Ultimo aggiornamento :
27/04/2026
Antibiotico   Clindamycin phosphate  
Iniezione
Stabilità in soluzione Stabilità in miscela Fattori che influenzano la stabilità Compatibilità metodo di iniezione Bibliografia pdf
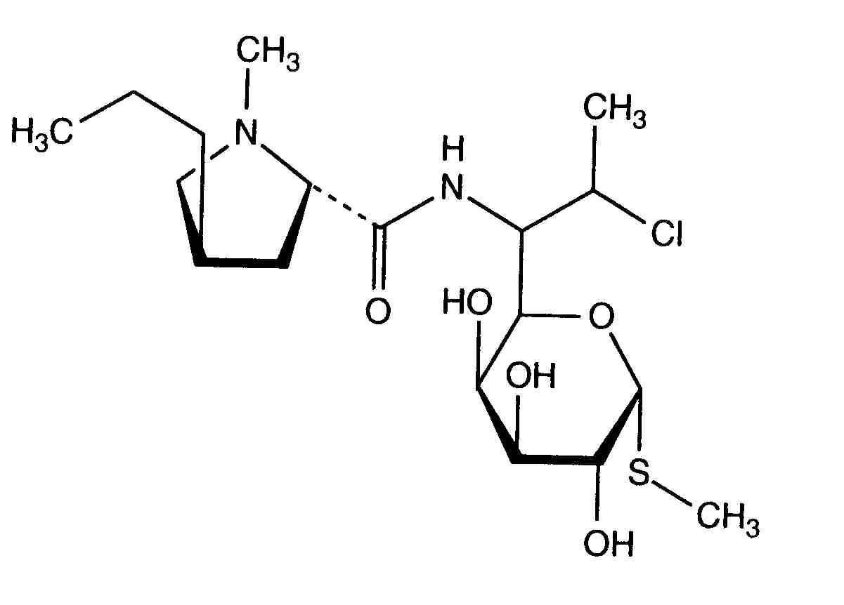
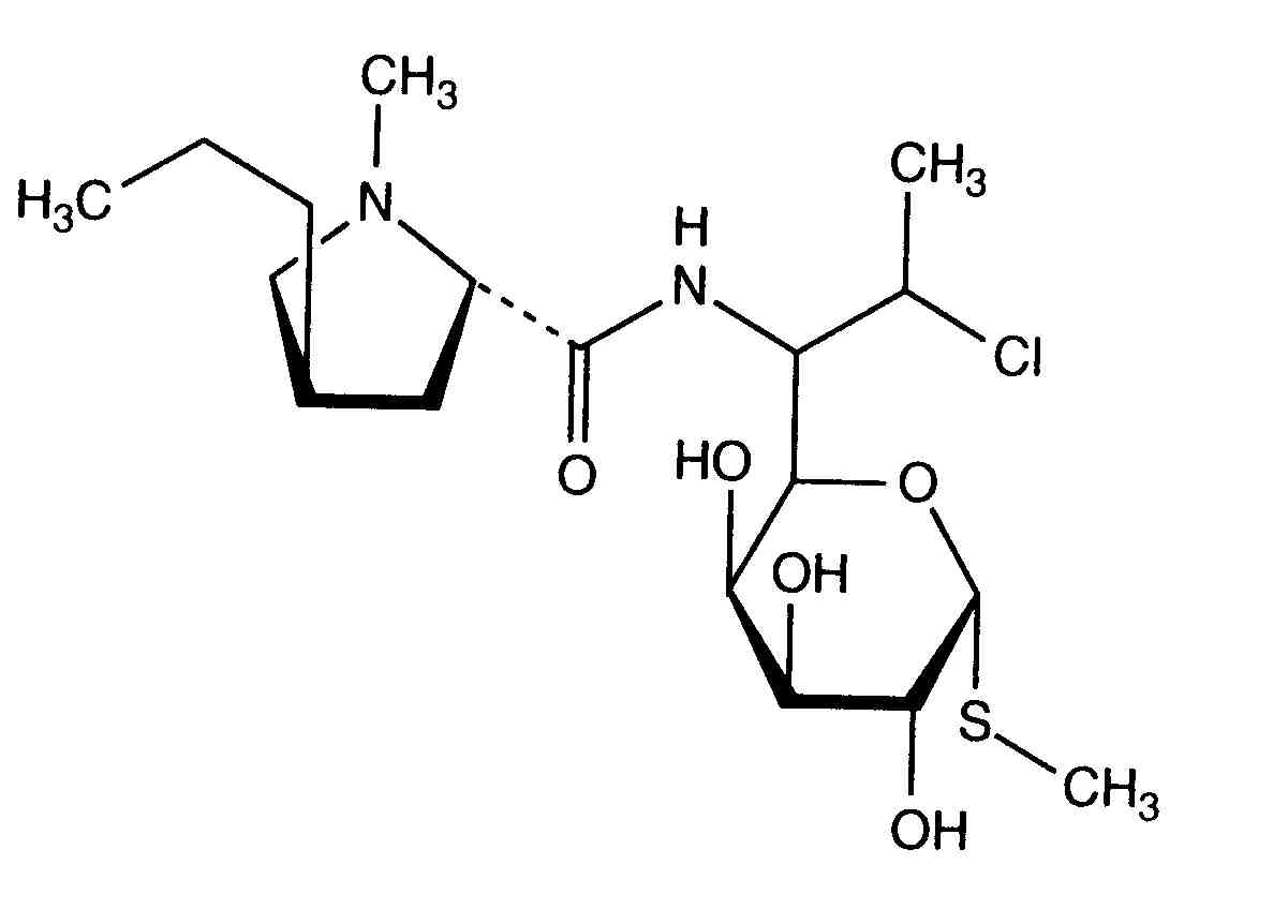
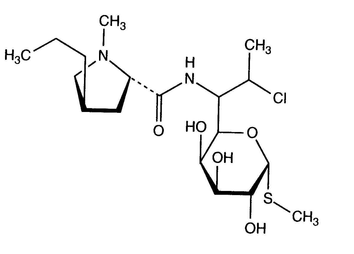
   Struttura chimica  

Nome commerciale   Nome commerciale     

Trade names are indicative and excipients composition can be different depending on the country and manufacturers

Biodaclin Messico
Camyda India
Cinbiot Messico
Cleocin Austria, Stati Uniti d’America, Turchia
Clinamsa Messico
Clinbac Colombia, Perù
Clincina Portogallo
Clinda-Saar Germania
Clindacid Venezuela
Clindacin Malaysia
Clindalaf Argentina
Clindamicina Argentina, Brasile, Chile, Colombia, Ecuador, Italia, Messico, Perù, Portogallo, Spagna, Venezuela
Clindamycin Arabia Saudita, Austria, Canada, Germania, Iran, Norvegia, Romania, Stati Uniti d’America, Svezia
Clindamycin-Hameln Germania
Clindamycine Belgio, Francia, Paesi Bassi, Tunisia
Clindanovag Argentina
Clindarix Brasile
Clindasol Germania
Clindaval Venezuela
Clindazyn Messico
Clindo Polonia
Clysvic Messico
Daclin Chile
Dalacin Arabia Saudita, Australia, Belgio, Canada, Chile, Colombia, Danimarca, Ecuador, Egitto, Emirati Arabi Uniti, Finlandia, Gran Bretagna, Grecia, India, Iran, Irlanda, Islanda, Italia, Lussemburgo, Malaysia, Messico, Norvegia, nuova Zelanda, Paesi Bassi, Polonia, Svezia, Svizzera, Tunisia, Ungheria, Venezuela
Dalacine Francia, Tunisia
Daladic Iran
Dalcinex India
Damclid India
Damicin Colombia, Messico
Damicine Colombia
Dolarclin Colombia
Euroclin Colombia, Ecuador
Gynasafe India
Indamid Messico
Klimicin Polonia
Klindan Turchia
Klindaver Turchia
Lanacine Austria
Lincocin Malaysia
Lincosa Malaysia
Meneklin Turchia
Sobelin Germania
Tidact Malaysia
Stabilità in miscela   Iniezione   Stabilità in miscela : Clindamycin phosphate     
contenitore Solvente Concentrazione Molecola Temperatura Conservazione Durata della stabilità Bibliografia
