Posledná aktualizácia :
27/04/2026
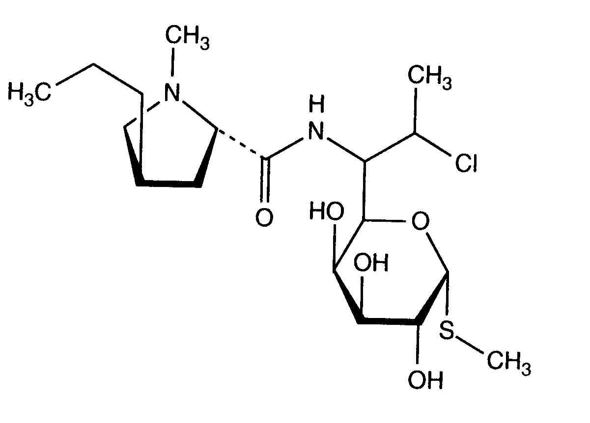
antibiotikum   Clindamycin phosphate  
Injekcia
Stabilita roztokov Stabilita v zmesiach Faktory ovplyvňujúce stabilitu Kompatibility spôsob podania Odkazy na literatúru PDF
   Chemický vzorec  

Obchodný názov   Obchodný názov     

Obchodné názvy sú orientačné, a zloženie pomocných látok sa môže líšiť v závislosti od krajiny a výrobcu.

Biodaclin Mexiko
Camyda India
Cinbiot Mexiko
Cleocin Rakúsko, Spojené štáty Americké, Turecko
Clinamsa Mexiko
Clinbac Kolumbia, peru
Clincina Portugalsko
Clinda-Saar Nemecko
Clindacid Venezuela
Clindacin Malajzia
Clindalaf Argentína
Clindamicina Argentína, Brazília, Čile, Ekvádor, Kolumbia, Mexiko, peru, Portugalsko, Španielsko, Taliansko, Venezuela
Clindamycin Irán, Kanada, Nemecko, Nórsko, Rakúsko, Rumunsko, Saudská Arábia, Spojené štáty Americké, Švédsko
Clindamycin-Hameln Nemecko
Clindamycine Belgicko, Francúzsko, Holandsko, Tunisko
Clindanovag Argentína
Clindarix Brazília
Clindasol Nemecko
Clindaval Venezuela
Clindazyn Mexiko
Clindo Poľsko
Clysvic Mexiko
Daclin Čile
Dalacin Austrália, Belgicko, Čile, Dánsko, Egypt, Ekvádor, Fínsko, Grécko, Holandsko, India, Irán, Írsko, Island, Kanada, Kolumbia, Luxembursko, Maďarsko, Malajzia, Mexiko, Nórsko, nový Zéland, Poľsko, Saudská Arábia, Spojené arabské emiráty, Švajčiarsko, Švédsko, Taliansko, Tunisko, Veľká Británia, Venezuela
Dalacine Francúzsko, Tunisko
Daladic Irán
Dalcinex India
Damclid India
Damicin Kolumbia, Mexiko
Damicine Kolumbia
Dolarclin Kolumbia
Euroclin Ekvádor, Kolumbia
Gynasafe India
Indamid Mexiko
Klimicin Poľsko
Klindan Turecko
Klindaver Turecko
Lanacine Rakúsko
Lincocin Malajzia
Lincosa Malajzia
Meneklin Turecko
Sobelin Nemecko
Tidact Malajzia
Stabilita v zmesiach   Injekcia   Stabilita v zmesiach : Clindamycin phosphate     
obal rozpúšťadlo koncentrácia Zlúčenina teplota uchovávanie Trvanie stability odkazy na lieteratúru
Sklo 0,9% chlorid sodný 12 mg/ml
Injekcia   Clindamycin phosphate   
Injekcia   Cefpirome sulfate 50 mg/ml
23°C
8 hodín
Za svetla 280
Úroveň dôkazov B+
Sklo 0,9% chlorid sodný 9 mg/ml
Injekcia   Clindamycin phosphate   
Injekcia   Cefotaxime sodium 20 mg/ml
24°C
24 hodín
Za svetla 421
Žolík (rôzne)
Sklo 0,9% chlorid sodný 9 mg/ml
Injekcia   Clindamycin phosphate   
Injekcia   Netilmicin sulfate 3 mg/ml
24°C
24 hodín
Za svetla 421
Žolík (rôzne)
Sklo 0,9% chlorid sodný 12 mg/ml
Injekcia   Clindamycin phosphate   
Injekcia   Ceftriaxone disodium 20 mg/ml
