Poslední aktualizace :
27/04/2026
Antibiotikas   Clindamycin phosphate  
Įpurškimas
Tirpalų stabilumas Mišinių stabilumas Stabilumą lemiantys veiksniai Suderinamumas Leidimo būdai Bibliografija pdf
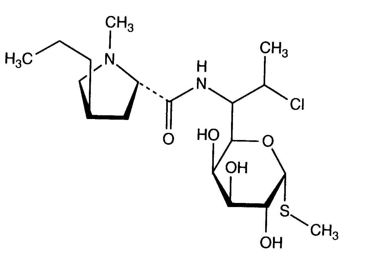
   Cheminė sandara  

Prekinis pavadinimas   Prekinis pavadinimas     

Trade names are indicative and excipients composition can be different depending on the country and manufacturers

Biodaclin Meksikas
Camyda Indija
Cinbiot Meksikas
Cleocin Austrija, Jungtinės Amerikos Valstijos, Turkija
Clinamsa Meksikas
Clinbac Kolumbija, Peru
Clincina Portugalija
Clinda-Saar Vokietija
Clindacid Venesuela
Clindacin Malaizija
Clindalaf Argentina
Clindamicina Argentina, Brazilija, Čilė, Ekvadoras, Ispanija, Italija, Kolumbija, Meksikas, Peru, Portugalija, Venesuela
Clindamycin Austrija, Iranas, Jungtinės Amerikos Valstijos, Kanada, Norvegija, Rumunija, Saudo Arabija, Švedija, Vokietija
Clindamycin-Hameln Vokietija
Clindamycine Belgija, Olandija, Prancūzija, Tunisas
Clindanovag Argentina
Clindarix Brazilija
Clindasol Vokietija
Clindaval Venesuela
Clindazyn Meksikas
Clindo Lenkija
Clysvic Meksikas
Daclin Čilė
Dalacin Airija, Australija, Belgija, Čilė, Danija, Didžioji Britanija, Egiptas, Ekvadoras, Graikija, Indija, Iranas, Islandija, Italija, Jungtiniai Arabų Emyratai, Kanada, Kolumbija, Lenkija, Liuksemburgas, Malaizija, Meksikas, Naujojoje Zelandijoje, Norvegija, Olandija, Saudo Arabija, Suomija, Švedija, Šveicarija, Tunisas, Venesuela, Vengrija
Dalacine Prancūzija, Tunisas
Daladic Iranas
Dalcinex Indija
Damclid Indija
Damicin Kolumbija, Meksikas
Damicine Kolumbija
Dolarclin Kolumbija
Euroclin Ekvadoras, Kolumbija
Gynasafe Indija
Indamid Meksikas
Klimicin Lenkija
Klindan Turkija
Klindaver Turkija
Lanacine Austrija
Lincocin Malaizija
Lincosa Malaizija
Meneklin Turkija
Sobelin Vokietija
Tidact Malaizija
Mišinių stabilumas   Įpurškimas   Mišinių stabilumas : Clindamycin phosphate     
Pakuotė Tirpiklis Koncentracija Molekulė Temperatūra Laikymas Stabilumo trukmė Nuorodos
Stiklas Natrio chloridas 0,9% 12 mg/ml
Įpurškimas   Clindamycin phosphate   
Įpurškimas   Cefpirome sulfate 50 mg/ml
23°C
8 Valanda
Šviesa 280
Bandymo lygis B+
Stiklas Natrio chloridas 0,9% 9 mg/ml
Įpurškimas   Clindamycin phosphate   
Įpurškimas   Cefotaxime sodium 20 mg/ml
24°C
24 Valanda
Šviesa 421
Joker
Stiklas Natrio chloridas 0,9% 9 mg/ml
Įpurškimas   Clindamycin phosphate   
Įpurškimas   Netilmicin sulfate 3 mg/ml
24°C
24 Valanda
Šviesa 421
Joker
Stiklas Natrio chloridas 0,9% 12 mg/ml
Įpurškimas   Clindamycin phosphate   