Vetro Cloruro di sodio 0,9% 12 mg/ml
Iniezione   Clindamycin phosphate   
Iniezione   Cefpirome sulfate 50 mg/ml
23°C
8 Ora
Luce 280
Livello di evidenza B+
Vetro Cloruro di sodio 0,9% 9 mg/ml
Iniezione   Clindamycin phosphate   
Iniezione   Cefotaxime sodium 20 mg/ml
24°C
24 Ora
Luce 421
Joker
Vetro Cloruro di sodio 0,9% 9 mg/ml
Iniezione   Clindamycin phosphate   
Iniezione   Netilmicin sulfate 3 mg/ml
24°C
24 Ora
Luce 421
Joker
Vetro Cloruro di sodio 0,9% 12 mg/ml
Iniezione   Clindamycin phosphate   
Iniezione   Ceftriaxone disodium 20 mg/ml
25°C
8 Ora
Luce 432
Livello di evidenza D
Vetro Cloruro di sodio 0,9% 9 mg/ml
Iniezione   Clindamycin phosphate   
Iniezione   Cefazolin sodium 10 mg/ml
Iniezione   Gentamicin sulfate 0,8 mg/ml
25°C
12 Ora
Luce 695
Joker
Vetro Cloruro di sodio 0,9% 9 mg/ml
Iniezione   Clindamycin phosphate   
Iniezione   Ceftizoxime sodium 20 mg/ml
25°C
24 Ora
Luce 418
Livello di evidenza D
Vetro Cloruro di sodio 0,9% 9 mg/ml
Iniezione   Clindamycin phosphate   
Iniezione   Ceftazidime 20 mg/ml
25°C
48 Ora
Luce 432
Livello di evidenza D
Vetro Cloruro di sodio 0,9% 60 mg/ml
Iniezione   Clindamycin phosphate   
Iniezione   Aztreonam 200 mg/ml
25°C
48 Ora
Luce 644
Livello di evidenza B
Vetro Cloruro di sodio 0,9% 9 mg/ml
Iniezione   Clindamycin phosphate   
Iniezione   Aztreonam 20 mg/ml
25°C
48 Ora
Luce 432
Livello di evidenza D
Vetro Cloruro di sodio 0,9% 9 mg/ml
Iniezione   Clindamycin phosphate   
Iniezione   Piperacillin sodium 40 mg/ml
25°C
48 Ora
Luce 432
Livello di evidenza D
Vetro Cloruro di sodio 0,9% 9 mg/ml
Iniezione   Clindamycin phosphate   
Iniezione   Cefoxitin sodium 20 mg/ml
25°C
48 Ora
Luce 418
Livello di evidenza D
Vetro Cloruro di sodio 0,9% 9 mg/ml
Iniezione   Clindamycin phosphate   
Iniezione   Cefamandole nafate 10 mg/ml
25°C
48 Ora
Luce 418
Livello di evidenza D
Vetro Cloruro di sodio 0,9% 9 mg/ml
Iniezione   Clindamycin phosphate   
Iniezione   Cefazolin sodium 10 mg/ml
25°C
48 Ora
Luce 418
Livello di evidenza D
