Останнє оновлення :
27/04/2026
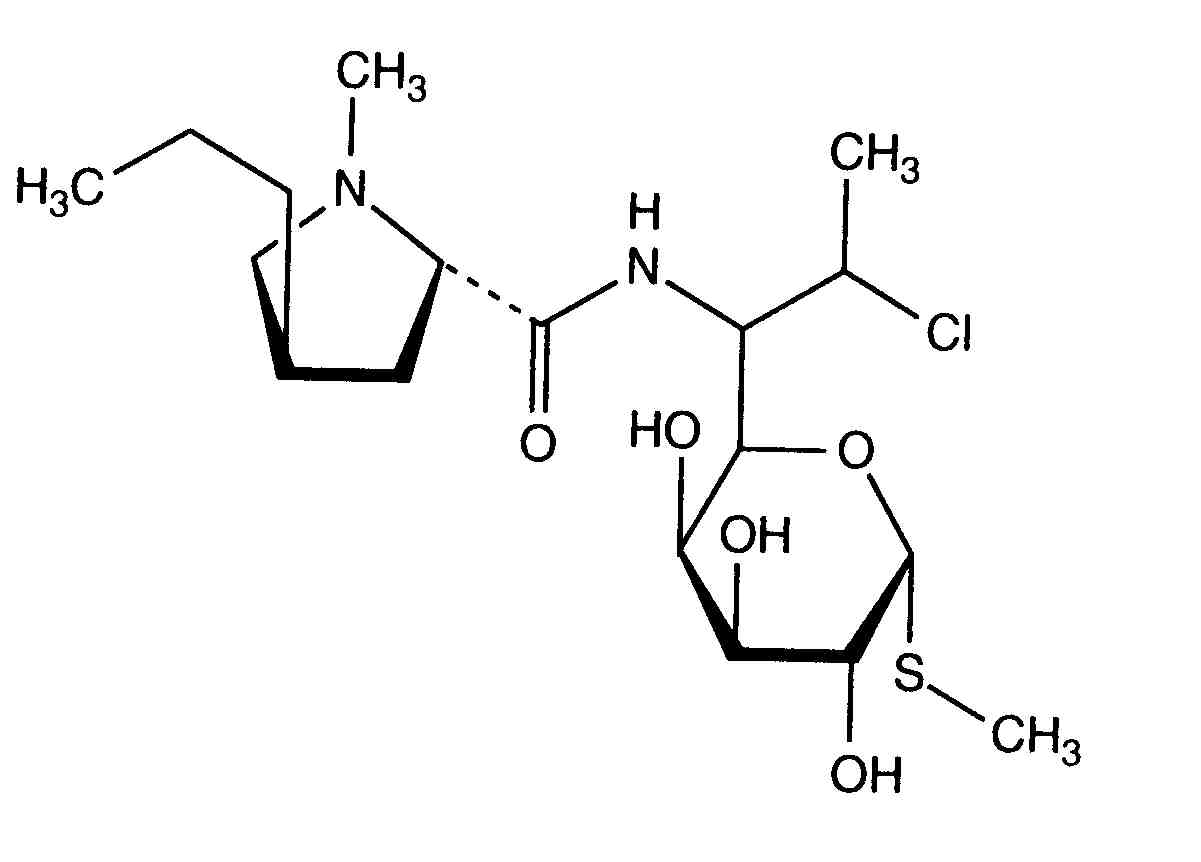
Антибіотик   Clindamycin phosphate  
ін'єкція
Стійкість в розчинах Стійкість сумішей Фактори, що впливають на стабільність Сумісність Шлях введення Список літератури pdf
   Хімічна структура  

Торгова назва   Торгова назва     

Торгові назви є орієнтовними, а склад допоміжних речовин може бути різним залежно від країни та виробника

Biodaclin Мексика
Camyda Індія
Cinbiot Мексика
Cleocin Австрія, Сполучені Штати Америки, Туреччина
Clinamsa Мексика
Clinbac Колумбія, Перу
Clincina Португалія
Clinda-Saar Німеччина
Clindacid Венесуела
Clindacin Малайзія
Clindalaf Аргентина
Clindamicina Іспанія, Італія, Аргентина, Бразилія, Венесуела, Еквадор, Колумбія, Мексика, Перу, Португалія, Чилі
Clindamycin Іран, Австрія, Канада, Німеччина, Норвегія, Румунія, Саудівська Аравія, Сполучені Штати Америки, Швеція
Clindamycin-Hameln Німеччина
Clindamycine Бельгія, Нідерланди, Туніс, Франція
Clindanovag Аргентина
Clindarix Бразилія
Clindasol Німеччина
Clindaval Венесуела
Clindazyn Мексика
Clindo Польща
Clysvic Мексика
Daclin Чилі
Dalacin Єгипет, Індія, Іран, Ірландія, Ісландія, Італія, Австралія, Бельгія, Великобританія, Венесуела, Греція, Данія, Еквадор, Канада, Колумбія, Люксембург, Малайзія, Мексика, Нідерланди, Нова Зеландія, Норвегія, Об'єднані Арабські Емірати, Польща, Саудівська Аравія, Туніс, Угорщина, Фінляндія, Чилі, Швейцарія, Швеція
Dalacine Туніс, Франція
Daladic Іран
Dalcinex Індія
Damclid Індія
Damicin Колумбія, Мексика
Damicine Колумбія
Dolarclin Колумбія
Euroclin Еквадор, Колумбія
Gynasafe Індія
Indamid Мексика
Klimicin Польща
Klindan Туреччина
Klindaver Туреччина
Lanacine Австрія
Lincocin Малайзія
Lincosa Малайзія
Meneklin Туреччина
Sobelin Німеччина
Tidact Малайзія
Стійкість сумішей   ін'єкція   Стійкість сумішей : Clindamycin phosphate     
Контейнер Розчинник Концентрація З'єднання температура Зберігання Тривалість стабільності Список літератури
скло Натрію хлорид 0,9% 12 mg/ml
ін'єкція   Clindamycin phosphate   
ін'єкція   Cefpirome sulfate 50 mg/ml
23°C
8 годину
світло 280
Рівень доказовості B+
скло Натрію хлорид 0,9% 9 mg/ml
ін'єкція   Clindamycin phosphate   
ін'єкція   Cefotaxime sodium 20 mg/ml
24°C
24 годину
світло 421
Джокер
скло Натрію хлорид 0,9% 9 mg/ml
ін'єкція   Clindamycin phosphate   
ін'єкція   Netilmicin sulfate 3 mg/ml
24°C
24 годину
світло 421
Джокер
скло Натрію хлорид 0,9% 12 mg/ml
ін'єкція   Clindamycin phosphate   
