Seneste opdatering :
27/04/2026
Antibiotisk   Clindamycin phosphate  
Injektion
Stabilitet i (vandige) opløsninger Stabilitet i blandinger Faktorer der påvirker stabiliteten Kompatibilitet Administrationsvej Bibliografi pdf
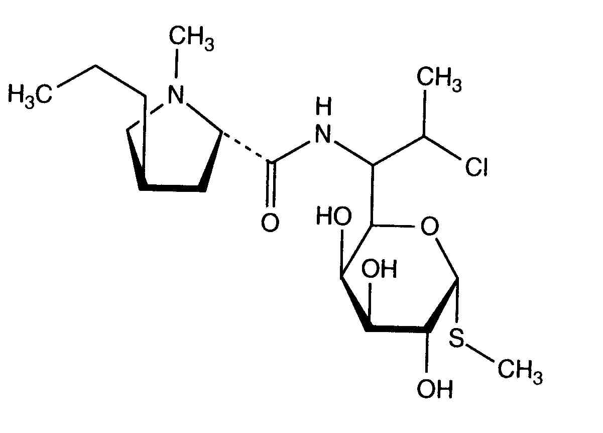
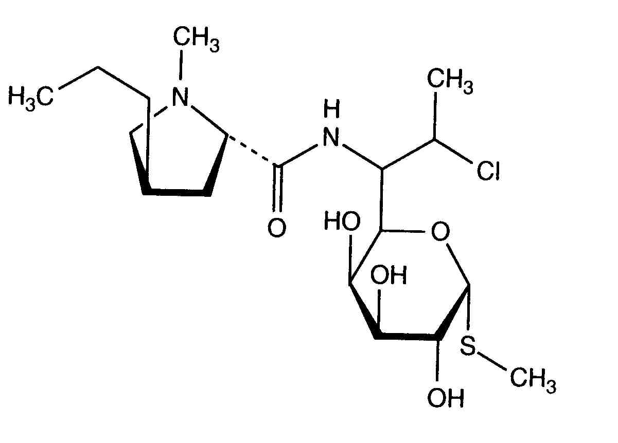
   Kemisk struktur  

Handelsnavn   Handelsnavn     

Handel navne er vejledende og hjælpestoffer sammensætning kan være forskellig afhængigt af landet og laboratorier

Biodaclin Mexico
Camyda Indien
Cinbiot Mexico
Cleocin Tyrkiet, USA, Østrig
Clinamsa Mexico
Clinbac Colombia, Marokko
Clincina Portugal
Clinda-Saar Tyskland
Clindacid Venezuela
Clindacin Malaysia
Clindalaf Argentina
Clindamicina Argentina, Brasilien, Chile, Colombia, Ecuador, Italien, Marokko, Mexico, Portugal, Spanien, Venezuela
Clindamycin Canada, Iran, Norge, Rumænien, Saudi-Arabien, Sverige, Tyskland, USA, Østrig
Clindamycin-Hameln Tyskland
Clindamycine Belgien, Frankrig, Holland, Tunesien
Clindanovag Argentina
Clindarix Brasilien
Clindasol Tyskland
Clindaval Venezuela
Clindazyn Mexico
Clindo Polen
Clysvic Mexico
Daclin Chile
Dalacin Australien, Belgien, Canada, Chile, Colombia, Danmark, Ecuador, Finland, Forenede Arabiske Emirater, Grækenland, Holland, Indien, Iran, Irland, Island, Italien, Luxemborg, Malaysia, Mexico, New Zealand, Norge, Polen, Saudi-Arabien, Schweiz, Storbritanien, Sverige, Tunesien, Ungarn, Venezuela, Ægypten
Dalacine Frankrig, Tunesien
Daladic Iran
Dalcinex Indien
Damclid Indien
Damicin Colombia, Mexico
Damicine Colombia
Dolarclin Colombia
Euroclin Colombia, Ecuador
Gynasafe Indien
Indamid Mexico
Klimicin Polen
Klindan Tyrkiet
Klindaver Tyrkiet
Lanacine Østrig
Lincocin Malaysia
Lincosa Malaysia
Meneklin Tyrkiet
Sobelin Tyskland
Tidact Malaysia
Stabilitet i blandinger   Injektion   Stabilitet i blandinger : Clindamycin phosphate     
Beholder Opløsningsmiddel Koncentration Molekyle Temperatur Konservering Varighed af stabilitet Bibliografi
Glas 0,9 % Natriumklorid 12 mg/ml
Injektion   Clindamycin phosphate   
Injektion   Cefpirome sulfate 50 mg/ml
23°C
8 Time
Lys 280
Level af bevismateriale B+
Glas 0,9 % Natriumklorid 9 mg/ml
Injektion   Clindamycin phosphate   
Injektion   Cefotaxime sodium 20 mg/ml
24°C
24 Time
Lys 421
Joker
Glas 0,9 % Natriumklorid 9 mg/ml
Injektion   Clindamycin phosphate   
Injektion   Netilmicin sulfate 3 mg/ml
24°C
24 Time
Lys 421
Joker
Glas 0,9 % Natriumklorid 12 mg/ml
Injektion   Clindamycin phosphate   
Injektion   Ceftriaxone disodium 20 mg/ml
