Laatste update :
27/04/2026
Antibioticum   Clindamycin phosphate  
injecteerbaar geneesmiddel
Stabiliteit in oplossing Stabiliteit in mengsels Factoren die de stabiliteit beïnvloeden Verenigbaarheden Toedieningswijze Literatuur pdf
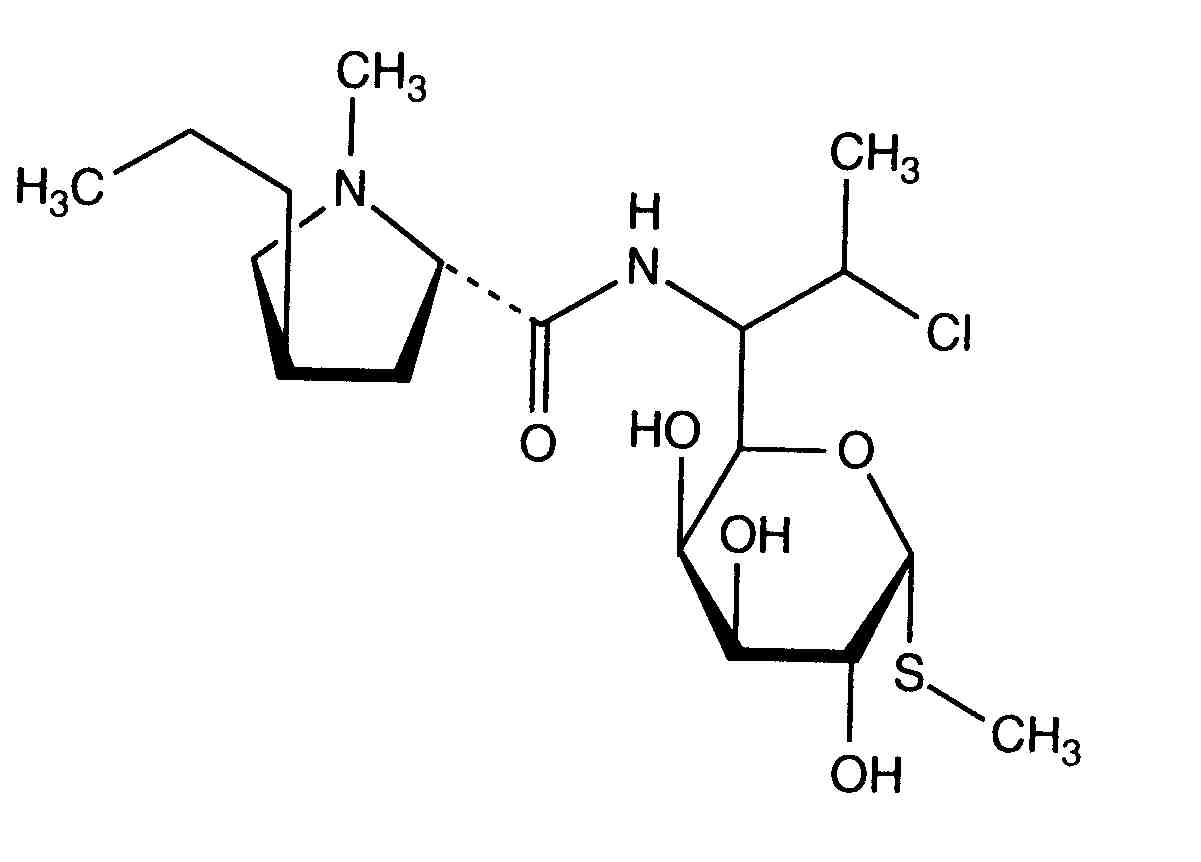
   Molecuulstructuur  

Merknamen in verschillende landen   Merknamen in verschillende landen     

Handelsnamen zijn slechts een indicatie; de samenstelling van hulpstoffen kan per land variëren afhankelijk van de fabrikant

Biodaclin Mexico
Camyda Indië
Cinbiot Mexico
Cleocin Oostenrijk, Turkije, USA
Clinamsa Mexico
Clinbac Colombia, Peru
Clincina Portugal
Clinda-Saar Duitsland
Clindacid Venezuela
Clindacin Maleisië
Clindalaf Argentinië
Clindamicina Argentinië, Brazilië, Chili, Colombia, Ecuador, Italië, Mexico, Peru, Portugal, Spanje, Venezuela
Clindamycin Canada, Duitsland, Iran, Noorwegen, Oostenrijk, Roemenië, Saudi-Arabië, USA, Zweden
Clindamycin-Hameln Duitsland
Clindamycine België, Frankrijk, Nederland, Tunisie
Clindanovag Argentinië
Clindarix Brazilië
Clindasol Duitsland
Clindaval Venezuela
Clindazyn Mexico
Clindo Polen
Clysvic Mexico
Daclin Chili
Dalacin Australië, België, Canada, Chili, Colombia, Denemarken, Ecuador, Egypte, Finland, Griekenland, Groot Britannië, Hongarije, Ierland, IJsland, Indië, Iran, Italië, Luxemburg, Maleisië, Mexico, Nederland, nieuw Zeeland, Noorwegen, Polen, Saudi-Arabië, Tunisie, Venezuela, Verenigde Arabische Emiraten, Zweden, Zwitserland
Dalacine Frankrijk, Tunisie
Daladic Iran
Dalcinex Indië
Damclid Indië
Damicin Colombia, Mexico
Damicine Colombia
Dolarclin Colombia
Euroclin Colombia, Ecuador
Gynasafe Indië
Indamid Mexico
Klimicin Polen
Klindan Turkije
Klindaver Turkije
Lanacine Oostenrijk
Lincocin Maleisië
Lincosa Maleisië
Meneklin Turkije
Sobelin Duitsland
Tidact Maleisië
Stabiliteit in mengsels   injecteerbaar geneesmiddel   Stabiliteit in mengsels : Clindamycin phosphate     
Verpakking Oplosmiddel Concentratie Stof Temperatuur Bewaring Duur van de stabiliteit Literatuur
Glas Natriumchloride 0,9% 12 mg/ml
injecteerbaar geneesmiddel   Clindamycin phosphate   
injecteerbaar geneesmiddel   Cefpirome sulfate 50 mg/ml
23°C
8 Uur
Licht 280
Niveau van bewijs B+
Glas Natriumchloride 0,9% 9 mg/ml
injecteerbaar geneesmiddel   Clindamycin phosphate   
