Utolsó frissítés :
27/04/2026
Antibiotikum   Clindamycin phosphate  
Injekció
Az oldatok stabilitása A keverékek stabilitása Stabilitást befolyásoló tényezők Kompatibilitás Az alkalmazás módja Irodalom pdf
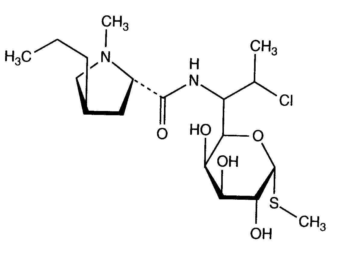
   Kémiai szerkezet   

Kereskedelmi név   Kereskedelmi név     

A kereskedelmi név meghatározó jelentőségű: a készítmények összetétele országonként, előállítóként eltérő lehet

Biodaclin Mexikó
Camyda India
Cinbiot Mexikó
Cleocin Amerikai Egyesült Államok, Ausztria, Törökország
Clinamsa Mexikó
Clinbac Colombia, Peru
Clincina Portugália
Clinda-Saar Németország
Clindacid Venezuela
Clindacin Malaysia
Clindalaf Argentína
Clindamicina Argentína, Brazília, Chile, Colombia, Ecuador, Mexikó, Olaszország, Peru, Portugália, Spanyolország, Venezuela
Clindamycin Amerikai Egyesült Államok, Ausztria, Irán, Kanada, Németország, Norvégia, Románia, Svédország, Szaúd-Arábiában
Clindamycin-Hameln Németország
Clindamycine Belgium, Franciaország, Hollandia, Tunézia
Clindanovag Argentína
Clindarix Brazília
Clindasol Németország
Clindaval Venezuela
Clindazyn Mexikó
Clindo Lengyelország
Clysvic Mexikó
Daclin Chile
Dalacin Ausztrália, Belgium, Chile, Colombia, Dánia, Ecuador, Egyesült Arab Emírségek, Egyiptom, Finnország, Görögország, Hollandia, India, Irán, Írország, Izland, Kanada, Lengyelország, Luxemburg, Magyarország, Malaysia, Mexikó, Nagy-Britannia, Norvégia, Olaszország, Svájc, Svédország, Szaúd-Arábiában, Tunézia, új-Zéland, Venezuela
Dalacine Franciaország, Tunézia
Daladic Irán
Dalcinex India
Damclid India
Damicin Colombia, Mexikó
Damicine Colombia
Dolarclin Colombia
Euroclin Colombia, Ecuador
Gynasafe India
Indamid Mexikó
Klimicin Lengyelország
Klindan Törökország
Klindaver Törökország
Lanacine Ausztria
Lincocin Malaysia
Lincosa Malaysia
Meneklin Törökország
Sobelin Németország
Tidact Malaysia
A keverékek stabilitása   Injekció   A keverékek stabilitása : Clindamycin phosphate     
Csomagolás Oldószer Koncentráció Vegyület Hőmérséklet Tárolás A stabilitás időtartama Irodalom
Üveg 0,9% nátrium-klorid 12 mg/ml
Injekció   Clindamycin phosphate   
Injekció   Cefpirome sulfate 50 mg/ml
23°C
8 Óra
Fény 280
Szintű bizonyítékot B+
Üveg 0,9% nátrium-klorid 9 mg/ml
Injekció   Clindamycin phosphate   
Injekció   Cefotaxime sodium 20 mg/ml
24°C
24 Óra
Fény 421
tréfacsináló
Üveg 0,9% nátrium-klorid 9 mg/ml
Injekció   Clindamycin phosphate   
Injekció   Netilmicin sulfate 3 mg/ml
24°C
24 Óra
Fény 421
tréfacsináló