ін'єкція   Ceftriaxone disodium 20 mg/ml
25°C
8 годину
світло 432
Рівень доказовості D
скло Натрію хлорид 0,9% 9 mg/ml
ін'єкція   Clindamycin phosphate   
ін'єкція   Cefazolin sodium 10 mg/ml
ін'єкція   Gentamicin sulfate 0,8 mg/ml
25°C
12 годину
світло 695
Джокер
скло Натрію хлорид 0,9% 9 mg/ml
ін'єкція   Clindamycin phosphate   
ін'єкція   Ceftizoxime sodium 20 mg/ml
25°C
24 годину
світло 418
Рівень доказовості D
скло Натрію хлорид 0,9% 9 mg/ml
ін'єкція   Clindamycin phosphate   
ін'єкція   Ceftazidime 20 mg/ml
25°C
48 годину
світло 432
Рівень доказовості D
скло Натрію хлорид 0,9% 60 mg/ml
ін'єкція   Clindamycin phosphate   
ін'єкція   Aztreonam 200 mg/ml
25°C
48 годину
світло 644
Рівень доказовості B
скло Натрію хлорид 0,9% 9 mg/ml
ін'єкція   Clindamycin phosphate   
ін'єкція   Aztreonam 20 mg/ml
25°C
48 годину
світло 432
Рівень доказовості D
скло Натрію хлорид 0,9% 9 mg/ml
ін'єкція   Clindamycin phosphate   
ін'єкція   Piperacillin sodium 40 mg/ml
25°C
48 годину
світло 432
Рівень доказовості D
скло Натрію хлорид 0,9% 9 mg/ml
ін'єкція   Clindamycin phosphate   
ін'єкція   Cefoxitin sodium 20 mg/ml
25°C
48 годину
світло 418
Рівень доказовості D
скло Натрію хлорид 0,9% 9 mg/ml
ін'єкція   Clindamycin phosphate   
ін'єкція   Cefamandole nafate 10 mg/ml
25°C
48 годину
світло 418
Рівень доказовості D
скло Натрію хлорид 0,9% 9 mg/ml
ін'єкція   Clindamycin phosphate   
ін'єкція   Cefazolin sodium 10 mg/ml
25°C
48 годину
світло 418
Рівень доказовості D
скло Натрію хлорид 0,9% 12 mg/ml
ін'єкція   Clindamycin phosphate   
ін'єкція   Cefoperazone sodium 20 mg/ml
25°C
48 годину
світло 644
Рівень доказовості B
скло Натрію хлорид 0,9% 12 mg/ml
ін'єкція   Clindamycin phosphate   
ін'єкція   Cefonicid sodium 10 mg/ml
25°C
48 годину
світло 644
Рівень доказовості B
скло Натрію хлорид 0,9% 9 mg/ml
ін'єкція   Clindamycin phosphate   
ін'єкція   Cefuroxime sodium 15 mg/ml
25°C
48 годину
світло 644
Рівень доказовості B
скло Глюкоза 5% 12 mg/ml
ін'єкція   Clindamycin phosphate   
ін'єкція   Cefpirome sulfate 50 mg/ml
23°C
8 годину
світло 280
Рівень доказовості B+
скло Глюкоза 5% 9 mg/ml
ін'єкція   Clindamycin phosphate   
ін'єкція   Cefotaxime sodium 20 mg/ml
24°C
24 годину
світло 421
Джокер
скло Глюкоза 5% 9 mg/ml
ін'єкція   Clindamycin phosphate   
ін'єкція   Netilmicin sulfate 3 mg/ml
24°C
24 годину
світло 421
Джокер
скло Глюкоза 5% 12 mg/ml
ін'єкція   Clindamycin phosphate   
ін'єкція   Ceftriaxone disodium 20 mg/ml
25°C
1 годину
світло 432
