Letztes “update” :
27/04/2026
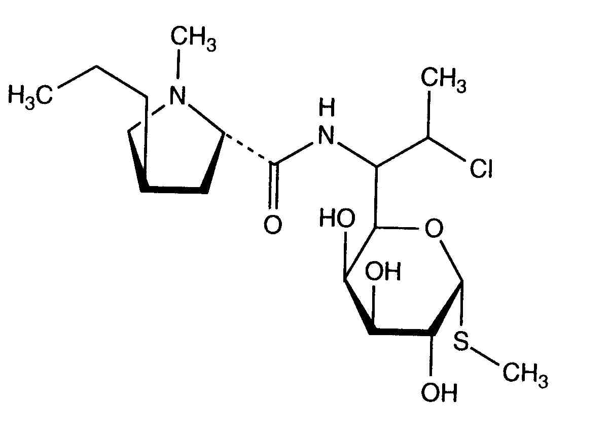
Antibiotikum   Clindamycin phosphate  
Injektion
Stabilität der Lösung Gemengestabilität Stabilitätbeeinflussende Faktoren Kompatibilitäten Applikationsart Literaturverzeichnis pdf
   Chemische Struktur  

Handelsmarke   Handelsmarke     

Handelsnamen sind als beispielhaft anzusehen. Sonstige Bestandteile können je nach Hersteller oder Land verschieden sein

Biodaclin Mexiko
Camyda Indien
Cinbiot Mexiko
Cleocin Österreich, Türkei, Vereinigte Staaten von Amerika
Clinamsa Mexiko
Clinbac Kolumbien, Peru
Clincina Portugal
Clinda-Saar Deutschland
Clindacid Venezuela
Clindacin Malaysia
Clindalaf Argentinien
Clindamicina Argentinien, Brasilien, Chile, Ecuador, Italien, Kolumbien, Mexiko, Peru, Portugal, Spanien, Venezuela
Clindamycin Deutschland, Iran, Kanada, Norwegen, Österreich, Rumänien, Saudi-Arabien, Schweden, Vereinigte Staaten von Amerika
Clindamycin-Hameln Deutschland
Clindamycine Belgien, Frankreich, Niederlande, Tunesien
Clindanovag Argentinien
Clindarix Brasilien
Clindasol Deutschland
Clindaval Venezuela
Clindazyn Mexiko
Clindo Polen
Clysvic Mexiko
Daclin Chile
Dalacin Ägypten, Australien, Belgien, Chile, Dänemark, Ecuador, Finnland, Griechenland, Großbritannien, Indien, Iran, Irland, Island, Italien, Kanada, Kolumbien, Luxemburg, Malaysia, Mexiko, Neuseeland, Niederlande, Norwegen, Polen, Saudi-Arabien, Schweden, Schweiz, Tunesien, Ungarn, Venezuela, Vereinigte Arabische Emirate
Dalacine Frankreich, Tunesien
Daladic Iran
Dalcinex Indien
Damclid Indien
Damicin Kolumbien, Mexiko
Damicine Kolumbien
Dolarclin Kolumbien
Euroclin Ecuador, Kolumbien
Gynasafe Indien
Indamid Mexiko
Klimicin Polen
Klindan Türkei
Klindaver Türkei
Lanacine Österreich
Lincocin Malaysia
Lincosa Malaysia
Meneklin Türkei
Sobelin Deutschland
Tidact Malaysia
Gemengestabilität   Injektion   Gemengestabilität : Clindamycin phosphate     
Behälter Lösungsmittel Konzentration Molekül Temperatur Konservierung Dauer der Stabilität Literaturverzeichnis
Glas 0,9% Natriumchlorid 12 mg/ml
Injektion   Clindamycin phosphate   
Injektion   Cefpirome sulfate 50 mg/ml
23°C
8 Stunde
Licht 280
Evidenzgrad B+
Glas 0,9% Natriumchlorid 9 mg/ml
Injektion   Clindamycin phosphate   
Injektion   Cefotaxime sodium 20 mg/ml
24°C
24 Stunde
Licht 421
Joker
Glas 0,9% Natriumchlorid 9 mg/ml
Injektion   Clindamycin phosphate   
Injektion   Netilmicin sulfate 3 mg/ml