Üveg 0,9% nátrium-klorid 12 mg/ml
Injekció   Clindamycin phosphate   
Injekció   Ceftriaxone disodium 20 mg/ml
25°C
8 Óra
Fény 432
Szintű bizonyítékot D
Üveg 0,9% nátrium-klorid 9 mg/ml
Injekció   Clindamycin phosphate   
Injekció   Cefazolin sodium 10 mg/ml
Injekció   Gentamicin sulfate 0,8 mg/ml
25°C
12 Óra
Fény 695
tréfacsináló
Üveg 0,9% nátrium-klorid 9 mg/ml
Injekció   Clindamycin phosphate   
Injekció   Ceftizoxime sodium 20 mg/ml
25°C
24 Óra
Fény 418
Szintű bizonyítékot D
Üveg 0,9% nátrium-klorid 9 mg/ml
Injekció   Clindamycin phosphate   
Injekció   Ceftazidime 20 mg/ml
25°C
48 Óra
Fény 432
Szintű bizonyítékot D
Üveg 0,9% nátrium-klorid 60 mg/ml
Injekció   Clindamycin phosphate   
Injekció   Aztreonam 200 mg/ml
25°C
48 Óra
Fény 644
Szintű bizonyítékot B
Üveg 0,9% nátrium-klorid 9 mg/ml
Injekció   Clindamycin phosphate   
Injekció   Aztreonam 20 mg/ml
25°C
48 Óra
Fény 432
Szintű bizonyítékot D
Üveg 0,9% nátrium-klorid 9 mg/ml
Injekció   Clindamycin phosphate   
Injekció   Piperacillin sodium 40 mg/ml
25°C
48 Óra
Fény 432
Szintű bizonyítékot D
Üveg 0,9% nátrium-klorid 9 mg/ml
Injekció   Clindamycin phosphate   
Injekció   Cefoxitin sodium 20 mg/ml
25°C
48 Óra
Fény 418
Szintű bizonyítékot D
Üveg 0,9% nátrium-klorid 9 mg/ml
Injekció   Clindamycin phosphate   
Injekció   Cefamandole nafate 10 mg/ml
25°C
48 Óra
Fény 418
Szintű bizonyítékot D
Üveg 0,9% nátrium-klorid 9 mg/ml
Injekció   Clindamycin phosphate   
Injekció   Cefazolin sodium 10 mg/ml
25°C
48 Óra
Fény 418
Szintű bizonyítékot D
Üveg 0,9% nátrium-klorid 12 mg/ml
Injekció   Clindamycin phosphate   
Injekció   Cefoperazone sodium 20 mg/ml
25°C
48 Óra
Fény 644
Szintű bizonyítékot B
Üveg 0,9% nátrium-klorid 12 mg/ml
Injekció   Clindamycin phosphate   
Injekció   Cefonicid sodium 10 mg/ml
25°C
48 Óra
Fény 644
Szintű bizonyítékot B
Üveg 0,9% nátrium-klorid 9 mg/ml
Injekció   Clindamycin phosphate   
Injekció   Cefuroxime sodium 15 mg/ml
25°C
48 Óra
Fény 644
Szintű bizonyítékot B
Üveg 5% glükóz 12 mg/ml
Injekció   Clindamycin phosphate   
Injekció   Cefpirome sulfate 50 mg/ml
23°C
8 Óra
Fény 280
Szintű bizonyítékot B+
Üveg 5% glükóz 9 mg/ml
Injekció   Clindamycin phosphate   
Injekció   Cefotaxime sodium 20 mg/ml
24°C
24 Óra
Fény 421
tréfacsináló
Üveg 5% glükóz 9 mg/ml
Injekció   Clindamycin phosphate   
Injekció   Netilmicin sulfate 3 mg/ml
24°C
24 Óra
Fény 421
tréfacsináló
Üveg 5% glükóz 12 mg/ml
Injekció   Clindamycin phosphate   
Injekció   Ceftriaxone disodium 20 mg/ml