25°C
8 Time
Lys 432
Level af bevismateriale D
Glas 0,9 % Natriumklorid 9 mg/ml
Injektion   Clindamycin phosphate   
Injektion   Cefazolin sodium 10 mg/ml
Injektion   Gentamicin sulfate 0,8 mg/ml
25°C
12 Time
Lys 695
Joker
Glas 0,9 % Natriumklorid 9 mg/ml
Injektion   Clindamycin phosphate   
Injektion   Ceftizoxime sodium 20 mg/ml
25°C
24 Time
Lys 418
Level af bevismateriale D
Glas 0,9 % Natriumklorid 9 mg/ml
Injektion   Clindamycin phosphate   
Injektion   Ceftazidime 20 mg/ml
25°C
48 Time
Lys 432
Level af bevismateriale D
Glas 0,9 % Natriumklorid 60 mg/ml
Injektion   Clindamycin phosphate   
Injektion   Aztreonam 200 mg/ml
25°C
48 Time
Lys 644
Level af bevismateriale B
Glas 0,9 % Natriumklorid 9 mg/ml
Injektion   Clindamycin phosphate   
Injektion   Aztreonam 20 mg/ml
25°C
48 Time
Lys 432
Level af bevismateriale D
Glas 0,9 % Natriumklorid 9 mg/ml
Injektion   Clindamycin phosphate   
Injektion   Piperacillin sodium 40 mg/ml
25°C
48 Time
Lys 432
Level af bevismateriale D
Glas 0,9 % Natriumklorid 9 mg/ml
Injektion   Clindamycin phosphate   
Injektion   Cefoxitin sodium 20 mg/ml
25°C
48 Time
Lys 418
Level af bevismateriale D
Glas 0,9 % Natriumklorid 9 mg/ml
Injektion   Clindamycin phosphate   
Injektion   Cefamandole nafate 10 mg/ml
25°C
48 Time
Lys 418
Level af bevismateriale D
Glas 0,9 % Natriumklorid 9 mg/ml
Injektion   Clindamycin phosphate   
Injektion   Cefazolin sodium 10 mg/ml
25°C
48 Time
Lys 418
Level af bevismateriale D
Glas 0,9 % Natriumklorid 12 mg/ml
Injektion   Clindamycin phosphate   
Injektion   Cefoperazone sodium 20 mg/ml
25°C
48 Time
Lys 644
Level af bevismateriale B
Glas 0,9 % Natriumklorid 12 mg/ml
Injektion   Clindamycin phosphate   
Injektion   Cefonicid sodium 10 mg/ml
25°C
48 Time
Lys 644
Level af bevismateriale B
Glas 0,9 % Natriumklorid 9 mg/ml
Injektion   Clindamycin phosphate   
Injektion   Cefuroxime sodium 15 mg/ml
25°C
48 Time
Lys 644
Level af bevismateriale B
Glas 5 % Glukose 12 mg/ml
Injektion   Clindamycin phosphate   
Injektion   Cefpirome sulfate 50 mg/ml
23°C
8 Time
Lys 280
Level af bevismateriale B+
Glas 5 % Glukose 9 mg/ml
Injektion   Clindamycin phosphate   
Injektion   Cefotaxime sodium 20 mg/ml
24°C
24 Time
Lys 421
Joker
Glas 5 % Glukose 9 mg/ml
Injektion   Clindamycin phosphate   
Injektion   Netilmicin sulfate 3 mg/ml
24°C
24 Time
Lys 421
Joker
Glas 5 % Glukose 12 mg/ml
Injektion   Clindamycin phosphate   
Injektion   Ceftriaxone disodium 20 mg/ml
25°C
1 Time
Lys 432
Level af bevismateriale D
