Последно актуализиране :
27/04/2026
Антибиотик   Clindamycin phosphate  
Инжекция/Инжекционен
Стабилност на разтвори Стабилност на смеси Фактори, повлияващи стабилността Съвместимост Път на въвеждане Библиография Pdf
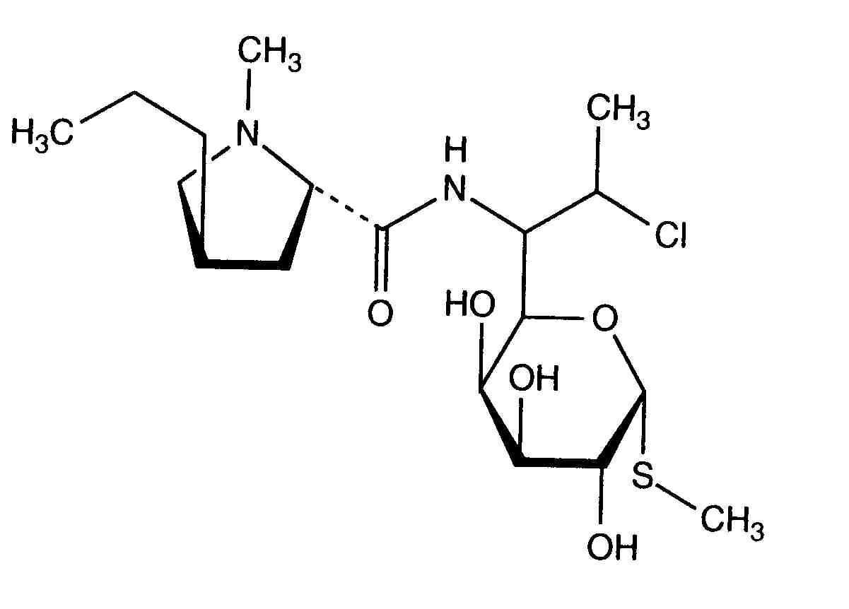
   Химична структура  

Търговско наименование   Търговско наименование     

Търговските имена са примерни и съставът на помощните вещества може да бъде различен в зависимост от държавата и лабораториите

Biodaclin Мексико
Camyda Индия
Cinbiot Мексико
Cleocin Австрия, Съединени Американски щати / САЩ, Турция
Clinamsa Мексико
Clinbac Колумбия, Перу
Clincina Португалия
Clinda-Saar Германия
Clindacid Венецуела
Clindacin Малайзия
Clindalaf Аржентина
Clindamicina Аржентина, Бразилия, Венецуела, Еквадор, Испания, Италия, Колумбия, Мексико, Перу, Португалия, Чили
Clindamycin Австрия, Германия, Иран, Канада, Норвегия, Румъния, Саудитска Арабия, Съединени Американски щати / САЩ, Швеция
Clindamycin-Hameln Германия
Clindamycine Белгия, Тунис, Франция, Холандия
Clindanovag Аржентина
Clindarix Бразилия
Clindasol Германия
Clindaval Венецуела
Clindazyn Мексико
Clindo Полша
Clysvic Мексико
Daclin Чили
Dalacin Австралия, Белгия, Великобритания, Венецуела, Гърция, Дания, Египет, Еквадор, Индия, Иран, Ирландия, Исландия, Италия, Канада, Колумбия, Люксенбург, Малайзия, Мексико, нова Зеландия, Норвегия, Обединени арабски емирства, Полша, Саудитска Арабия, Тунис, Унгария, Финландия, Холандия, Чили, Швейцария, Швеция
Dalacine Тунис, Франция
Daladic Иран
Dalcinex Индия
Damclid Индия
Damicin Колумбия, Мексико
Damicine Колумбия
Dolarclin Колумбия
Euroclin Еквадор, Колумбия
Gynasafe Индия
Indamid Мексико
Klimicin Полша
Klindan Турция
Klindaver Турция
Lanacine Австрия
Lincocin Малайзия
Lincosa Малайзия
Meneklin Турция
Sobelin Германия
Tidact Малайзия
Стабилност на смеси   Инжекция/Инжекционен   Стабилност на смеси : Clindamycin phosphate     
Контейнер Разтворител Концентрация Състав / молекула Температура Съхранение Продължителност на стабилността Библиография
Стъкло Sodium chloride 0,9% 12 mg/ml
Инжекция/Инжекционен   Clindamycin phosphate   
Инжекция/Инжекционен   Cefpirome sulfate 50 mg/ml
23°C
8 Час
Светлина 280
Степен на доказаност B+
Стъкло Sodium chloride 0,9% 9 mg/ml
Инжекция/Инжекционен   Clindamycin phosphate   
Инжекция/Инжекционен   Cefotaxime sodium 20 mg/ml
24°C
24 Час
Светлина 421
Жокер
Стъкло Sodium chloride 0,9% 9 mg/ml
Инжекция/Инжекционен   Clindamycin phosphate   
Инжекция/Инжекционен   Netilmicin sulfate 3 mg/ml
24°C
24 Час
Светлина 421
Жокер
Стъкло Sodium chloride 0,9% 12 mg/ml
Инжекция/Инжекционен   Clindamycin phosphate   
Инжекция/Инжекционен   Ceftriaxone disodium 20 mg/ml
25°C
8 Час
Светлина 432
Степен на доказаност D
Стъкло Sodium chloride 0,9% 9 mg/ml
Инжекция/Инжекционен   Clindamycin phosphate   