injecteerbaar geneesmiddel   Cefotaxime sodium 20 mg/ml
24°C
24 Uur
Licht 421
Joker
Glas Natriumchloride 0,9% 9 mg/ml
injecteerbaar geneesmiddel   Clindamycin phosphate   
injecteerbaar geneesmiddel   Netilmicin sulfate 3 mg/ml
24°C
24 Uur
Licht 421
Joker
Glas Natriumchloride 0,9% 12 mg/ml
injecteerbaar geneesmiddel   Clindamycin phosphate   
injecteerbaar geneesmiddel   Ceftriaxone disodium 20 mg/ml
25°C
8 Uur
Licht 432
Bewijsniveau D
Glas Natriumchloride 0,9% 9 mg/ml
injecteerbaar geneesmiddel   Clindamycin phosphate   
injecteerbaar geneesmiddel   Cefazolin sodium 10 mg/ml
injecteerbaar geneesmiddel   Gentamicin sulfate 0,8 mg/ml
25°C
12 Uur
Licht 695
Joker
Glas Natriumchloride 0,9% 9 mg/ml
injecteerbaar geneesmiddel   Clindamycin phosphate   
injecteerbaar geneesmiddel   Ceftizoxime sodium 20 mg/ml
25°C
24 Uur
Licht 418
Bewijsniveau D
Glas Natriumchloride 0,9% 9 mg/ml
injecteerbaar geneesmiddel   Clindamycin phosphate   
injecteerbaar geneesmiddel   Ceftazidime 20 mg/ml
25°C
48 Uur
Licht 432
Bewijsniveau D
Glas Natriumchloride 0,9% 60 mg/ml
injecteerbaar geneesmiddel   Clindamycin phosphate   
injecteerbaar geneesmiddel   Aztreonam 200 mg/ml
25°C
48 Uur
Licht 644
Bewijsniveau B
Glas Natriumchloride 0,9% 9 mg/ml
injecteerbaar geneesmiddel   Clindamycin phosphate   
injecteerbaar geneesmiddel   Aztreonam 20 mg/ml
25°C
48 Uur
Licht 432
Bewijsniveau D
Glas Natriumchloride 0,9% 9 mg/ml
injecteerbaar geneesmiddel   Clindamycin phosphate   
injecteerbaar geneesmiddel   Piperacillin sodium 40 mg/ml
25°C
48 Uur
Licht 432
Bewijsniveau D
Glas Natriumchloride 0,9% 9 mg/ml
injecteerbaar geneesmiddel   Clindamycin phosphate   
injecteerbaar geneesmiddel   Cefoxitin sodium 20 mg/ml
25°C
48 Uur
Licht 418
Bewijsniveau D
Glas Natriumchloride 0,9% 9 mg/ml
injecteerbaar geneesmiddel   Clindamycin phosphate   
injecteerbaar geneesmiddel   Cefamandole nafate 10 mg/ml
25°C
48 Uur
Licht 418
Bewijsniveau D
Glas Natriumchloride 0,9% 9 mg/ml
injecteerbaar geneesmiddel   Clindamycin phosphate   
injecteerbaar geneesmiddel   Cefazolin sodium 10 mg/ml
25°C
48 Uur
Licht 418
Bewijsniveau D
Glas Natriumchloride 0,9% 12 mg/ml
injecteerbaar geneesmiddel   Clindamycin phosphate   
injecteerbaar geneesmiddel   Cefoperazone sodium 20 mg/ml
25°C
48 Uur
Licht 644
Bewijsniveau B
Glas Natriumchloride 0,9% 12 mg/ml
injecteerbaar geneesmiddel   Clindamycin phosphate   