Glas 5 % Glukose 9 mg/ml
Injektion   Clindamycin phosphate   
Injektion   Cefazolin sodium 10 mg/ml
Injektion   Gentamicin sulfate 0,8 mg/ml
25°C
1 Time
Lys 695
Joker
Glas 5 % Glukose 9 mg/ml
Injektion   Clindamycin phosphate   
Injektion   Ceftazidime 20 mg/ml
25°C
24 Time
Lys 432
Level af bevismateriale D
Glas 5 % Glukose 9 mg/ml
Injektion   Clindamycin phosphate   
Injektion   Ceftizoxime sodium 20 mg/ml
25°C
48 Time
Lys 418
Level af bevismateriale D
Glas 5 % Glukose 9 mg/ml
Injektion   Clindamycin phosphate   
Injektion   Aztreonam 20 mg/ml
25°C
48 Time
Lys 432
Level af bevismateriale D
Glas 5 % Glukose 9 mg/ml
Injektion   Clindamycin phosphate   
Injektion   Piperacillin sodium 40 mg/ml
25°C
48 Time
Lys 432
Level af bevismateriale D
Glas 5 % Glukose 9 mg/ml
Injektion   Clindamycin phosphate   
Injektion   Cefoxitin sodium 20 mg/ml
25°C
48 Time
Lys 418
Level af bevismateriale D
Glas 5 % Glukose 9 mg/ml
Injektion   Clindamycin phosphate   
Injektion   Cefamandole nafate 10 mg/ml
25°C
48 Time
Lys 418
Level af bevismateriale D
Glas 5 % Glukose 9 mg/ml
Injektion   Clindamycin phosphate   
Injektion   Cefazolin sodium 10 mg/ml
25°C
48 Time
Lys 418
Level af bevismateriale D
Glas 5 % Glukose 12 mg/ml
Injektion   Clindamycin phosphate   
Injektion   Cefoperazone sodium 20 mg/ml
25°C
48 Time
Lys 644
Level af bevismateriale B
Glas 5 % Glukose 12 mg/ml
Injektion   Clindamycin phosphate   
Injektion   Cefonicid sodium 10 mg/ml
25°C
48 Time
Lys 644
Level af bevismateriale B
Glas 5 % Glukose 9 mg/ml
Injektion   Clindamycin phosphate   
Injektion   Cefuroxime sodium 15 mg/ml
25°C
48 Time
Lys 644
Level af bevismateriale B
Glas Ringer laktat 12 mg/ml
Injektion   Clindamycin phosphate   
Injektion   Cefpirome sulfate 50 mg/ml
23°C
8 Time
Lys 280
Level af bevismateriale B+
Glas 0,45 % Natriumklorid 12 mg/ml
Injektion   Clindamycin phosphate   
Injektion   Cefpirome sulfate 50 mg/ml
23°C
8 Time
Lys 280
Level af bevismateriale B+
Glas Ingen 6 mg/ml
Injektion   Clindamycin phosphate   
Injektion   Ofloxacin 2 mg/ml
25°C
48 Time
Ikke nærmere angivet 889
Level af bevismateriale D
Polyvinylklorid 0,9 % Natriumklorid 9 mg/ml
Injektion   Clindamycin phosphate   
Injektion   Tobramycin sulfate 1,2 mg/ml
-20°C
28 Dag
Beskyt mod lys 565
Level af bevismateriale D
Polyvinylklorid 0,9 % Natriumklorid 9 mg/ml
Injektion   Clindamycin phosphate   
Injektion   Gentamicin sulfate 1,2 mg/ml
-20°C
28 Dag
Beskyt mod lys 565
Level af bevismateriale D
Polyvinylklorid 0,9 % Natriumklorid 3 & 6 mg/ml
