Dernière mise à jour :
27/04/2026
Antibiotique   Clindamycin phosphate  
injectable
Stabilité des solutions Stabilité en mélange Facteur influençant la stabilité Compatibilités Voie d’administration Bibliographie pdf
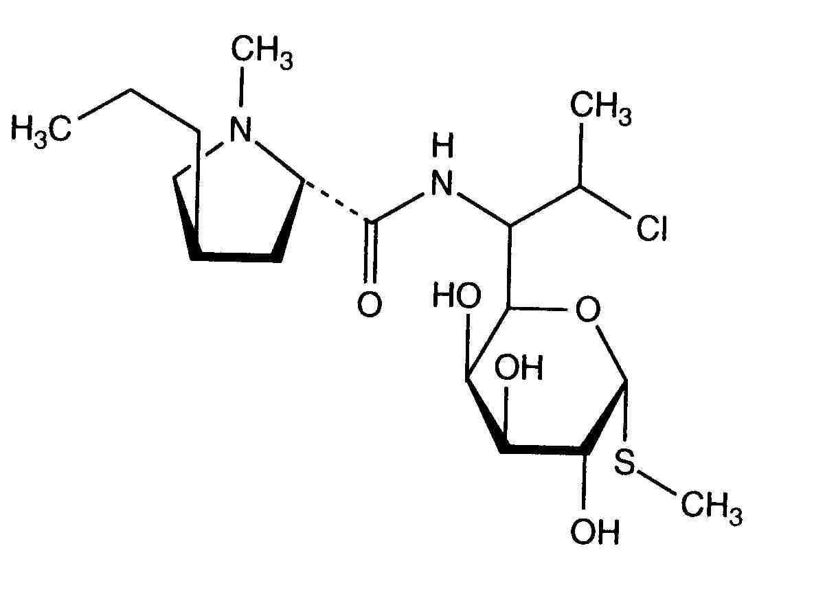
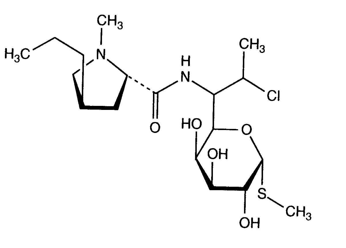
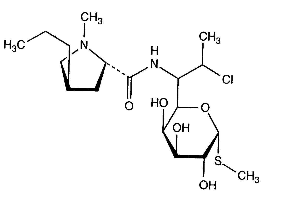
   Structure chimique  

Noms commerciaux   Noms commerciaux     

Les noms commerciaux sont donnés à titre indicatif et la composition en excipients peut être différente selon les pays et selon les laboratoires

Biodaclin Mexique
Camyda Inde
Cinbiot Mexique
Cleocin Autriche, Etats Unis d’Amérique, Turquie
Clinamsa Mexique
Clinbac Colombie, Pérou
Clincina Portugal
Clinda-Saar Allemagne
Clindacid Vénézuela
Clindacin Malaisie
Clindalaf Argentine
Clindamicina Argentine, Brésil, Chili, Colombie, Equateur, Espagne, Italie, Mexique, Pérou, Portugal, Vénézuela
Clindamycin Allemagne, Arabie Saoudite, Autriche, Canada, Etats Unis d’Amérique, Iran, Norvège, Roumanie, Suède
Clindamycin-Hameln Allemagne
Clindamycine Belgique, France, Pays bas, Tunisie
Clindanovag Argentine
Clindarix Brésil
Clindasol Allemagne
Clindaval Vénézuela
Clindazyn Mexique
Clindo Pologne
Clysvic Mexique
Daclin Chili
Dalacin Arabie Saoudite, Australie, Belgique, Canada, Chili, Colombie, Danemark, Egypte, Emirats Arabes Unis , Equateur, Finlande, Grande Bretagne, Grèce, Hongrie, Inde, Iran, Irlande, Islande, Italie, Luxembourg, Malaisie, Mexique, Norvège, Nouvelle Zélande, Pays bas, Pologne, Suède, Suisse, Tunisie, Vénézuela
Dalacine France, Tunisie
Daladic Iran
Dalcinex Inde
Damclid Inde
Damicin Colombie, Mexique
Damicine Colombie
Dolarclin Colombie
Euroclin Colombie, Equateur
Gynasafe Inde
Indamid Mexique
Klimicin Pologne
Klindan Turquie
Klindaver Turquie
Lanacine Autriche
Lincocin Malaisie
Lincosa Malaisie
Meneklin Turquie
Sobelin Allemagne
Tidact Malaisie
Stabilité en mélange   injectable   Stabilité en mélange : Clindamycin phosphate     
Contenant Solvant Concentration Molécule Température Conservation Durée de stabilité Bibliographie
Verre Chlorure de sodium 0,9% 12 mg/ml
injectable   Clindamycin phosphate   
injectable   Cefpirome sulfate 50 mg/ml
23°C
8 Heure
Lumière 280
Niveau de preuve B +
Verre Chlorure de sodium 0,9% 9 mg/ml
injectable   Clindamycin phosphate   
injectable   Cefotaxime sodium 20 mg/ml
24°C
24 Heure
Lumière 421
JOKER
Verre Chlorure de sodium 0,9% 9 mg/ml
injectable   Clindamycin phosphate   
injectable   Netilmicin sulfate 3 mg/ml
24°C
24 Heure
Lumière 421
JOKER
Verre Chlorure de sodium 0,9% 12 mg/ml