injecteerbaar geneesmiddel   Cefonicid sodium 10 mg/ml
25°C
48 Uur
Licht 644
Bewijsniveau B
Glas Natriumchloride 0,9% 9 mg/ml
injecteerbaar geneesmiddel   Clindamycin phosphate   
injecteerbaar geneesmiddel   Cefuroxime sodium 15 mg/ml
25°C
48 Uur
Licht 644
Bewijsniveau B
Glas Glucose 5% 12 mg/ml
injecteerbaar geneesmiddel   Clindamycin phosphate   
injecteerbaar geneesmiddel   Cefpirome sulfate 50 mg/ml
23°C
8 Uur
Licht 280
Niveau van bewijs B+
Glas Glucose 5% 9 mg/ml
injecteerbaar geneesmiddel   Clindamycin phosphate   
injecteerbaar geneesmiddel   Cefotaxime sodium 20 mg/ml
24°C
24 Uur
Licht 421
Joker
Glas Glucose 5% 9 mg/ml
injecteerbaar geneesmiddel   Clindamycin phosphate   
injecteerbaar geneesmiddel   Netilmicin sulfate 3 mg/ml
24°C
24 Uur
Licht 421
Joker
Glas Glucose 5% 12 mg/ml
injecteerbaar geneesmiddel   Clindamycin phosphate   
injecteerbaar geneesmiddel   Ceftriaxone disodium 20 mg/ml
25°C
1 Uur
Licht 432
Bewijsniveau D
Glas Glucose 5% 9 mg/ml
injecteerbaar geneesmiddel   Clindamycin phosphate   
injecteerbaar geneesmiddel   Cefazolin sodium 10 mg/ml
injecteerbaar geneesmiddel   Gentamicin sulfate 0,8 mg/ml
25°C
1 Uur
Licht 695
Joker
Glas Glucose 5% 9 mg/ml
injecteerbaar geneesmiddel   Clindamycin phosphate   
injecteerbaar geneesmiddel   Ceftazidime 20 mg/ml
25°C
24 Uur
Licht 432
Bewijsniveau D
Glas Glucose 5% 9 mg/ml
injecteerbaar geneesmiddel   Clindamycin phosphate   
injecteerbaar geneesmiddel   Ceftizoxime sodium 20 mg/ml
25°C
48 Uur
Licht 418
Bewijsniveau D
Glas Glucose 5% 9 mg/ml
injecteerbaar geneesmiddel   Clindamycin phosphate   
injecteerbaar geneesmiddel   Aztreonam 20 mg/ml
25°C
48 Uur
Licht 432
Bewijsniveau D
Glas Glucose 5% 9 mg/ml
injecteerbaar geneesmiddel   Clindamycin phosphate   
injecteerbaar geneesmiddel   Piperacillin sodium 40 mg/ml
25°C
48 Uur
Licht 432
Bewijsniveau D
Glas Glucose 5% 9 mg/ml
injecteerbaar geneesmiddel   Clindamycin phosphate   
injecteerbaar geneesmiddel   Cefoxitin sodium 20 mg/ml
25°C
48 Uur
Licht 418
Bewijsniveau D
Glas Glucose 5% 9 mg/ml
injecteerbaar geneesmiddel   Clindamycin phosphate   
injecteerbaar geneesmiddel   Cefamandole nafate 10 mg/ml
25°C
48 Uur
Licht 418
Bewijsniveau D
Glas Glucose 5% 9 mg/ml
injecteerbaar geneesmiddel   Clindamycin phosphate   
injecteerbaar geneesmiddel   Cefazolin sodium 10 mg/ml