Įpurškimas   Ceftriaxone disodium 20 mg/ml
25°C
8 Valanda
Šviesa 432
Bandymo lygis D
Stiklas Natrio chloridas 0,9% 9 mg/ml
Įpurškimas   Clindamycin phosphate   
Įpurškimas   Cefazolin sodium 10 mg/ml
Įpurškimas   Gentamicin sulfate 0,8 mg/ml
25°C
12 Valanda
Šviesa 695
Joker
Stiklas Natrio chloridas 0,9% 9 mg/ml
Įpurškimas   Clindamycin phosphate   
Įpurškimas   Ceftizoxime sodium 20 mg/ml
25°C
24 Valanda
Šviesa 418
Bandymo lygis D
Stiklas Natrio chloridas 0,9% 9 mg/ml
Įpurškimas   Clindamycin phosphate   
Įpurškimas   Ceftazidime 20 mg/ml
25°C
48 Valanda
Šviesa 432
Bandymo lygis D
Stiklas Natrio chloridas 0,9% 60 mg/ml
Įpurškimas   Clindamycin phosphate   
Įpurškimas   Aztreonam 200 mg/ml
25°C
48 Valanda
Šviesa 644
Bandymo lygis B
Stiklas Natrio chloridas 0,9% 9 mg/ml
Įpurškimas   Clindamycin phosphate   
Įpurškimas   Aztreonam 20 mg/ml
25°C
48 Valanda
Šviesa 432
Bandymo lygis D
Stiklas Natrio chloridas 0,9% 9 mg/ml
Įpurškimas   Clindamycin phosphate   
Įpurškimas   Piperacillin sodium 40 mg/ml
25°C
48 Valanda
Šviesa 432
Bandymo lygis D
Stiklas Natrio chloridas 0,9% 9 mg/ml
Įpurškimas   Clindamycin phosphate   
Įpurškimas   Cefoxitin sodium 20 mg/ml
25°C
48 Valanda
Šviesa 418
Bandymo lygis D
Stiklas Natrio chloridas 0,9% 9 mg/ml
Įpurškimas   Clindamycin phosphate   
Įpurškimas   Cefamandole nafate 10 mg/ml
25°C
48 Valanda
Šviesa 418
Bandymo lygis D
Stiklas Natrio chloridas 0,9% 9 mg/ml
Įpurškimas   Clindamycin phosphate   
Įpurškimas   Cefazolin sodium 10 mg/ml
25°C
48 Valanda
Šviesa 418
Bandymo lygis D
Stiklas Natrio chloridas 0,9% 12 mg/ml
Įpurškimas   Clindamycin phosphate   
Įpurškimas   Cefoperazone sodium 20 mg/ml
25°C
48 Valanda
Šviesa 644
Bandymo lygis B
Stiklas Natrio chloridas 0,9% 12 mg/ml
Įpurškimas   Clindamycin phosphate   
Įpurškimas   Cefonicid sodium 10 mg/ml
25°C
48 Valanda
Šviesa 644
Bandymo lygis B
Stiklas Natrio chloridas 0,9% 9 mg/ml
Įpurškimas   Clindamycin phosphate   
Įpurškimas   Cefuroxime sodium 15 mg/ml
25°C
48 Valanda
Šviesa 644
Bandymo lygis B
Stiklas Gliukozė 5% 12 mg/ml
Įpurškimas   Clindamycin phosphate   
Įpurškimas   Cefpirome sulfate 50 mg/ml
23°C
8 Valanda
Šviesa 280
Bandymo lygis B+
Stiklas Gliukozė 5% 9 mg/ml
Įpurškimas   Clindamycin phosphate   
Įpurškimas   Cefotaxime sodium 20 mg/ml
24°C
24 Valanda
Šviesa 421
Joker
Stiklas Gliukozė 5% 9 mg/ml
Įpurškimas   Clindamycin phosphate   
Įpurškimas   Netilmicin sulfate 3 mg/ml
24°C
24 Valanda
Šviesa 421
Joker
Stiklas Gliukozė 5% 12 mg/ml
Įpurškimas   Clindamycin phosphate   
Įpurškimas   Ceftriaxone disodium 20 mg/ml