Vetro Cloruro di sodio 0,9% 12 mg/ml
Iniezione   Clindamycin phosphate   
Iniezione   Cefoperazone sodium 20 mg/ml
25°C
48 Ora
Luce 644
Livello di evidenza B
Vetro Cloruro di sodio 0,9% 12 mg/ml
Iniezione   Clindamycin phosphate   
Iniezione   Cefonicid sodium 10 mg/ml
25°C
48 Ora
Luce 644
Livello di evidenza B
Vetro Cloruro di sodio 0,9% 9 mg/ml
Iniezione   Clindamycin phosphate   
Iniezione   Cefuroxime sodium 15 mg/ml
25°C
48 Ora
Luce 644
Livello di evidenza B
Vetro Glucosio 5% 12 mg/ml
Iniezione   Clindamycin phosphate   
Iniezione   Cefpirome sulfate 50 mg/ml
23°C
8 Ora
Luce 280
Livello di evidenza B+
Vetro Glucosio 5% 9 mg/ml
Iniezione   Clindamycin phosphate   
Iniezione   Cefotaxime sodium 20 mg/ml
24°C
24 Ora
Luce 421
Joker
Vetro Glucosio 5% 9 mg/ml
Iniezione   Clindamycin phosphate   
Iniezione   Netilmicin sulfate 3 mg/ml
24°C
24 Ora
Luce 421
Joker
Vetro Glucosio 5% 12 mg/ml
Iniezione   Clindamycin phosphate   
Iniezione   Ceftriaxone disodium 20 mg/ml
25°C
1 Ora
Luce 432
Livello di evidenza D
Vetro Glucosio 5% 9 mg/ml
Iniezione   Clindamycin phosphate   
Iniezione   Cefazolin sodium 10 mg/ml
Iniezione   Gentamicin sulfate 0,8 mg/ml
25°C
1 Ora
Luce 695
Joker
Vetro Glucosio 5% 9 mg/ml
Iniezione   Clindamycin phosphate   
Iniezione   Ceftazidime 20 mg/ml
25°C
24 Ora
Luce 432
Livello di evidenza D
Vetro Glucosio 5% 9 mg/ml
Iniezione   Clindamycin phosphate   
Iniezione   Ceftizoxime sodium 20 mg/ml
25°C
48 Ora
Luce 418
Livello di evidenza D
Vetro Glucosio 5% 9 mg/ml
Iniezione   Clindamycin phosphate   
Iniezione   Aztreonam 20 mg/ml
25°C
48 Ora
Luce 432
Livello di evidenza D
Vetro Glucosio 5% 9 mg/ml
Iniezione   Clindamycin phosphate   
Iniezione   Piperacillin sodium 40 mg/ml
25°C
48 Ora
Luce 432
Livello di evidenza D
Vetro Glucosio 5% 9 mg/ml
Iniezione   Clindamycin phosphate   
Iniezione   Cefoxitin sodium 20 mg/ml
25°C
48 Ora
Luce 418
Livello di evidenza D
Vetro Glucosio 5% 9 mg/ml
Iniezione   Clindamycin phosphate   
Iniezione   Cefamandole nafate 10 mg/ml
25°C