Инжекция/Инжекционен   Cefazolin sodium 10 mg/ml
Инжекция/Инжекционен   Gentamicin sulfate 0,8 mg/ml
25°C
12 Час
Светлина 695
Жокер
Стъкло Sodium chloride 0,9% 9 mg/ml
Инжекция/Инжекционен   Clindamycin phosphate   
Инжекция/Инжекционен   Ceftizoxime sodium 20 mg/ml
25°C
24 Час
Светлина 418
Степен на доказаност D
Стъкло Sodium chloride 0,9% 9 mg/ml
Инжекция/Инжекционен   Clindamycin phosphate   
Инжекция/Инжекционен   Ceftazidime 20 mg/ml
25°C
48 Час
Светлина 432
Степен на доказаност D
Стъкло Sodium chloride 0,9% 60 mg/ml
Инжекция/Инжекционен   Clindamycin phosphate   
Инжекция/Инжекционен   Aztreonam 200 mg/ml
25°C
48 Час
Светлина 644
Степен на доказаност B
Стъкло Sodium chloride 0,9% 9 mg/ml
Инжекция/Инжекционен   Clindamycin phosphate   
Инжекция/Инжекционен   Aztreonam 20 mg/ml
25°C
48 Час
Светлина 432
Степен на доказаност D
Стъкло Sodium chloride 0,9% 9 mg/ml
Инжекция/Инжекционен   Clindamycin phosphate   
Инжекция/Инжекционен   Piperacillin sodium 40 mg/ml
25°C
48 Час
Светлина 432
Степен на доказаност D
Стъкло Sodium chloride 0,9% 9 mg/ml
Инжекция/Инжекционен   Clindamycin phosphate   
Инжекция/Инжекционен   Cefoxitin sodium 20 mg/ml
25°C
48 Час
Светлина 418
Степен на доказаност D
Стъкло Sodium chloride 0,9% 9 mg/ml
Инжекция/Инжекционен   Clindamycin phosphate   
Инжекция/Инжекционен   Cefamandole nafate 10 mg/ml
25°C
48 Час
Светлина 418
Степен на доказаност D
Стъкло Sodium chloride 0,9% 9 mg/ml
Инжекция/Инжекционен   Clindamycin phosphate   
Инжекция/Инжекционен   Cefazolin sodium 10 mg/ml
25°C
48 Час
Светлина 418
Степен на доказаност D
Стъкло Sodium chloride 0,9% 12 mg/ml
Инжекция/Инжекционен   Clindamycin phosphate   
Инжекция/Инжекционен   Cefoperazone sodium 20 mg/ml
25°C
48 Час
Светлина 644
Степен на доказаност B
Стъкло Sodium chloride 0,9% 12 mg/ml
Инжекция/Инжекционен   Clindamycin phosphate   
Инжекция/Инжекционен   Cefonicid sodium 10 mg/ml
25°C
48 Час
Светлина 644
Степен на доказаност B
Стъкло Sodium chloride 0,9% 9 mg/ml
Инжекция/Инжекционен   Clindamycin phosphate   
Инжекция/Инжекционен   Cefuroxime sodium 15 mg/ml
25°C
48 Час
Светлина 644
Степен на доказаност B
Стъкло Glucose 5% 12 mg/ml
Инжекция/Инжекционен   Clindamycin phosphate   
Инжекция/Инжекционен   Cefpirome sulfate 50 mg/ml
23°C
8 Час
Светлина 280
Степен на доказаност B+
Стъкло Glucose 5% 9 mg/ml
Инжекция/Инжекционен   Clindamycin phosphate   
Инжекция/Инжекционен   Cefotaxime sodium 20 mg/ml
24°C
24 Час
Светлина 421
Жокер
Стъкло Glucose 5% 9 mg/ml
Инжекция/Инжекционен   Clindamycin phosphate   
Инжекция/Инжекционен   Netilmicin sulfate 3 mg/ml
24°C
24 Час
Светлина 421
Жокер
Стъкло Glucose 5% 12 mg/ml
Инжекция/Инжекционен   Clindamycin phosphate   
Инжекция/Инжекционен   Ceftriaxone disodium 20 mg/ml
25°C
1 Час
Светлина 432
Степен на доказаност D
Стъкло Glucose 5% 9 mg/ml
Инжекция/Инжекционен   Clindamycin phosphate   