25°C
1 Valanda
Šviesa 432
Bandymo lygis D
Stiklas Gliukozė 5% 9 mg/ml
Įpurškimas   Clindamycin phosphate   
Įpurškimas   Cefazolin sodium 10 mg/ml
Įpurškimas   Gentamicin sulfate 0,8 mg/ml
25°C
1 Valanda
Šviesa 695
Joker
Stiklas Gliukozė 5% 9 mg/ml
Įpurškimas   Clindamycin phosphate   
Įpurškimas   Ceftazidime 20 mg/ml
25°C
24 Valanda
Šviesa 432
Bandymo lygis D
Stiklas Gliukozė 5% 9 mg/ml
Įpurškimas   Clindamycin phosphate   
Įpurškimas   Ceftizoxime sodium 20 mg/ml
25°C
48 Valanda
Šviesa 418
Bandymo lygis D
Stiklas Gliukozė 5% 9 mg/ml
Įpurškimas   Clindamycin phosphate   
Įpurškimas   Aztreonam 20 mg/ml
25°C
48 Valanda
Šviesa 432
Bandymo lygis D
Stiklas Gliukozė 5% 9 mg/ml
Įpurškimas   Clindamycin phosphate   
Įpurškimas   Piperacillin sodium 40 mg/ml
25°C
48 Valanda
Šviesa 432
Bandymo lygis D
Stiklas Gliukozė 5% 9 mg/ml
Įpurškimas   Clindamycin phosphate   
Įpurškimas   Cefoxitin sodium 20 mg/ml
25°C
48 Valanda
Šviesa 418
Bandymo lygis D
Stiklas Gliukozė 5% 9 mg/ml
Įpurškimas   Clindamycin phosphate   
Įpurškimas   Cefamandole nafate 10 mg/ml
25°C
48 Valanda
Šviesa 418
Bandymo lygis D
Stiklas Gliukozė 5% 9 mg/ml
Įpurškimas   Clindamycin phosphate   
Įpurškimas   Cefazolin sodium 10 mg/ml
25°C
48 Valanda
Šviesa 418
Bandymo lygis D
Stiklas Gliukozė 5% 12 mg/ml
Įpurškimas   Clindamycin phosphate   
Įpurškimas   Cefoperazone sodium 20 mg/ml
25°C
48 Valanda
Šviesa 644
Bandymo lygis B
Stiklas Gliukozė 5% 12 mg/ml
Įpurškimas   Clindamycin phosphate   
Įpurškimas   Cefonicid sodium 10 mg/ml
25°C
48 Valanda
Šviesa 644
Bandymo lygis B
Stiklas Gliukozė 5% 9 mg/ml
Įpurškimas   Clindamycin phosphate   
Įpurškimas   Cefuroxime sodium 15 mg/ml
25°C
48 Valanda
Šviesa 644
Bandymo lygis B
Stiklas Ringerio laktato tirpalas 12 mg/ml
Įpurškimas   Clindamycin phosphate   
Įpurškimas   Cefpirome sulfate 50 mg/ml
23°C
8 Valanda
Šviesa 280
Bandymo lygis B+
Stiklas Natrio chloridas 0,45% 12 mg/ml
Įpurškimas   Clindamycin phosphate   
Įpurškimas   Cefpirome sulfate 50 mg/ml
23°C
8 Valanda
Šviesa 280
Bandymo lygis B+
Stiklas Nėra 6 mg/ml
Įpurškimas   Clindamycin phosphate   
Įpurškimas   Ofloxacin 2 mg/ml
25°C
48 Valanda
Nenurodyta 889
Bandymo lygis D
Polivinilchloridas Natrio chloridas 0,9% 9 mg/ml
Įpurškimas   Clindamycin phosphate   
Įpurškimas   Tobramycin sulfate 1,2 mg/ml
-20°C
28 Diena
Apsaugotas nuo šviesos 565
Bandymo lygis D
Polivinilchloridas Natrio chloridas 0,9% 9 mg/ml
Įpurškimas   Clindamycin phosphate   
Įpurškimas   Gentamicin sulfate 1,2 mg/ml
-20°C
28 Diena
Apsaugotas nuo šviesos 565
Bandymo lygis D