25°C
48 Uur
Licht 418
Bewijsniveau D
Glas Glucose 5% 12 mg/ml
injecteerbaar geneesmiddel   Clindamycin phosphate   
injecteerbaar geneesmiddel   Cefoperazone sodium 20 mg/ml
25°C
48 Uur
Licht 644
Bewijsniveau B
Glas Glucose 5% 12 mg/ml
injecteerbaar geneesmiddel   Clindamycin phosphate   
injecteerbaar geneesmiddel   Cefonicid sodium 10 mg/ml
25°C
48 Uur
Licht 644
Bewijsniveau B
Glas Glucose 5% 9 mg/ml
injecteerbaar geneesmiddel   Clindamycin phosphate   
injecteerbaar geneesmiddel   Cefuroxime sodium 15 mg/ml
25°C
48 Uur
Licht 644
Bewijsniveau B
Glas Ringer-lactaat 12 mg/ml
injecteerbaar geneesmiddel   Clindamycin phosphate   
injecteerbaar geneesmiddel   Cefpirome sulfate 50 mg/ml
23°C
8 Uur
Licht 280
Niveau van bewijs B+
Glas Natriumchloride 0,45 % 12 mg/ml
injecteerbaar geneesmiddel   Clindamycin phosphate   
injecteerbaar geneesmiddel   Cefpirome sulfate 50 mg/ml
23°C
8 Uur
Licht 280
Niveau van bewijs B+
Glas Geen 6 mg/ml
injecteerbaar geneesmiddel   Clindamycin phosphate   
injecteerbaar geneesmiddel   Ofloxacin 2 mg/ml
25°C
48 Uur
Niet gespecificeerd 889
Bewijsniveau D
Polyvinylchloride (PVC) Natriumchloride 0,9% 9 mg/ml
injecteerbaar geneesmiddel   Clindamycin phosphate   
injecteerbaar geneesmiddel   Tobramycin sulfate 1,2 mg/ml
-20°C
28 Dag
Buiten invloed van licht 565
Bewijsniveau D
Polyvinylchloride (PVC) Natriumchloride 0,9% 9 mg/ml
injecteerbaar geneesmiddel   Clindamycin phosphate   
injecteerbaar geneesmiddel   Gentamicin sulfate 1,2 mg/ml
-20°C
28 Dag
Buiten invloed van licht 565
Bewijsniveau D
Polyvinylchloride (PVC) Natriumchloride 0,9% 3 & 6 mg/ml
injecteerbaar geneesmiddel   Clindamycin phosphate   
injecteerbaar geneesmiddel   Aztreonam 10 & 20 mg/ml
22°C-23°C
48 Uur
Niet gespecificeerd 419
Niveau van bewijs B+
Polyvinylchloride (PVC) Natriumchloride 0,9% 9 mg/ml
injecteerbaar geneesmiddel   Clindamycin phosphate   
injecteerbaar geneesmiddel   Cefotaxime sodium 20 mg/ml
24°C
24 Uur
Licht 421
Joker
Polyvinylchloride (PVC) Natriumchloride 0,9% 9 mg/ml
injecteerbaar geneesmiddel   Clindamycin phosphate   
injecteerbaar geneesmiddel   Netilmicin sulfate 3 mg/ml
24°C
24 Uur
Licht 421
Joker
Polyvinylchloride (PVC) Natriumchloride 0,9% 9 mg/ml
injecteerbaar geneesmiddel   Clindamycin phosphate   
injecteerbaar geneesmiddel   Amikacin sulfate 4 mg/ml