injectable   Clindamycin phosphate   
injectable   Ceftriaxone disodium 20 mg/ml
25°C
8 Heure
Lumière 432
Niveau de preuve D
Verre Chlorure de sodium 0,9% 9 mg/ml
injectable   Clindamycin phosphate   
injectable   Cefazolin sodium 10 mg/ml
injectable   Gentamicin sulfate 0,8 mg/ml
25°C
12 Heure
Lumière 695
JOKER
Verre Chlorure de sodium 0,9% 9 mg/ml
injectable   Clindamycin phosphate   
injectable   Ceftizoxime sodium 20 mg/ml
25°C
24 Heure
Lumière 418
Niveau de preuve D
Verre Chlorure de sodium 0,9% 9 mg/ml
injectable   Clindamycin phosphate   
injectable   Ceftazidime 20 mg/ml
25°C
48 Heure
Lumière 432
Niveau de preuve D
Verre Chlorure de sodium 0,9% 60 mg/ml
injectable   Clindamycin phosphate   
injectable   Aztreonam 200 mg/ml
25°C
48 Heure
Lumière 644
Niveau de preuve B
Verre Chlorure de sodium 0,9% 9 mg/ml
injectable   Clindamycin phosphate   
injectable   Aztreonam 20 mg/ml
25°C
48 Heure
Lumière 432
Niveau de preuve D
Verre Chlorure de sodium 0,9% 9 mg/ml
injectable   Clindamycin phosphate   
injectable   Piperacillin sodium 40 mg/ml
25°C
48 Heure
Lumière 432
Niveau de preuve D
Verre Chlorure de sodium 0,9% 9 mg/ml
injectable   Clindamycin phosphate   
injectable   Cefoxitin sodium 20 mg/ml
25°C
48 Heure
Lumière 418
Niveau de preuve D
Verre Chlorure de sodium 0,9% 9 mg/ml
injectable   Clindamycin phosphate   
injectable   Cefamandole nafate 10 mg/ml
25°C
48 Heure
Lumière 418
Niveau de preuve D
Verre Chlorure de sodium 0,9% 9 mg/ml
injectable   Clindamycin phosphate   
injectable   Cefazolin sodium 10 mg/ml
25°C
48 Heure
Lumière 418
Niveau de preuve D
Verre Chlorure de sodium 0,9% 12 mg/ml
injectable   Clindamycin phosphate   
injectable   Cefoperazone sodium 20 mg/ml
25°C
48 Heure
Lumière 644
Niveau de preuve B
Verre Chlorure de sodium 0,9% 12 mg/ml
injectable   Clindamycin phosphate   
injectable   Cefonicid sodium 10 mg/ml
25°C
48 Heure
Lumière 644
Niveau de preuve B
Verre Chlorure de sodium 0,9% 9 mg/ml
injectable   Clindamycin phosphate   
injectable   Cefuroxime sodium 15 mg/ml
25°C
48 Heure
Lumière 644
Niveau de preuve B
Verre Glucose 5% 12 mg/ml
injectable   Clindamycin phosphate   
injectable   Cefpirome sulfate 50 mg/ml
23°C
8 Heure
Lumière 280
Niveau de preuve B +
Verre Glucose 5% 9 mg/ml
injectable   Clindamycin phosphate   
injectable   Cefotaxime sodium 20 mg/ml
24°C
24 Heure
Lumière 421
JOKER
Verre Glucose 5% 9 mg/ml
injectable   Clindamycin phosphate   
injectable   Netilmicin sulfate 3 mg/ml
24°C
24 Heure
Lumière 421
JOKER
Verre Glucose 5% 12 mg/ml
injectable   Clindamycin phosphate   