Polivinilchloridas Natrio chloridas 0,9% 3 & 6 mg/ml
Įpurškimas   Clindamycin phosphate   
Įpurškimas   Aztreonam 10 & 20 mg/ml
22°C-23°C
48 Valanda
Nenurodyta 419
Bandymo lygis B+
Polivinilchloridas Natrio chloridas 0,9% 9 mg/ml
Įpurškimas   Clindamycin phosphate   
Įpurškimas   Cefotaxime sodium 20 mg/ml
24°C
24 Valanda
Šviesa 421
Joker
Polivinilchloridas Natrio chloridas 0,9% 9 mg/ml
Įpurškimas   Clindamycin phosphate   
Įpurškimas   Netilmicin sulfate 3 mg/ml
24°C
24 Valanda
Šviesa 421
Joker
Polivinilchloridas Natrio chloridas 0,9% 9 mg/ml
Įpurškimas   Clindamycin phosphate   
Įpurškimas   Amikacin sulfate 4 mg/ml
25°C
48 Valanda
Nenurodyta 565
Bandymo lygis D
Polivinilchloridas Natrio chloridas 0,9% 3 & 6 mg/ml
Įpurškimas   Clindamycin phosphate   
Įpurškimas   Aztreonam 10 & 20 mg/ml
4°C
7 Diena
Apsaugotas nuo šviesos 419
Bandymo lygis B+
Polivinilchloridas Gliukozė 5% 9 mg/ml
Įpurškimas   Clindamycin phosphate   
Įpurškimas   Tobramycin sulfate 1,2 mg/ml
-20°C
14 Diena
Apsaugotas nuo šviesos 565
Bandymo lygis D
Polivinilchloridas Gliukozė 5% 9 mg/ml
Įpurškimas   Clindamycin phosphate   
Įpurškimas   Gentamicin sulfate 1,2 mg/ml
-20°C
28 Diena
Apsaugotas nuo šviesos 565
Bandymo lygis D
Polivinilchloridas Gliukozė 5% 3 & 6 mg/ml
Įpurškimas   Clindamycin phosphate   
Įpurškimas   Aztreonam 10 & 20 mg/ml
22°C-23°C
48 Valanda
Nenurodyta 419
Bandymo lygis B+
Polivinilchloridas Gliukozė 5% 9 mg/ml
Įpurškimas   Clindamycin phosphate   
Įpurškimas   Cefotaxime sodium 20 mg/ml
24°C
24 Valanda
Šviesa 421
Joker
Polivinilchloridas Gliukozė 5% 9 mg/ml
Įpurškimas   Clindamycin phosphate   
Įpurškimas   Netilmicin sulfate 3 mg/ml
24°C
24 Valanda
Šviesa 421
Joker
Polivinilchloridas Gliukozė 5% 6 mg/ml
Įpurškimas   Clindamycin phosphate   
Įpurškimas   Gentamicin sulfate 5 mg/ml
25°C
24 Valanda
Šviesa 423
Bandymo lygis D
Polivinilchloridas Gliukozė 5% 9 mg/ml
Įpurškimas   Clindamycin phosphate   
Įpurškimas   Amikacin sulfate 4 mg/ml
25°C
48 Valanda
Nenurodyta 565
Bandymo lygis D
Polivinilchloridas Gliukozė 5% 3 & 6 mg/ml
Įpurškimas   Clindamycin phosphate   
Įpurškimas   Aztreonam 10 & 20 mg/ml
4°C
7 Diena
Apsaugotas nuo šviesos 419
Bandymo lygis B+
Švirkštas polipropileno Natrio chloridas 0,9% 90 mg/ml
Įpurškimas   Clindamycin phosphate   
Įpurškimas   Gentamicin sulfate 30 mg/ml
22°C-23°C
48 Valanda
Šviesa 639
Bandymo lygis D
Švirkštas polipropileno Natrio chloridas 0,9% 90 mg/ml
Įpurškimas   Clindamycin phosphate   
Įpurškimas   Amikacin sulfate 190 mg/ml
22°C-23°C
48 Valanda
Šviesa 639
Bandymo lygis D

  Mentions Légales