Инжекция/Инжекционен   Cefazolin sodium 10 mg/ml
Инжекция/Инжекционен   Gentamicin sulfate 0,8 mg/ml
25°C
1 Час
Светлина 695
Жокер
Стъкло Glucose 5% 9 mg/ml
Инжекция/Инжекционен   Clindamycin phosphate   
Инжекция/Инжекционен   Ceftazidime 20 mg/ml
25°C
24 Час
Светлина 432
Степен на доказаност D
Стъкло Glucose 5% 9 mg/ml
Инжекция/Инжекционен   Clindamycin phosphate   
Инжекция/Инжекционен   Ceftizoxime sodium 20 mg/ml
25°C
48 Час
Светлина 418
Степен на доказаност D
Стъкло Glucose 5% 9 mg/ml
Инжекция/Инжекционен   Clindamycin phosphate   
Инжекция/Инжекционен   Aztreonam 20 mg/ml
25°C
48 Час
Светлина 432
Степен на доказаност D
Стъкло Glucose 5% 9 mg/ml
Инжекция/Инжекционен   Clindamycin phosphate   
Инжекция/Инжекционен   Piperacillin sodium 40 mg/ml
25°C
48 Час
Светлина 432
Степен на доказаност D
Стъкло Glucose 5% 9 mg/ml
Инжекция/Инжекционен   Clindamycin phosphate   
Инжекция/Инжекционен   Cefoxitin sodium 20 mg/ml
25°C
48 Час
Светлина 418
Степен на доказаност D
Стъкло Glucose 5% 9 mg/ml
Инжекция/Инжекционен   Clindamycin phosphate   
Инжекция/Инжекционен   Cefamandole nafate 10 mg/ml
25°C
48 Час
Светлина 418
Степен на доказаност D
Стъкло Glucose 5% 9 mg/ml
Инжекция/Инжекционен   Clindamycin phosphate   
Инжекция/Инжекционен   Cefazolin sodium 10 mg/ml
25°C
48 Час
Светлина 418
Степен на доказаност D
Стъкло Glucose 5% 12 mg/ml
Инжекция/Инжекционен   Clindamycin phosphate   
Инжекция/Инжекционен   Cefoperazone sodium 20 mg/ml
25°C
48 Час
Светлина 644
Степен на доказаност B
Стъкло Glucose 5% 12 mg/ml
Инжекция/Инжекционен   Clindamycin phosphate   
Инжекция/Инжекционен   Cefonicid sodium 10 mg/ml
25°C
48 Час
Светлина 644
Степен на доказаност B
Стъкло Glucose 5% 9 mg/ml
Инжекция/Инжекционен   Clindamycin phosphate   
Инжекция/Инжекционен   Cefuroxime sodium 15 mg/ml
25°C
48 Час
Светлина 644
Степен на доказаност B
Стъкло Ринтер лактат 12 mg/ml
Инжекция/Инжекционен   Clindamycin phosphate   
Инжекция/Инжекционен   Cefpirome sulfate 50 mg/ml
23°C
8 Час
Светлина 280
Степен на доказаност B+
Стъкло Sodium chloride 0,45% 12 mg/ml
Инжекция/Инжекционен   Clindamycin phosphate   
Инжекция/Инжекционен   Cefpirome sulfate 50 mg/ml
23°C
8 Час
Светлина 280
Степен на доказаност B+
Стъкло Няма 6 mg/ml
Инжекция/Инжекционен   Clindamycin phosphate   
Инжекция/Инжекционен   Ofloxacin 2 mg/ml
25°C
48 Час
Не е уточнено 889
Степен на доказаност D
Поливинил хлорид Sodium chloride 0,9% 9 mg/ml
Инжекция/Инжекционен   Clindamycin phosphate   
Инжекция/Инжекционен   Tobramycin sulfate 1,2 mg/ml
-20°C
28 Ден
Защита от светлина 565
Степен на доказаност D
Поливинил хлорид Sodium chloride 0,9% 9 mg/ml
Инжекция/Инжекционен   Clindamycin phosphate   
Инжекция/Инжекционен   Gentamicin sulfate 1,2 mg/ml
-20°C
28 Ден
Защита от светлина 565
Степен на доказаност D
Поливинил хлорид Sodium chloride 0,9% 3 & 6 mg/ml
