate   
injetável   Cefazolin sodium 10 mg/ml
25°C
48 hora
luz 418
Nível de evidência D
vidro cloreto de sódio 0,9% 12 mg/ml
injetável   Clindamycin phosphate   
injetável   Cefoperazone sodium 20 mg/ml
25°C
48 hora
luz 644
Nível de evidência B
vidro cloreto de sódio 0,9% 12 mg/ml
injetável   Clindamycin phosphate   
injetável   Cefonicid sodium 10 mg/ml
25°C
48 hora
luz 644
Nível de evidência B
vidro cloreto de sódio 0,9% 9 mg/ml
injetável   Clindamycin phosphate   
injetável   Cefuroxime sodium 15 mg/ml
25°C
48 hora
luz 644
Nível de evidência B
vidro Glucose 5% 12 mg/ml
injetável   Clindamycin phosphate   
injetável   Cefpirome sulfate 50 mg/ml
23°C
8 hora
luz 280
Nível de evidência B+
vidro Glucose 5% 9 mg/ml
injetável   Clindamycin phosphate   
injetável   Cefotaxime sodium 20 mg/ml
24°C
24 hora
luz 421
Joker
vidro Glucose 5% 9 mg/ml
injetável   Clindamycin phosphate   
injetável   Netilmicin sulfate 3 mg/ml
24°C
24 hora
luz 421
Joker
vidro Glucose 5% 12 mg/ml
injetável   Clindamycin phosphate   
injetável   Ceftriaxone disodium 20 mg/ml
25°C
1 hora
luz 432
Nível de evidência D
vidro Glucose 5% 9 mg/ml
injetável   Clindamycin phosphate   
injetável   Cefazolin sodium 10 mg/ml
injetável   Gentamicin sulfate 0,8 mg/ml
25°C
1 hora
luz 695
Joker
vidro Glucose 5% 9 mg/ml
injetável   Clindamycin phosphate   
injetável   Ceftazidime 20 mg/ml
25°C
24 hora
luz 432
Nível de evidência D
vidro Glucose 5% 9 mg/ml
injetável   Clindamycin phosphate   
injetável   Ceftizoxime sodium 20 mg/ml
25°C
48 hora
luz 418
Nível de evidência D
vidro Glucose 5% 9 mg/ml
injetável   Clindamycin phosphate   
injetável   Aztreonam 20 mg/ml
25°C
48 hora
luz 432
Nível de evidência D
vidro Glucose 5% 9 mg/ml
injetável   Clindamycin phosphate   
injetável   Piperacillin sodium 40 mg/ml
25°C
48 hora
luz 432
Nível de evidência D
vidro Glucose 5% 9 mg/ml
injetável   Clindamycin phosphate   
injetável   Cefoxitin sodium 20 mg/ml
25°C
48 hora
luz 418
Nível de evidência D
vidro Glucose 5% 9 mg/ml
injetável   Clindamycin phosphate   
injetável   Cefamandole nafate 10 mg/ml
25°C
48 hora
luz 418
Nível de evidência D
vidro Glucose 5% 9 mg/ml
injetável   Clindamycin phosphate   
injetável   Cefazolin sodium 10 mg/ml
25°C
48 hora
luz 418
Nível de evidência D
vidro Glucose 5% 12 mg/ml
injetável   Clindamycin phosphate   
injetável   Cefoperazone sodium 20 mg/ml
25°C
48 hora
luz 644
Nível de evidência B
vidro Glucose 5% 12 mg/ml
injetável   Clindamycin phosphate   
injetável   Cefonicid sodium 10 mg/ml
25°C
48 hora
luz 644
Nível de evidência B
vidro Glucose 5% 9 mg/ml
injetável   Clindamycin phosphate   
injetável   Cefuroxime sodium 15 mg/ml
25°C
48 hora
luz 644
Nível de evidência B
vidro Ringer lactato 12 mg/ml
injetável   Clindamycin phosphate   
injetável   Cefpirome sulfate 50 mg/ml
23°C
8 hora
luz 280
Nível de evidência B+
vidro cloreto de sódio 0,45% 12 mg/ml
injetável   Clindamycin phosphate   
injetável   Cefpirome sulfate 50 mg/ml
23°C
8 hora
luz 280
Nível de evidência B+
vidro nenhum 6 mg/ml