48 Ora
Luce 418
Livello di evidenza D
Vetro Glucosio 5% 9 mg/ml
Iniezione   Clindamycin phosphate   
Iniezione   Cefazolin sodium 10 mg/ml
25°C
48 Ora
Luce 418
Livello di evidenza D
Vetro Glucosio 5% 12 mg/ml
Iniezione   Clindamycin phosphate   
Iniezione   Cefoperazone sodium 20 mg/ml
25°C
48 Ora
Luce 644
Livello di evidenza B
Vetro Glucosio 5% 12 mg/ml
Iniezione   Clindamycin phosphate   
Iniezione   Cefonicid sodium 10 mg/ml
25°C
48 Ora
Luce 644
Livello di evidenza B
Vetro Glucosio 5% 9 mg/ml
Iniezione   Clindamycin phosphate   
Iniezione   Cefuroxime sodium 15 mg/ml
25°C
48 Ora
Luce 644
Livello di evidenza B
Vetro Ringer lattato 12 mg/ml
Iniezione   Clindamycin phosphate   
Iniezione   Cefpirome sulfate 50 mg/ml
23°C
8 Ora
Luce 280
Livello di evidenza B+
Vetro Cloruro di sodio 0,45% 12 mg/ml
Iniezione   Clindamycin phosphate   
Iniezione   Cefpirome sulfate 50 mg/ml
23°C
8 Ora
Luce 280
Livello di evidenza B+
Vetro Nessuno 6 mg/ml
Iniezione   Clindamycin phosphate   
Iniezione   Ofloxacin 2 mg/ml
25°C
48 Ora
Non precisata 889
Livello di evidenza D
Cloruro di polivinile Cloruro di sodio 0,9% 9 mg/ml
Iniezione   Clindamycin phosphate   
Iniezione   Tobramycin sulfate 1,2 mg/ml
-20°C
28 Giorno
Al riparo dalla luce 565
Livello di evidenza D
Cloruro di polivinile Cloruro di sodio 0,9% 9 mg/ml
Iniezione   Clindamycin phosphate   
Iniezione   Gentamicin sulfate 1,2 mg/ml
-20°C
28 Giorno
Al riparo dalla luce 565
Livello di evidenza D
Cloruro di polivinile Cloruro di sodio 0,9% 3 & 6 mg/ml
Iniezione   Clindamycin phosphate   
Iniezione   Aztreonam 10 & 20 mg/ml
22°C-23°C
48 Ora
Non precisata 419
Livello di evidenza B+
Cloruro di polivinile Cloruro di sodio 0,9% 9 mg/ml
Iniezione   Clindamycin phosphate   
Iniezione   Cefotaxime sodium 20 mg/ml
24°C
24 Ora
Luce 421
Joker
Cloruro di polivinile Cloruro di sodio 0,9% 9 mg/ml
Iniezione   Clindamycin phosphate   
Iniezione   Netilmicin sulfate 3 mg/ml
24°C
24 Ora
Luce 421
Joker
Cloruro di polivinile Cloruro di sodio 0,9% 9 mg/ml