25°C
1 Óra
Fény 432
Szintű bizonyítékot D
Üveg 5% glükóz 9 mg/ml
Injekció   Clindamycin phosphate   
Injekció   Cefazolin sodium 10 mg/ml
Injekció   Gentamicin sulfate 0,8 mg/ml
25°C
1 Óra
Fény 695
tréfacsináló
Üveg 5% glükóz 9 mg/ml
Injekció   Clindamycin phosphate   
Injekció   Ceftazidime 20 mg/ml
25°C
24 Óra
Fény 432
Szintű bizonyítékot D
Üveg 5% glükóz 9 mg/ml
Injekció   Clindamycin phosphate   
Injekció   Ceftizoxime sodium 20 mg/ml
25°C
48 Óra
Fény 418
Szintű bizonyítékot D
Üveg 5% glükóz 9 mg/ml
Injekció   Clindamycin phosphate   
Injekció   Aztreonam 20 mg/ml
25°C
48 Óra
Fény 432
Szintű bizonyítékot D
Üveg 5% glükóz 9 mg/ml
Injekció   Clindamycin phosphate   
Injekció   Piperacillin sodium 40 mg/ml
25°C
48 Óra
Fény 432
Szintű bizonyítékot D
Üveg 5% glükóz 9 mg/ml
Injekció   Clindamycin phosphate   
Injekció   Cefoxitin sodium 20 mg/ml
25°C
48 Óra
Fény 418
Szintű bizonyítékot D
Üveg 5% glükóz 9 mg/ml
Injekció   Clindamycin phosphate   
Injekció   Cefamandole nafate 10 mg/ml
25°C
48 Óra
Fény 418
Szintű bizonyítékot D
Üveg 5% glükóz 9 mg/ml
Injekció   Clindamycin phosphate   
Injekció   Cefazolin sodium 10 mg/ml
25°C
48 Óra
Fény 418
Szintű bizonyítékot D
Üveg 5% glükóz 12 mg/ml
Injekció   Clindamycin phosphate   
Injekció   Cefoperazone sodium 20 mg/ml
25°C
48 Óra
Fény 644
Szintű bizonyítékot B
Üveg 5% glükóz 12 mg/ml
Injekció   Clindamycin phosphate   
Injekció   Cefonicid sodium 10 mg/ml
25°C
48 Óra
Fény 644
Szintű bizonyítékot B
Üveg 5% glükóz 9 mg/ml
Injekció   Clindamycin phosphate   
Injekció   Cefuroxime sodium 15 mg/ml
25°C
48 Óra
Fény 644
Szintű bizonyítékot B
Üveg Ringer-laktát oldat 12 mg/ml
Injekció   Clindamycin phosphate   
Injekció   Cefpirome sulfate 50 mg/ml
23°C
8 Óra
Fény 280
Szintű bizonyítékot B+
Üveg 0,45% nátrium-klorid 12 mg/ml
Injekció   Clindamycin phosphate   
Injekció   Cefpirome sulfate 50 mg/ml
23°C
8 Óra
Fény 280
Szintű bizonyítékot B+
Üveg Egy sem 6 mg/ml
Injekció   Clindamycin phosphate   
Injekció   Ofloxacin 2 mg/ml
25°C
48 Óra
Nincs meghatározva 889
Szintű bizonyítékot D
Poli(vinilklorid) 0,9% nátrium-klorid 9 mg/ml
Injekció   Clindamycin phosphate   
Injekció   Tobramycin sulfate 1,2 mg/ml
-20°C
28 Nap
Fénytől védve tartandó 565
Szintű bizonyítékot D
Poli(vinilklorid) 0,9% nátrium-klorid 9 mg/ml
Injekció   Clindamycin phosphate   
Injekció   Gentamicin sulfate 1,2 mg/ml
-20°C
28 Nap
Fénytől védve tartandó 565
Szintű bizonyítékot D
Poli(vinilklorid) 0,9% nátrium-klorid 3 & 6 mg/ml