Рівень доказовості D
скло Глюкоза 5% 9 mg/ml
ін'єкція   Clindamycin phosphate   
ін'єкція   Cefazolin sodium 10 mg/ml
ін'єкція   Gentamicin sulfate 0,8 mg/ml
25°C
1 годину
світло 695
Джокер
скло Глюкоза 5% 9 mg/ml
ін'єкція   Clindamycin phosphate   
ін'єкція   Ceftazidime 20 mg/ml
25°C
24 годину
світло 432
Рівень доказовості D
скло Глюкоза 5% 9 mg/ml
ін'єкція   Clindamycin phosphate   
ін'єкція   Ceftizoxime sodium 20 mg/ml
25°C
48 годину
світло 418
Рівень доказовості D
скло Глюкоза 5% 9 mg/ml
ін'єкція   Clindamycin phosphate   
ін'єкція   Aztreonam 20 mg/ml
25°C
48 годину
світло 432
Рівень доказовості D
скло Глюкоза 5% 9 mg/ml
ін'єкція   Clindamycin phosphate   
ін'єкція   Piperacillin sodium 40 mg/ml
25°C
48 годину
світло 432
Рівень доказовості D
скло Глюкоза 5% 9 mg/ml
ін'єкція   Clindamycin phosphate   
ін'єкція   Cefoxitin sodium 20 mg/ml
25°C
48 годину
світло 418
Рівень доказовості D
скло Глюкоза 5% 9 mg/ml
ін'єкція   Clindamycin phosphate   
ін'єкція   Cefamandole nafate 10 mg/ml
25°C
48 годину
світло 418
Рівень доказовості D
скло Глюкоза 5% 9 mg/ml
ін'єкція   Clindamycin phosphate   
ін'єкція   Cefazolin sodium 10 mg/ml
25°C
48 годину
світло 418
Рівень доказовості D
скло Глюкоза 5% 12 mg/ml
ін'єкція   Clindamycin phosphate   
ін'єкція   Cefoperazone sodium 20 mg/ml
25°C
48 годину
світло 644
Рівень доказовості B
скло Глюкоза 5% 12 mg/ml
ін'єкція   Clindamycin phosphate   
ін'єкція   Cefonicid sodium 10 mg/ml
25°C
48 годину
світло 644
Рівень доказовості B
скло Глюкоза 5% 9 mg/ml
ін'єкція   Clindamycin phosphate   
ін'єкція   Cefuroxime sodium 15 mg/ml
25°C
48 годину
світло 644
Рівень доказовості B
скло Розчин лактату Рінгера 12 mg/ml
ін'єкція   Clindamycin phosphate   
ін'єкція   Cefpirome sulfate 50 mg/ml
23°C
8 годину
світло 280
Рівень доказовості B+
скло Натрію хлорид 0,45% 12 mg/ml
ін'єкція   Clindamycin phosphate   
ін'єкція   Cefpirome sulfate 50 mg/ml
23°C
8 годину
світло 280
Рівень доказовості B+
скло Жодного 6 mg/ml
ін'єкція   Clindamycin phosphate   
ін'єкція   Ofloxacin 2 mg/ml
25°C
48 годину
Не визначено 889
Рівень доказовості D
Полівініл хлорид Натрію хлорид 0,9% 9 mg/ml
ін'єкція   Clindamycin phosphate   
ін'єкція   Tobramycin sulfate 1,2 mg/ml
-20°C
28 День
Берегти від світла 565
Рівень доказовості D
Полівініл хлорид Натрію хлорид 0,9% 9 mg/ml
ін'єкція   Clindamycin phosphate   
ін'єкція   Gentamicin sulfate 1,2 mg/ml
-20°C
28 День
Берегти від світла 565
Рівень доказовості D