Iniezione   Clindamycin phosphate   
Iniezione   Amikacin sulfate 4 mg/ml
25°C
48 Ora
Non precisata 565
Livello di evidenza D
Cloruro di polivinile Cloruro di sodio 0,9% 3 & 6 mg/ml
Iniezione   Clindamycin phosphate   
Iniezione   Aztreonam 10 & 20 mg/ml
4°C
7 Giorno
Al riparo dalla luce 419
Livello di evidenza B+
Cloruro di polivinile Glucosio 5% 9 mg/ml
Iniezione   Clindamycin phosphate   
Iniezione   Tobramycin sulfate 1,2 mg/ml
-20°C
14 Giorno
Al riparo dalla luce 565
Livello di evidenza D
Cloruro di polivinile Glucosio 5% 9 mg/ml
Iniezione   Clindamycin phosphate   
Iniezione   Gentamicin sulfate 1,2 mg/ml
-20°C
28 Giorno
Al riparo dalla luce 565
Livello di evidenza D
Cloruro di polivinile Glucosio 5% 3 & 6 mg/ml
Iniezione   Clindamycin phosphate   
Iniezione   Aztreonam 10 & 20 mg/ml
22°C-23°C
48 Ora
Non precisata 419
Livello di evidenza B+
Cloruro di polivinile Glucosio 5% 9 mg/ml
Iniezione   Clindamycin phosphate   
Iniezione   Cefotaxime sodium 20 mg/ml
24°C
24 Ora
Luce 421
Joker
Cloruro di polivinile Glucosio 5% 9 mg/ml
Iniezione   Clindamycin phosphate   
Iniezione   Netilmicin sulfate 3 mg/ml
24°C
24 Ora
Luce 421
Joker
Cloruro di polivinile Glucosio 5% 6 mg/ml
Iniezione   Clindamycin phosphate   
Iniezione   Gentamicin sulfate 5 mg/ml
25°C
24 Ora
Luce 423
Livello di evidenza D
Cloruro di polivinile Glucosio 5% 9 mg/ml
Iniezione   Clindamycin phosphate   
Iniezione   Amikacin sulfate 4 mg/ml
25°C
48 Ora
Non precisata 565
Livello di evidenza D
Cloruro di polivinile Glucosio 5% 3 & 6 mg/ml
Iniezione   Clindamycin phosphate   
Iniezione   Aztreonam 10 & 20 mg/ml
4°C
7 Giorno
Al riparo dalla luce 419
Livello di evidenza B+
siringa polipropilene Cloruro di sodio 0,9% 90 mg/ml
Iniezione   Clindamycin phosphate   
Iniezione   Gentamicin sulfate 30 mg/ml
22°C-23°C
48 Ora
Luce 639
Livello di evidenza D
siringa polipropilene Cloruro di sodio 0,9% 90 mg/ml
Iniezione   Clindamycin phosphate   
Iniezione   Amikacin sulfate 190 mg/ml
22°C-23°C
48 Ora
Luce 639
Livello di evidenza D

  Mentions Légales