injectable   Ceftriaxone disodium 20 mg/ml
25°C
1 Heure
Lumière 432
Niveau de preuve D
Verre Glucose 5% 9 mg/ml
injectable   Clindamycin phosphate   
injectable   Cefazolin sodium 10 mg/ml
injectable   Gentamicin sulfate 0,8 mg/ml
25°C
1 Heure
Lumière 695
JOKER
Verre Glucose 5% 9 mg/ml
injectable   Clindamycin phosphate   
injectable   Ceftazidime 20 mg/ml
25°C
24 Heure
Lumière 432
Niveau de preuve D
Verre Glucose 5% 9 mg/ml
injectable   Clindamycin phosphate   
injectable   Ceftizoxime sodium 20 mg/ml
25°C
48 Heure
Lumière 418
Niveau de preuve D
Verre Glucose 5% 9 mg/ml
injectable   Clindamycin phosphate   
injectable   Aztreonam 20 mg/ml
25°C
48 Heure
Lumière 432
Niveau de preuve D
Verre Glucose 5% 9 mg/ml
injectable   Clindamycin phosphate   
injectable   Piperacillin sodium 40 mg/ml
25°C
48 Heure
Lumière 432
Niveau de preuve D
Verre Glucose 5% 9 mg/ml
injectable   Clindamycin phosphate   
injectable   Cefoxitin sodium 20 mg/ml
25°C
48 Heure
Lumière 418
Niveau de preuve D
Verre Glucose 5% 9 mg/ml
injectable   Clindamycin phosphate   
injectable   Cefamandole nafate 10 mg/ml
25°C
48 Heure
Lumière 418
Niveau de preuve D
Verre Glucose 5% 9 mg/ml
injectable   Clindamycin phosphate   
injectable   Cefazolin sodium 10 mg/ml
25°C
48 Heure
Lumière 418
Niveau de preuve D
Verre Glucose 5% 12 mg/ml
injectable   Clindamycin phosphate   
injectable   Cefoperazone sodium 20 mg/ml
25°C
48 Heure
Lumière 644
Niveau de preuve B
Verre Glucose 5% 12 mg/ml
injectable   Clindamycin phosphate   
injectable   Cefonicid sodium 10 mg/ml
25°C
48 Heure
Lumière 644
Niveau de preuve B
Verre Glucose 5% 9 mg/ml
injectable   Clindamycin phosphate   
injectable   Cefuroxime sodium 15 mg/ml
25°C
48 Heure
Lumière 644
Niveau de preuve B
Verre Ringer lactate 12 mg/ml
injectable   Clindamycin phosphate   
injectable   Cefpirome sulfate 50 mg/ml
23°C
8 Heure
Lumière 280
Niveau de preuve B +
Verre Chlorure de sodium 0,45% 12 mg/ml
injectable   Clindamycin phosphate   
injectable   Cefpirome sulfate 50 mg/ml
23°C
8 Heure
Lumière 280
Niveau de preuve B +
Verre Aucun 6 mg/ml
injectable   Clindamycin phosphate   
injectable   Ofloxacin 2 mg/ml
25°C
48 Heure
Non précisée 889
Niveau de preuve D
Polyvinyl chlorure Chlorure de sodium 0,9% 9 mg/ml
injectable   Clindamycin phosphate   
injectable   Tobramycin sulfate 1,2 mg/ml
-20°C
28 Jour
A l’abri de la lumière 565
Niveau de preuve D
Polyvinyl chlorure Chlorure de sodium 0,9% 9 mg/ml
injectable   Clindamycin phosphate   
injectable   Gentamicin sulfate 1,2 mg/ml
-20°C
28 Jour
A l’abri de la lumière 565
Niveau de preuve D