25°C
8 hodín
Za svetla 432
Úroveň dôkazov D
Sklo 0,9% chlorid sodný 9 mg/ml
Injekcia   Clindamycin phosphate   
Injekcia   Cefazolin sodium 10 mg/ml
Injekcia   Gentamicin sulfate 0,8 mg/ml
25°C
12 hodín
Za svetla 695
Žolík (rôzne)
Sklo 0,9% chlorid sodný 9 mg/ml
Injekcia   Clindamycin phosphate   
Injekcia   Ceftizoxime sodium 20 mg/ml
25°C
24 hodín
Za svetla 418
Úroveň dôkazov D
Sklo 0,9% chlorid sodný 9 mg/ml
Injekcia   Clindamycin phosphate   
Injekcia   Ceftazidime 20 mg/ml
25°C
48 hodín
Za svetla 432
Úroveň dôkazov D
Sklo 0,9% chlorid sodný 60 mg/ml
Injekcia   Clindamycin phosphate   
Injekcia   Aztreonam 200 mg/ml
25°C
48 hodín
Za svetla 644
Úroveň dôkazov B
Sklo 0,9% chlorid sodný 9 mg/ml
Injekcia   Clindamycin phosphate   
Injekcia   Aztreonam 20 mg/ml
25°C
48 hodín
Za svetla 432
Úroveň dôkazov D
Sklo 0,9% chlorid sodný 9 mg/ml
Injekcia   Clindamycin phosphate   
Injekcia   Piperacillin sodium 40 mg/ml
25°C
48 hodín
Za svetla 432
Úroveň dôkazov D
Sklo 0,9% chlorid sodný 9 mg/ml
Injekcia   Clindamycin phosphate   
Injekcia   Cefoxitin sodium 20 mg/ml
25°C
48 hodín
Za svetla 418
Úroveň dôkazov D
Sklo 0,9% chlorid sodný 9 mg/ml
Injekcia   Clindamycin phosphate   
Injekcia   Cefamandole nafate 10 mg/ml
25°C
48 hodín
Za svetla 418
Úroveň dôkazov D
Sklo 0,9% chlorid sodný 9 mg/ml
Injekcia   Clindamycin phosphate   
Injekcia   Cefazolin sodium 10 mg/ml
25°C
48 hodín
Za svetla 418
Úroveň dôkazov D
Sklo 0,9% chlorid sodný 12 mg/ml
Injekcia   Clindamycin phosphate   
Injekcia   Cefoperazone sodium 20 mg/ml
25°C
48 hodín
Za svetla 644
Úroveň dôkazov B
Sklo 0,9% chlorid sodný 12 mg/ml
Injekcia   Clindamycin phosphate   
Injekcia   Cefonicid sodium 10 mg/ml
25°C
48 hodín
Za svetla 644
Úroveň dôkazov B
Sklo 0,9% chlorid sodný 9 mg/ml
Injekcia   Clindamycin phosphate   
Injekcia   Cefuroxime sodium 15 mg/ml
25°C
48 hodín
Za svetla 644
Úroveň dôkazov B
Sklo 5% glukóza 12 mg/ml
Injekcia   Clindamycin phosphate   
Injekcia   Cefpirome sulfate 50 mg/ml
23°C
8 hodín
Za svetla 280
Úroveň dôkazov B+
Sklo 5% glukóza 9 mg/ml
Injekcia   Clindamycin phosphate   
Injekcia   Cefotaxime sodium 20 mg/ml
24°C
24 hodín
Za svetla 421
Žolík (rôzne)
Sklo 5% glukóza 9 mg/ml
Injekcia   Clindamycin phosphate   
Injekcia   Netilmicin sulfate 3 mg/ml
24°C
24 hodín
Za svetla 421
Žolík (rôzne)
Sklo 5% glukóza 12 mg/ml
Injekcia   Clindamycin phosphate   
Injekcia   Ceftriaxone disodium 20 mg/ml
25°C
1 hodín
Za svetla 432
Úroveň dôkazov D
Sklo 5% glukóza 9 mg/ml