24°C
24 Stunde
Licht 421
Joker
Glas 0,9% Natriumchlorid 12 mg/ml
Injektion   Clindamycin phosphate   
Injektion   Ceftriaxone disodium 20 mg/ml
25°C
8 Stunde
Licht 432
Evidenzgrad D
Glas 0,9% Natriumchlorid 9 mg/ml
Injektion   Clindamycin phosphate   
Injektion   Cefazolin sodium 10 mg/ml
Injektion   Gentamicin sulfate 0,8 mg/ml
25°C
12 Stunde
Licht 695
Joker
Glas 0,9% Natriumchlorid 9 mg/ml
Injektion   Clindamycin phosphate   
Injektion   Ceftizoxime sodium 20 mg/ml
25°C
24 Stunde
Licht 418
Evidenzgrad D
Glas 0,9% Natriumchlorid 9 mg/ml
Injektion   Clindamycin phosphate   
Injektion   Ceftazidime 20 mg/ml
25°C
48 Stunde
Licht 432
Evidenzgrad D
Glas 0,9% Natriumchlorid 60 mg/ml
Injektion   Clindamycin phosphate   
Injektion   Aztreonam 200 mg/ml
25°C
48 Stunde
Licht 644
Evidenzgrad B
Glas 0,9% Natriumchlorid 9 mg/ml
Injektion   Clindamycin phosphate   
Injektion   Aztreonam 20 mg/ml
25°C
48 Stunde
Licht 432
Evidenzgrad D
Glas 0,9% Natriumchlorid 9 mg/ml
Injektion   Clindamycin phosphate   
Injektion   Piperacillin sodium 40 mg/ml
25°C
48 Stunde
Licht 432
Evidenzgrad D
Glas 0,9% Natriumchlorid 9 mg/ml
Injektion   Clindamycin phosphate   
Injektion   Cefoxitin sodium 20 mg/ml
25°C
48 Stunde
Licht 418
Evidenzgrad D
Glas 0,9% Natriumchlorid 9 mg/ml
Injektion   Clindamycin phosphate   
Injektion   Cefamandole nafate 10 mg/ml
25°C
48 Stunde
Licht 418
Evidenzgrad D
Glas 0,9% Natriumchlorid 9 mg/ml
Injektion   Clindamycin phosphate   
Injektion   Cefazolin sodium 10 mg/ml
25°C
48 Stunde
Licht 418
Evidenzgrad D
Glas 0,9% Natriumchlorid 12 mg/ml
Injektion   Clindamycin phosphate   
Injektion   Cefoperazone sodium 20 mg/ml
25°C
48 Stunde
Licht 644
Evidenzgrad B
Glas 0,9% Natriumchlorid 12 mg/ml
Injektion   Clindamycin phosphate   
Injektion   Cefonicid sodium 10 mg/ml
25°C
48 Stunde
Licht 644
Evidenzgrad B
Glas 0,9% Natriumchlorid 9 mg/ml
Injektion   Clindamycin phosphate   
Injektion   Cefuroxime sodium 15 mg/ml
25°C
48 Stunde
Licht 644
Evidenzgrad B
Glas 5% Glucose 12 mg/ml
Injektion   Clindamycin phosphate   
Injektion   Cefpirome sulfate 50 mg/ml
23°C
8 Stunde
Licht 280
Evidenzgrad B+
Glas 5% Glucose 9 mg/ml
Injektion   Clindamycin phosphate   
Injektion   Cefotaxime sodium 20 mg/ml
24°C
24 Stunde
Licht 421
Joker
Glas 5% Glucose 9 mg/ml
Injektion   Clindamycin phosphate   
Injektion   Netilmicin sulfate 3 mg/ml
24°C
24 Stunde
Licht 421
Joker
Glas 5% Glucose 12 mg/ml
Injektion   Clindamycin phosphate   