25°C
48 Uur
Niet gespecificeerd 565
Bewijsniveau D
Polyvinylchloride (PVC) Natriumchloride 0,9% 3 & 6 mg/ml
injecteerbaar geneesmiddel   Clindamycin phosphate   
injecteerbaar geneesmiddel   Aztreonam 10 & 20 mg/ml
4°C
7 Dag
Buiten invloed van licht 419
Niveau van bewijs B+
Polyvinylchloride (PVC) Glucose 5% 9 mg/ml
injecteerbaar geneesmiddel   Clindamycin phosphate   
injecteerbaar geneesmiddel   Tobramycin sulfate 1,2 mg/ml
-20°C
14 Dag
Buiten invloed van licht 565
Bewijsniveau D
Polyvinylchloride (PVC) Glucose 5% 9 mg/ml
injecteerbaar geneesmiddel   Clindamycin phosphate   
injecteerbaar geneesmiddel   Gentamicin sulfate 1,2 mg/ml
-20°C
28 Dag
Buiten invloed van licht 565
Bewijsniveau D
Polyvinylchloride (PVC) Glucose 5% 3 & 6 mg/ml
injecteerbaar geneesmiddel   Clindamycin phosphate   
injecteerbaar geneesmiddel   Aztreonam 10 & 20 mg/ml
22°C-23°C
48 Uur
Niet gespecificeerd 419
Niveau van bewijs B+
Polyvinylchloride (PVC) Glucose 5% 9 mg/ml
injecteerbaar geneesmiddel   Clindamycin phosphate   
injecteerbaar geneesmiddel   Cefotaxime sodium 20 mg/ml
24°C
24 Uur
Licht 421
Joker
Polyvinylchloride (PVC) Glucose 5% 9 mg/ml
injecteerbaar geneesmiddel   Clindamycin phosphate   
injecteerbaar geneesmiddel   Netilmicin sulfate 3 mg/ml
24°C
24 Uur
Licht 421
Joker
Polyvinylchloride (PVC) Glucose 5% 6 mg/ml
injecteerbaar geneesmiddel   Clindamycin phosphate   
injecteerbaar geneesmiddel   Gentamicin sulfate 5 mg/ml
25°C
24 Uur
Licht 423
Bewijsniveau D
Polyvinylchloride (PVC) Glucose 5% 9 mg/ml
injecteerbaar geneesmiddel   Clindamycin phosphate   
injecteerbaar geneesmiddel   Amikacin sulfate 4 mg/ml
25°C
48 Uur
Niet gespecificeerd 565
Bewijsniveau D
Polyvinylchloride (PVC) Glucose 5% 3 & 6 mg/ml
injecteerbaar geneesmiddel   Clindamycin phosphate   
injecteerbaar geneesmiddel   Aztreonam 10 & 20 mg/ml
4°C
7 Dag
Buiten invloed van licht 419
Niveau van bewijs B+
injectiespuit polypropyleen Natriumchloride 0,9% 90 mg/ml
injecteerbaar geneesmiddel   Clindamycin phosphate   
injecteerbaar geneesmiddel   Gentamicin sulfate 30 mg/ml
22°C-23°C
48 Uur
Licht 639
Bewijsniveau D
injectiespuit polypropyleen Natriumchloride 0,9% 90 mg/ml
injecteerbaar geneesmiddel   Clindamycin phosphate   
injecteerbaar geneesmiddel   Amikacin sulfate 190 mg/ml
22°C-23°C
48 Uur
Licht 639
Bewijsniveau D

  Mentions Légales