Injekcia   Clindamycin phosphate   
Injekcia   Cefazolin sodium 10 mg/ml
Injekcia   Gentamicin sulfate 0,8 mg/ml
25°C
1 hodín
Za svetla 695
Žolík (rôzne)
Sklo 5% glukóza 9 mg/ml
Injekcia   Clindamycin phosphate   
Injekcia   Ceftazidime 20 mg/ml
25°C
24 hodín
Za svetla 432
Úroveň dôkazov D
Sklo 5% glukóza 9 mg/ml
Injekcia   Clindamycin phosphate   
Injekcia   Ceftizoxime sodium 20 mg/ml
25°C
48 hodín
Za svetla 418
Úroveň dôkazov D
Sklo 5% glukóza 9 mg/ml
Injekcia   Clindamycin phosphate   
Injekcia   Aztreonam 20 mg/ml
25°C
48 hodín
Za svetla 432
Úroveň dôkazov D
Sklo 5% glukóza 9 mg/ml
Injekcia   Clindamycin phosphate   
Injekcia   Piperacillin sodium 40 mg/ml
25°C
48 hodín
Za svetla 432
Úroveň dôkazov D
Sklo 5% glukóza 9 mg/ml
Injekcia   Clindamycin phosphate   
Injekcia   Cefoxitin sodium 20 mg/ml
25°C
48 hodín
Za svetla 418
Úroveň dôkazov D
Sklo 5% glukóza 9 mg/ml
Injekcia   Clindamycin phosphate   
Injekcia   Cefamandole nafate 10 mg/ml
25°C
48 hodín
Za svetla 418
Úroveň dôkazov D
Sklo 5% glukóza 9 mg/ml
Injekcia   Clindamycin phosphate   
Injekcia   Cefazolin sodium 10 mg/ml
25°C
48 hodín
Za svetla 418
Úroveň dôkazov D
Sklo 5% glukóza 12 mg/ml
Injekcia   Clindamycin phosphate   
Injekcia   Cefoperazone sodium 20 mg/ml
25°C
48 hodín
Za svetla 644
Úroveň dôkazov B
Sklo 5% glukóza 12 mg/ml
Injekcia   Clindamycin phosphate   
Injekcia   Cefonicid sodium 10 mg/ml
25°C
48 hodín
Za svetla 644
Úroveň dôkazov B
Sklo 5% glukóza 9 mg/ml
Injekcia   Clindamycin phosphate   
Injekcia   Cefuroxime sodium 15 mg/ml
25°C
48 hodín
Za svetla 644
Úroveň dôkazov B
Sklo Ringerov laktátový roztok 12 mg/ml
Injekcia   Clindamycin phosphate   
Injekcia   Cefpirome sulfate 50 mg/ml
23°C
8 hodín
Za svetla 280
Úroveň dôkazov B+
Sklo 0,45 % chlorid sodný 12 mg/ml
Injekcia   Clindamycin phosphate   
Injekcia   Cefpirome sulfate 50 mg/ml
23°C
8 hodín
Za svetla 280
Úroveň dôkazov B+
Sklo Žiadny 6 mg/ml
Injekcia   Clindamycin phosphate   
Injekcia   Ofloxacin 2 mg/ml
25°C
48 hodín
nešpecifikované 889
Úroveň dôkazov D
polyvinylchlorid (PVC) 0,9% chlorid sodný 9 mg/ml
Injekcia   Clindamycin phosphate   
Injekcia   Tobramycin sulfate 1,2 mg/ml
-20°C
28 dní
Chránené pred svetlom 565
Úroveň dôkazov D
polyvinylchlorid (PVC) 0,9% chlorid sodný 9 mg/ml
Injekcia   Clindamycin phosphate   
Injekcia   Gentamicin sulfate 1,2 mg/ml
-20°C
28 dní
Chránené pred svetlom 565
Úroveň dôkazov D
polyvinylchlorid (PVC) 0,9% chlorid sodný 3 & 6 mg/ml
Injekcia   Clindamycin phosphate   