Injektion   Ceftriaxone disodium 20 mg/ml
25°C
1 Stunde
Licht 432
Evidenzgrad D
Glas 5% Glucose 9 mg/ml
Injektion   Clindamycin phosphate   
Injektion   Cefazolin sodium 10 mg/ml
Injektion   Gentamicin sulfate 0,8 mg/ml
25°C
1 Stunde
Licht 695
Joker
Glas 5% Glucose 9 mg/ml
Injektion   Clindamycin phosphate   
Injektion   Ceftazidime 20 mg/ml
25°C
24 Stunde
Licht 432
Evidenzgrad D
Glas 5% Glucose 9 mg/ml
Injektion   Clindamycin phosphate   
Injektion   Ceftizoxime sodium 20 mg/ml
25°C
48 Stunde
Licht 418
Evidenzgrad D
Glas 5% Glucose 9 mg/ml
Injektion   Clindamycin phosphate   
Injektion   Aztreonam 20 mg/ml
25°C
48 Stunde
Licht 432
Evidenzgrad D
Glas 5% Glucose 9 mg/ml
Injektion   Clindamycin phosphate   
Injektion   Piperacillin sodium 40 mg/ml
25°C
48 Stunde
Licht 432
Evidenzgrad D
Glas 5% Glucose 9 mg/ml
Injektion   Clindamycin phosphate   
Injektion   Cefoxitin sodium 20 mg/ml
25°C
48 Stunde
Licht 418
Evidenzgrad D
Glas 5% Glucose 9 mg/ml
Injektion   Clindamycin phosphate   
Injektion   Cefamandole nafate 10 mg/ml
25°C
48 Stunde
Licht 418
Evidenzgrad D
Glas 5% Glucose 9 mg/ml
Injektion   Clindamycin phosphate   
Injektion   Cefazolin sodium 10 mg/ml
25°C
48 Stunde
Licht 418
Evidenzgrad D
Glas 5% Glucose 12 mg/ml
Injektion   Clindamycin phosphate   
Injektion   Cefoperazone sodium 20 mg/ml
25°C
48 Stunde
Licht 644
Evidenzgrad B
Glas 5% Glucose 12 mg/ml
Injektion   Clindamycin phosphate   
Injektion   Cefonicid sodium 10 mg/ml
25°C
48 Stunde
Licht 644
Evidenzgrad B
Glas 5% Glucose 9 mg/ml
Injektion   Clindamycin phosphate   
Injektion   Cefuroxime sodium 15 mg/ml
25°C
48 Stunde
Licht 644
Evidenzgrad B
Glas Ringer Lactat - Lösung 12 mg/ml
Injektion   Clindamycin phosphate   
Injektion   Cefpirome sulfate 50 mg/ml
23°C
8 Stunde
Licht 280
Evidenzgrad B+
Glas 0,45% Natriumchlorid 12 mg/ml
Injektion   Clindamycin phosphate   
Injektion   Cefpirome sulfate 50 mg/ml
23°C
8 Stunde
Licht 280
Evidenzgrad B+
Glas Kein 6 mg/ml
Injektion   Clindamycin phosphate   
Injektion   Ofloxacin 2 mg/ml
25°C
48 Stunde
Nicht genau angegeben 889
Evidenzgrad D
Polyvinylchlorid 0,9% Natriumchlorid 9 mg/ml
Injektion   Clindamycin phosphate   
Injektion   Tobramycin sulfate 1,2 mg/ml
-20°C
28 Tag
Ohne Licht 565
Evidenzgrad D
Polyvinylchlorid 0,9% Natriumchlorid 9 mg/ml
Injektion   Clindamycin phosphate   
Injektion   Gentamicin sulfate 1,2 mg/ml
-20°C
28 Tag
Ohne Licht 565
Evidenzgrad D