Injekció   Clindamycin phosphate   
Injekció   Aztreonam 10 & 20 mg/ml
22°C-23°C
48 Óra
Nincs meghatározva 419
Szintű bizonyítékot B+
Poli(vinilklorid) 0,9% nátrium-klorid 9 mg/ml
Injekció   Clindamycin phosphate   
Injekció   Cefotaxime sodium 20 mg/ml
24°C
24 Óra
Fény 421
tréfacsináló
Poli(vinilklorid) 0,9% nátrium-klorid 9 mg/ml
Injekció   Clindamycin phosphate   
Injekció   Netilmicin sulfate 3 mg/ml
24°C
24 Óra
Fény 421
tréfacsináló
Poli(vinilklorid) 0,9% nátrium-klorid 9 mg/ml
Injekció   Clindamycin phosphate   
Injekció   Amikacin sulfate 4 mg/ml
25°C
48 Óra
Nincs meghatározva 565
Szintű bizonyítékot D
Poli(vinilklorid) 0,9% nátrium-klorid 3 & 6 mg/ml
Injekció   Clindamycin phosphate   
Injekció   Aztreonam 10 & 20 mg/ml
4°C
7 Nap
Fénytől védve tartandó 419
Szintű bizonyítékot B+
Poli(vinilklorid) 5% glükóz 9 mg/ml
Injekció   Clindamycin phosphate   
Injekció   Tobramycin sulfate 1,2 mg/ml
-20°C
14 Nap
Fénytől védve tartandó 565
Szintű bizonyítékot D
Poli(vinilklorid) 5% glükóz 9 mg/ml
Injekció   Clindamycin phosphate   
Injekció   Gentamicin sulfate 1,2 mg/ml
-20°C
28 Nap
Fénytől védve tartandó 565
Szintű bizonyítékot D
Poli(vinilklorid) 5% glükóz 3 & 6 mg/ml
Injekció   Clindamycin phosphate   
Injekció   Aztreonam 10 & 20 mg/ml
22°C-23°C
48 Óra
Nincs meghatározva 419
Szintű bizonyítékot B+
Poli(vinilklorid) 5% glükóz 9 mg/ml
Injekció   Clindamycin phosphate   
Injekció   Cefotaxime sodium 20 mg/ml
24°C
24 Óra
Fény 421
tréfacsináló
Poli(vinilklorid) 5% glükóz 9 mg/ml
Injekció   Clindamycin phosphate   
Injekció   Netilmicin sulfate 3 mg/ml
24°C
24 Óra
Fény 421
tréfacsináló
Poli(vinilklorid) 5% glükóz 6 mg/ml
Injekció   Clindamycin phosphate   
Injekció   Gentamicin sulfate 5 mg/ml
25°C
24 Óra
Fény 423
Szintű bizonyítékot D
Poli(vinilklorid) 5% glükóz 9 mg/ml
Injekció   Clindamycin phosphate   
Injekció   Amikacin sulfate 4 mg/ml
25°C
48 Óra
Nincs meghatározva 565
Szintű bizonyítékot D
Poli(vinilklorid) 5% glükóz 3 & 6 mg/ml
Injekció   Clindamycin phosphate   
Injekció   Aztreonam 10 & 20 mg/ml
4°C
7 Nap
Fénytől védve tartandó 419
Szintű bizonyítékot B+
fecskendő polipropilén 0,9% nátrium-klorid 90 mg/ml
Injekció   Clindamycin phosphate   
Injekció   Gentamicin sulfate 30 mg/ml
22°C-23°C
48 Óra
Fény 639
Szintű bizonyítékot D
fecskendő polipropilén 0,9% nátrium-klorid 90 mg/ml
Injekció   Clindamycin phosphate   
Injekció   Amikacin sulfate 190 mg/ml
22°C-23°C
48 Óra
Fény 639
Szintű bizonyítékot D

  Mentions Légales