Polyvinyl chlorure Chlorure de sodium 0,9% 3 & 6 mg/ml
injectable   Clindamycin phosphate   
injectable   Aztreonam 10 & 20 mg/ml
22°C-23°C
48 Heure
Non précisée 419
Niveau de preuve B +
Polyvinyl chlorure Chlorure de sodium 0,9% 9 mg/ml
injectable   Clindamycin phosphate   
injectable   Cefotaxime sodium 20 mg/ml
24°C
24 Heure
Lumière 421
JOKER
Polyvinyl chlorure Chlorure de sodium 0,9% 9 mg/ml
injectable   Clindamycin phosphate   
injectable   Netilmicin sulfate 3 mg/ml
24°C
24 Heure
Lumière 421
JOKER
Polyvinyl chlorure Chlorure de sodium 0,9% 9 mg/ml
injectable   Clindamycin phosphate   
injectable   Amikacin sulfate 4 mg/ml
25°C
48 Heure
Non précisée 565
Niveau de preuve D
Polyvinyl chlorure Chlorure de sodium 0,9% 3 & 6 mg/ml
injectable   Clindamycin phosphate   
injectable   Aztreonam 10 & 20 mg/ml
4°C
7 Jour
A l’abri de la lumière 419
Niveau de preuve B +
Polyvinyl chlorure Glucose 5% 9 mg/ml
injectable   Clindamycin phosphate   
injectable   Tobramycin sulfate 1,2 mg/ml
-20°C
14 Jour
A l’abri de la lumière 565
Niveau de preuve D
Polyvinyl chlorure Glucose 5% 9 mg/ml
injectable   Clindamycin phosphate   
injectable   Gentamicin sulfate 1,2 mg/ml
-20°C
28 Jour
A l’abri de la lumière 565
Niveau de preuve D
Polyvinyl chlorure Glucose 5% 3 & 6 mg/ml
injectable   Clindamycin phosphate   
injectable   Aztreonam 10 & 20 mg/ml
22°C-23°C
48 Heure
Non précisée 419
Niveau de preuve B +
Polyvinyl chlorure Glucose 5% 9 mg/ml
injectable   Clindamycin phosphate   
injectable   Cefotaxime sodium 20 mg/ml
24°C
24 Heure
Lumière 421
JOKER
Polyvinyl chlorure Glucose 5% 9 mg/ml
injectable   Clindamycin phosphate   
injectable   Netilmicin sulfate 3 mg/ml
24°C
24 Heure
Lumière 421
JOKER
Polyvinyl chlorure Glucose 5% 6 mg/ml
injectable   Clindamycin phosphate   
injectable   Gentamicin sulfate 5 mg/ml
25°C
24 Heure
Lumière 423
Niveau de preuve D
Polyvinyl chlorure Glucose 5% 9 mg/ml
injectable   Clindamycin phosphate   
injectable   Amikacin sulfate 4 mg/ml
25°C
48 Heure
Non précisée 565
Niveau de preuve D
Polyvinyl chlorure Glucose 5% 3 & 6 mg/ml
injectable   Clindamycin phosphate   
injectable   Aztreonam 10 & 20 mg/ml
4°C
7 Jour
A l’abri de la lumière 419
Niveau de preuve B +
Seringue polypropylène Chlorure de sodium 0,9% 90 mg/ml
injectable   Clindamycin phosphate   
injectable   Gentamicin sulfate 30 mg/ml
22°C-23°C
48 Heure
Lumière 639
Niveau de preuve D
Seringue polypropylène Chlorure de sodium 0,9% 90 mg/ml
injectable   Clindamycin phosphate   
injectable   Amikacin sulfate 190 mg/ml
22°C-23°C
48 Heure
Lumière 639
Niveau de preuve D

  Mentions Légales