Injekcia   Aztreonam 10 & 20 mg/ml
22°C-23°C
48 hodín
nešpecifikované 419
Úroveň dôkazov B+
polyvinylchlorid (PVC) 0,9% chlorid sodný 9 mg/ml
Injekcia   Clindamycin phosphate   
Injekcia   Cefotaxime sodium 20 mg/ml
24°C
24 hodín
Za svetla 421
Žolík (rôzne)
polyvinylchlorid (PVC) 0,9% chlorid sodný 9 mg/ml
Injekcia   Clindamycin phosphate   
Injekcia   Netilmicin sulfate 3 mg/ml
24°C
24 hodín
Za svetla 421
Žolík (rôzne)
polyvinylchlorid (PVC) 0,9% chlorid sodný 9 mg/ml
Injekcia   Clindamycin phosphate   
Injekcia   Amikacin sulfate 4 mg/ml
25°C
48 hodín
nešpecifikované 565
Úroveň dôkazov D
polyvinylchlorid (PVC) 0,9% chlorid sodný 3 & 6 mg/ml
Injekcia   Clindamycin phosphate   
Injekcia   Aztreonam 10 & 20 mg/ml
4°C
7 dní
Chránené pred svetlom 419
Úroveň dôkazov B+
polyvinylchlorid (PVC) 5% glukóza 9 mg/ml
Injekcia   Clindamycin phosphate   
Injekcia   Tobramycin sulfate 1,2 mg/ml
-20°C
14 dní
Chránené pred svetlom 565
Úroveň dôkazov D
polyvinylchlorid (PVC) 5% glukóza 9 mg/ml
Injekcia   Clindamycin phosphate   
Injekcia   Gentamicin sulfate 1,2 mg/ml
-20°C
28 dní
Chránené pred svetlom 565
Úroveň dôkazov D
polyvinylchlorid (PVC) 5% glukóza 3 & 6 mg/ml
Injekcia   Clindamycin phosphate   
Injekcia   Aztreonam 10 & 20 mg/ml
22°C-23°C
48 hodín
nešpecifikované 419
Úroveň dôkazov B+
polyvinylchlorid (PVC) 5% glukóza 9 mg/ml
Injekcia   Clindamycin phosphate   
Injekcia   Cefotaxime sodium 20 mg/ml
24°C
24 hodín
Za svetla 421
Žolík (rôzne)
polyvinylchlorid (PVC) 5% glukóza 9 mg/ml
Injekcia   Clindamycin phosphate   
Injekcia   Netilmicin sulfate 3 mg/ml
24°C
24 hodín
Za svetla 421
Žolík (rôzne)
polyvinylchlorid (PVC) 5% glukóza 6 mg/ml
Injekcia   Clindamycin phosphate   
Injekcia   Gentamicin sulfate 5 mg/ml
25°C
24 hodín
Za svetla 423
Úroveň dôkazov D
polyvinylchlorid (PVC) 5% glukóza 9 mg/ml
Injekcia   Clindamycin phosphate   
Injekcia   Amikacin sulfate 4 mg/ml
25°C
48 hodín
nešpecifikované 565
Úroveň dôkazov D
polyvinylchlorid (PVC) 5% glukóza 3 & 6 mg/ml
Injekcia   Clindamycin phosphate   
Injekcia   Aztreonam 10 & 20 mg/ml
4°C
7 dní
Chránené pred svetlom 419
Úroveň dôkazov B+
Injekčná striekačka polypropylén 0,9% chlorid sodný 90 mg/ml
Injekcia   Clindamycin phosphate   
Injekcia   Gentamicin sulfate 30 mg/ml
22°C-23°C
48 hodín
Za svetla 639
Úroveň dôkazov D
Injekčná striekačka polypropylén 0,9% chlorid sodný 90 mg/ml
Injekcia   Clindamycin phosphate   
Injekcia   Amikacin sulfate 190 mg/ml
22°C-23°C
48 hodín
Za svetla 639
Úroveň dôkazov D

  Mentions Légales