Polyvinylchlorid 0,9% Natriumchlorid 3 & 6 mg/ml
Injektion   Clindamycin phosphate   
Injektion   Aztreonam 10 & 20 mg/ml
22°C-23°C
48 Stunde
Nicht genau angegeben 419
Evidenzgrad B+
Polyvinylchlorid 0,9% Natriumchlorid 9 mg/ml
Injektion   Clindamycin phosphate   
Injektion   Cefotaxime sodium 20 mg/ml
24°C
24 Stunde
Licht 421
Joker
Polyvinylchlorid 0,9% Natriumchlorid 9 mg/ml
Injektion   Clindamycin phosphate   
Injektion   Netilmicin sulfate 3 mg/ml
24°C
24 Stunde
Licht 421
Joker
Polyvinylchlorid 0,9% Natriumchlorid 9 mg/ml
Injektion   Clindamycin phosphate   
Injektion   Amikacin sulfate 4 mg/ml
25°C
48 Stunde
Nicht genau angegeben 565
Evidenzgrad D
Polyvinylchlorid 0,9% Natriumchlorid 3 & 6 mg/ml
Injektion   Clindamycin phosphate   
Injektion   Aztreonam 10 & 20 mg/ml
4°C
7 Tag
Ohne Licht 419
Evidenzgrad B+
Polyvinylchlorid 5% Glucose 9 mg/ml
Injektion   Clindamycin phosphate   
Injektion   Tobramycin sulfate 1,2 mg/ml
-20°C
14 Tag
Ohne Licht 565
Evidenzgrad D
Polyvinylchlorid 5% Glucose 9 mg/ml
Injektion   Clindamycin phosphate   
Injektion   Gentamicin sulfate 1,2 mg/ml
-20°C
28 Tag
Ohne Licht 565
Evidenzgrad D
Polyvinylchlorid 5% Glucose 3 & 6 mg/ml
Injektion   Clindamycin phosphate   
Injektion   Aztreonam 10 & 20 mg/ml
22°C-23°C
48 Stunde
Nicht genau angegeben 419
Evidenzgrad B+
Polyvinylchlorid 5% Glucose 9 mg/ml
Injektion   Clindamycin phosphate   
Injektion   Cefotaxime sodium 20 mg/ml
24°C
24 Stunde
Licht 421
Joker
Polyvinylchlorid 5% Glucose 9 mg/ml
Injektion   Clindamycin phosphate   
Injektion   Netilmicin sulfate 3 mg/ml
24°C
24 Stunde
Licht 421
Joker
Polyvinylchlorid 5% Glucose 6 mg/ml
Injektion   Clindamycin phosphate   
Injektion   Gentamicin sulfate 5 mg/ml
25°C
24 Stunde
Licht 423
Evidenzgrad D
Polyvinylchlorid 5% Glucose 9 mg/ml
Injektion   Clindamycin phosphate   
Injektion   Amikacin sulfate 4 mg/ml
25°C
48 Stunde
Nicht genau angegeben 565
Evidenzgrad D
Polyvinylchlorid 5% Glucose 3 & 6 mg/ml
Injektion   Clindamycin phosphate   
Injektion   Aztreonam 10 & 20 mg/ml
4°C
7 Tag
Ohne Licht 419
Evidenzgrad B+
 Spritze Polypropylen 0,9% Natriumchlorid 90 mg/ml
Injektion   Clindamycin phosphate   
Injektion   Gentamicin sulfate 30 mg/ml
22°C-23°C
48 Stunde
Licht 639
Evidenzgrad D
 Spritze Polypropylen 0,9% Natriumchlorid 90 mg/ml
Injektion   Clindamycin phosphate   
Injektion   Amikacin sulfate 190 mg/ml
22°C-23°C
48 Stunde
Licht 639
Evidenzgrad D

  Mentions Légales