Injektion   Clindamycin phosphate   
Injektion   Aztreonam 10 & 20 mg/ml
22°C-23°C
48 Time
Ikke nærmere angivet 419
Level af bevismateriale B+
Polyvinylklorid 0,9 % Natriumklorid 9 mg/ml
Injektion   Clindamycin phosphate   
Injektion   Cefotaxime sodium 20 mg/ml
24°C
24 Time
Lys 421
Joker
Polyvinylklorid 0,9 % Natriumklorid 9 mg/ml
Injektion   Clindamycin phosphate   
Injektion   Netilmicin sulfate 3 mg/ml
24°C
24 Time
Lys 421
Joker
Polyvinylklorid 0,9 % Natriumklorid 9 mg/ml
Injektion   Clindamycin phosphate   
Injektion   Amikacin sulfate 4 mg/ml
25°C
48 Time
Ikke nærmere angivet 565
Level af bevismateriale D
Polyvinylklorid 0,9 % Natriumklorid 3 & 6 mg/ml
Injektion   Clindamycin phosphate   
Injektion   Aztreonam 10 & 20 mg/ml
4°C
7 Dag
Beskyt mod lys 419
Level af bevismateriale B+
Polyvinylklorid 5 % Glukose 9 mg/ml
Injektion   Clindamycin phosphate   
Injektion   Tobramycin sulfate 1,2 mg/ml
-20°C
14 Dag
Beskyt mod lys 565
Level af bevismateriale D
Polyvinylklorid 5 % Glukose 9 mg/ml
Injektion   Clindamycin phosphate   
Injektion   Gentamicin sulfate 1,2 mg/ml
-20°C
28 Dag
Beskyt mod lys 565
Level af bevismateriale D
Polyvinylklorid 5 % Glukose 3 & 6 mg/ml
Injektion   Clindamycin phosphate   
Injektion   Aztreonam 10 & 20 mg/ml
22°C-23°C
48 Time
Ikke nærmere angivet 419
Level af bevismateriale B+
Polyvinylklorid 5 % Glukose 9 mg/ml
Injektion   Clindamycin phosphate   
Injektion   Cefotaxime sodium 20 mg/ml
24°C
24 Time
Lys 421
Joker
Polyvinylklorid 5 % Glukose 9 mg/ml
Injektion   Clindamycin phosphate   
Injektion   Netilmicin sulfate 3 mg/ml
24°C
24 Time
Lys 421
Joker
Polyvinylklorid 5 % Glukose 6 mg/ml
Injektion   Clindamycin phosphate   
Injektion   Gentamicin sulfate 5 mg/ml
25°C
24 Time
Lys 423
Level af bevismateriale D
Polyvinylklorid 5 % Glukose 9 mg/ml
Injektion   Clindamycin phosphate   
Injektion   Amikacin sulfate 4 mg/ml
25°C
48 Time
Ikke nærmere angivet 565
Level af bevismateriale D
Polyvinylklorid 5 % Glukose 3 & 6 mg/ml
Injektion   Clindamycin phosphate   
Injektion   Aztreonam 10 & 20 mg/ml
4°C
7 Dag
Beskyt mod lys 419
Level af bevismateriale B+
sprøjte polypropylen 0,9 % Natriumklorid 90 mg/ml
Injektion   Clindamycin phosphate   
Injektion   Gentamicin sulfate 30 mg/ml
22°C-23°C
48 Time
Lys 639
Level af bevismateriale D
sprøjte polypropylen 0,9 % Natriumklorid 90 mg/ml
Injektion   Clindamycin phosphate   
Injektion   Amikacin sulfate 190 mg/ml
22°C-23°C
48 Time
Lys 639
Level af bevismateriale D

  Mentions Légales