injetável   Clindamycin phosphate   
injetável   Ofloxacin 2 mg/ml
25°C
48 hora
no especificado 889
Nível de evidência D
Cloreto de polivinilo cloreto de sódio 0,9% 9 mg/ml
injetável   Clindamycin phosphate   
injetável   Tobramycin sulfate 1,2 mg/ml
-20°C
28 dia
ao abrigo da luz 565
Nível de evidência D
Cloreto de polivinilo cloreto de sódio 0,9% 9 mg/ml
injetável   Clindamycin phosphate   
injetável   Gentamicin sulfate 1,2 mg/ml
-20°C
28 dia
ao abrigo da luz 565
Nível de evidência D
Cloreto de polivinilo cloreto de sódio 0,9% 3 & 6 mg/ml
injetável   Clindamycin phosphate   
injetável   Aztreonam 10 & 20 mg/ml
22°C-23°C
48 hora
no especificado 419
Nível de evidência B+
Cloreto de polivinilo cloreto de sódio 0,9% 9 mg/ml
injetável   Clindamycin phosphate   
injetável   Cefotaxime sodium 20 mg/ml
24°C
24 hora
luz 421
Joker
Cloreto de polivinilo cloreto de sódio 0,9% 9 mg/ml
injetável   Clindamycin phosphate   
injetável   Netilmicin sulfate 3 mg/ml
24°C
24 hora
luz 421
Joker
Cloreto de polivinilo cloreto de sódio 0,9% 9 mg/ml
injetável   Clindamycin phosphate   
injetável   Amikacin sulfate 4 mg/ml
25°C
48 hora
no especificado 565
Nível de evidência D
Cloreto de polivinilo cloreto de sódio 0,9% 3 & 6 mg/ml
injetável   Clindamycin phosphate   
injetável   Aztreonam 10 & 20 mg/ml
4°C
7 dia
ao abrigo da luz 419
Nível de evidência B+
Cloreto de polivinilo Glucose 5% 9 mg/ml
injetável   Clindamycin phosphate   
injetável   Tobramycin sulfate 1,2 mg/ml
-20°C
14 dia
ao abrigo da luz 565
Nível de evidência D
Cloreto de polivinilo Glucose 5% 9 mg/ml
injetável   Clindamycin phosphate   
injetável   Gentamicin sulfate 1,2 mg/ml
-20°C
28 dia
ao abrigo da luz 565
Nível de evidência D
Cloreto de polivinilo Glucose 5% 3 & 6 mg/ml
injetável   Clindamycin phosphate   
injetável   Aztreonam 10 & 20 mg/ml
22°C-23°C
48 hora
no especificado 419
Nível de evidência B+
Cloreto de polivinilo Glucose 5% 9 mg/ml
injetável   Clindamycin phosphate   
injetável   Cefotaxime sodium 20 mg/ml
24°C
24 hora
luz 421
Joker
Cloreto de polivinilo Glucose 5% 9 mg/ml
injetável   Clindamycin phosphate   
injetável   Netilmicin sulfate 3 mg/ml
24°C
24 hora
luz 421
Joker
Cloreto de polivinilo Glucose 5% 6 mg/ml
injetável   Clindamycin phosphate   
injetável   Gentamicin sulfate 5 mg/ml
25°C
24 hora
luz 423
Nível de evidência D
Cloreto de polivinilo Glucose 5% 9 mg/ml
injetável   Clindamycin phosphate   
injetável   Amikacin sulfate 4 mg/ml
25°C
48 hora
no especificado 565
Nível de evidência D
Cloreto de polivinilo Glucose 5% 3 & 6 mg/ml
injetável   Clindamycin phosphate   
injetável   Aztreonam 10 & 20 mg/ml
4°C
7 dia
ao abrigo da luz 419
Nível de evidência B+
seringa polipropylen cloreto de sódio 0,9% 90 mg/ml
injetável   Clindamycin phosphate   
injetável   Gentamicin sulfate 30 mg/ml
22°C-23°C
48 hora
luz 639
Nível de evidência D
seringa polipropylen cloreto de sódio 0,9% 90 mg/ml
injetável   Clindamycin phosphate   
injetável   Amikacin sulfate 190 mg/ml
22°C-23°C
48 hora
luz 639
Nível de evidência D

  Mentions Légales