Инжекция/Инжекционен   Clindamycin phosphate   
Инжекция/Инжекционен   Aztreonam 10 & 20 mg/ml
22°C-23°C
48 Час
Не е уточнено 419
Степен на доказаност B+
Поливинил хлорид Sodium chloride 0,9% 9 mg/ml
Инжекция/Инжекционен   Clindamycin phosphate   
Инжекция/Инжекционен   Cefotaxime sodium 20 mg/ml
24°C
24 Час
Светлина 421
Жокер
Поливинил хлорид Sodium chloride 0,9% 9 mg/ml
Инжекция/Инжекционен   Clindamycin phosphate   
Инжекция/Инжекционен   Netilmicin sulfate 3 mg/ml
24°C
24 Час
Светлина 421
Жокер
Поливинил хлорид Sodium chloride 0,9% 9 mg/ml
Инжекция/Инжекционен   Clindamycin phosphate   
Инжекция/Инжекционен   Amikacin sulfate 4 mg/ml
25°C
48 Час
Не е уточнено 565
Степен на доказаност D
Поливинил хлорид Sodium chloride 0,9% 3 & 6 mg/ml
Инжекция/Инжекционен   Clindamycin phosphate   
Инжекция/Инжекционен   Aztreonam 10 & 20 mg/ml
4°C
7 Ден
Защита от светлина 419
Степен на доказаност B+
Поливинил хлорид Glucose 5% 9 mg/ml
Инжекция/Инжекционен   Clindamycin phosphate   
Инжекция/Инжекционен   Tobramycin sulfate 1,2 mg/ml
-20°C
14 Ден
Защита от светлина 565
Степен на доказаност D
Поливинил хлорид Glucose 5% 9 mg/ml
Инжекция/Инжекционен   Clindamycin phosphate   
Инжекция/Инжекционен   Gentamicin sulfate 1,2 mg/ml
-20°C
28 Ден
Защита от светлина 565
Степен на доказаност D
Поливинил хлорид Glucose 5% 3 & 6 mg/ml
Инжекция/Инжекционен   Clindamycin phosphate   
Инжекция/Инжекционен   Aztreonam 10 & 20 mg/ml
22°C-23°C
48 Час
Не е уточнено 419
Степен на доказаност B+
Поливинил хлорид Glucose 5% 9 mg/ml
Инжекция/Инжекционен   Clindamycin phosphate   
Инжекция/Инжекционен   Cefotaxime sodium 20 mg/ml
24°C
24 Час
Светлина 421
Жокер
Поливинил хлорид Glucose 5% 9 mg/ml
Инжекция/Инжекционен   Clindamycin phosphate   
Инжекция/Инжекционен   Netilmicin sulfate 3 mg/ml
24°C
24 Час
Светлина 421
Жокер
Поливинил хлорид Glucose 5% 6 mg/ml
Инжекция/Инжекционен   Clindamycin phosphate   
Инжекция/Инжекционен   Gentamicin sulfate 5 mg/ml
25°C
24 Час
Светлина 423
Степен на доказаност D
Поливинил хлорид Glucose 5% 9 mg/ml
Инжекция/Инжекционен   Clindamycin phosphate   
Инжекция/Инжекционен   Amikacin sulfate 4 mg/ml
25°C
48 Час
Не е уточнено 565
Степен на доказаност D
Поливинил хлорид Glucose 5% 3 & 6 mg/ml
Инжекция/Инжекционен   Clindamycin phosphate   
Инжекция/Инжекционен   Aztreonam 10 & 20 mg/ml
4°C
7 Ден
Защита от светлина 419
Степен на доказаност B+
шприц полипропилен Sodium chloride 0,9% 90 mg/ml
Инжекция/Инжекционен   Clindamycin phosphate   
Инжекция/Инжекционен   Gentamicin sulfate 30 mg/ml
22°C-23°C
48 Час
Светлина 639
Степен на доказаност D
шприц полипропилен Sodium chloride 0,9% 90 mg/ml
Инжекция/Инжекционен   Clindamycin phosphate   
Инжекция/Инжекционен   Amikacin sulfate 190 mg/ml
22°C-23°C
48 Час
Светлина 639
Степен на доказаност D

  Mentions Légales