Полівініл хлорид Натрію хлорид 0,9% 3 & 6 mg/ml
ін'єкція   Clindamycin phosphate   
ін'єкція   Aztreonam 10 & 20 mg/ml
22°C-23°C
48 годину
Не визначено 419
Рівень доказовості B+
Полівініл хлорид Натрію хлорид 0,9% 9 mg/ml
ін'єкція   Clindamycin phosphate   
ін'єкція   Cefotaxime sodium 20 mg/ml
24°C
24 годину
світло 421
Джокер
Полівініл хлорид Натрію хлорид 0,9% 9 mg/ml
ін'єкція   Clindamycin phosphate   
ін'єкція   Netilmicin sulfate 3 mg/ml
24°C
24 годину
світло 421
Джокер
Полівініл хлорид Натрію хлорид 0,9% 9 mg/ml
ін'єкція   Clindamycin phosphate   
ін'єкція   Amikacin sulfate 4 mg/ml
25°C
48 годину
Не визначено 565
Рівень доказовості D
Полівініл хлорид Натрію хлорид 0,9% 3 & 6 mg/ml
ін'єкція   Clindamycin phosphate   
ін'єкція   Aztreonam 10 & 20 mg/ml
4°C
7 День
Берегти від світла 419
Рівень доказовості B+
Полівініл хлорид Глюкоза 5% 9 mg/ml
ін'єкція   Clindamycin phosphate   
ін'єкція   Tobramycin sulfate 1,2 mg/ml
-20°C
14 День
Берегти від світла 565
Рівень доказовості D
Полівініл хлорид Глюкоза 5% 9 mg/ml
ін'єкція   Clindamycin phosphate   
ін'єкція   Gentamicin sulfate 1,2 mg/ml
-20°C
28 День
Берегти від світла 565
Рівень доказовості D
Полівініл хлорид Глюкоза 5% 3 & 6 mg/ml
ін'єкція   Clindamycin phosphate   
ін'єкція   Aztreonam 10 & 20 mg/ml
22°C-23°C
48 годину
Не визначено 419
Рівень доказовості B+
Полівініл хлорид Глюкоза 5% 9 mg/ml
ін'єкція   Clindamycin phosphate   
ін'єкція   Cefotaxime sodium 20 mg/ml
24°C
24 годину
світло 421
Джокер
Полівініл хлорид Глюкоза 5% 9 mg/ml
ін'єкція   Clindamycin phosphate   
ін'єкція   Netilmicin sulfate 3 mg/ml
24°C
24 годину
світло 421
Джокер
Полівініл хлорид Глюкоза 5% 6 mg/ml
ін'єкція   Clindamycin phosphate   
ін'єкція   Gentamicin sulfate 5 mg/ml
25°C
24 годину
світло 423
Рівень доказовості D
Полівініл хлорид Глюкоза 5% 9 mg/ml
ін'єкція   Clindamycin phosphate   
ін'єкція   Amikacin sulfate 4 mg/ml
25°C
48 годину
Не визначено 565
Рівень доказовості D
Полівініл хлорид Глюкоза 5% 3 & 6 mg/ml
ін'єкція   Clindamycin phosphate   
ін'єкція   Aztreonam 10 & 20 mg/ml
4°C
7 День
Берегти від світла 419
Рівень доказовості B+
Поліпропіленовий шприц Натрію хлорид 0,9% 90 mg/ml
ін'єкція   Clindamycin phosphate   
ін'єкція   Gentamicin sulfate 30 mg/ml
22°C-23°C
48 годину
світло 639
Рівень доказовості D
Поліпропіленовий шприц Натрію хлорид 0,9% 90 mg/ml
ін'єкція   Clindamycin phosphate   
ін'єкція   Amikacin sulfate 190 mg/ml
22°C-23°C
48 годину
світло 639
Рівень доказовості D

  Mentions Légales