zadnja posodobitev :
27/04/2026
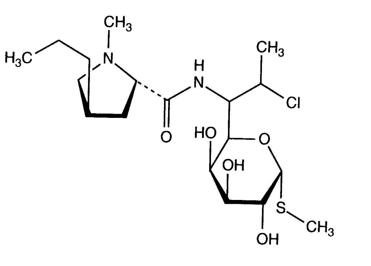
Antibiotik   Clindamycin phosphate  
Brizgalka
Stabilnost raztopine Stabilnost mešanice Faktorji, ki vplivajo na stabilnost Kompatibilnost način aplikacije Viri pdf
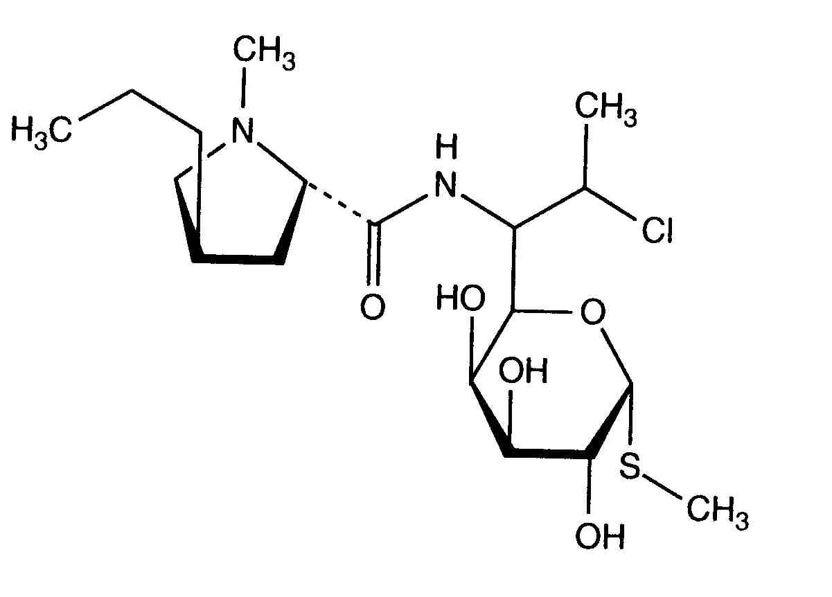
   Kemična formula  

Lastniško ime   Lastniško ime     

Sestava pomožnih snovi je med paralelami lahko različna

Biodaclin Mehika
Camyda Indija
Cinbiot Mehika
Cleocin Avstrija, Turčija, Združene države Amerike
Clinamsa Mehika
Clinbac Kolumbija, Peru
Clincina Portugalska
Clinda-Saar Nemčija
Clindacid Venezuela
Clindacin Malezija
Clindalaf Argentina
Clindamicina Argentina, Brazilija, Čile, Ekvador, Italija, Kolumbija, Mehika, Peru, Portugalska, Španija, Venezuela
Clindamycin Avstrija, Iran, Kanada, Nemčija, Norveška, Romunija, Savdska Arabija, Švedska, Združene države Amerike
Clindamycin-Hameln Nemčija
Clindamycine Belgija, Francija, Nizozemska, Tunizija
Clindanovag Argentina
Clindarix Brazilija
Clindasol Nemčija
Clindaval Venezuela
Clindazyn Mehika
Clindo Poljska
Clysvic Mehika
Daclin Čile
Dalacin Avstralija, Belgija, Čile, Danska, Egipt, Ekvador, Finska, Grčija, Indija, Iran, Irska, Islandija, Italija, Kanada, Kolumbija, Luksemburg, Madžarska, Malezija, Mehika, Nizozemska, Norveška, nova Zelandija, Poljska, Savdska Arabija, Švedska, Švica, Tunizija, Velika Britanija, Venezuela, Združeni arabski emirati
Dalacine Francija, Tunizija
Daladic Iran
Dalcinex Indija
Damclid Indija
Damicin Kolumbija, Mehika
Damicine Kolumbija
Dolarclin Kolumbija
Euroclin Ekvador, Kolumbija
Gynasafe Indija
Indamid Mehika
Klimicin Poljska
Klindan Turčija
Klindaver Turčija
Lanacine Avstrija
Lincocin Malezija
Lincosa Malezija
Meneklin Turčija
Sobelin Nemčija
Tidact Malezija
Stabilnost mešanice   Brizgalka   Stabilnost mešanice : Clindamycin phosphate     
Vsebnik Topilo Koncentracija Sestava Temperatura Shranjevanje Trajanje stabilnosti Viri
Steklo Natrijev klorid 0,9% 12 mg/ml
Brizgalka   Clindamycin phosphate   
Brizgalka   Cefpirome sulfate 50 mg/ml
23°C
8 čas
Svetloba 280
 Stopnja dokaza B+
Steklo Natrijev klorid 0,9% 9 mg/ml
Brizgalka   Clindamycin phosphate   
Brizgalka   Cefotaxime sodium 20 mg/ml
24°C
24 čas
Svetloba 421
Joker
Steklo Natrijev klorid 0,9% 9 mg/ml
Brizgalka   Clindamycin phosphate   
Brizgalka   Netilmicin sulfate 3 mg/ml
24°C
24 čas
Svetloba 421
Joker
Steklo Natrijev klorid 0,9% 12 mg/ml
Brizgalka   Clindamycin phosphate   
Brizgalka   Ceftriaxone disodium 20 mg/ml
25°C
8 čas
Svetloba 432
 Stopnja dokaza D
Steklo Natrijev klorid 0,9% 9 mg/ml
Brizgalka   Clindamycin phosphate   
Brizgalka   Cefazolin sodium 10 mg/ml
Brizgalka   Gentamicin sulfate 0,8 mg/ml
25°C
12 čas
Svetloba 695
Joker
Steklo Natrijev klorid 0,9% 9 mg/ml
Brizgalka   Clindamycin phosphate   
Brizgalka   Ceftizoxime sodium 20 mg/ml
25°C
24 čas
Svetloba 418
 Stopnja dokaza D
Steklo Natrijev klorid 0,9% 9 mg/ml
Brizgalka   Clindamycin phosphate   
Brizgalka   Ceftazidime 20 mg/ml
25°C
48 čas
Svetloba 432
 Stopnja dokaza D
Steklo Natrijev klorid 0,9% 60 mg/ml
Brizgalka   Clindamycin phosphate   
Brizgalka   Aztreonam 200 mg/ml
25°C
48 čas
Svetloba 644
 Stopnja dokaza B
Steklo Natrijev klorid 0,9% 9 mg/ml
Brizgalka   Clindamycin phosphate   
Brizgalka   Aztreonam 20 mg/ml
25°C
48 čas
Svetloba 432
 Stopnja dokaza D
Steklo Natrijev klorid 0,9% 9 mg/ml
Brizgalka   Clindamycin phosphate   
Brizgalka   Piperacillin sodium 40 mg/ml
25°C
48 čas
Svetloba 432
 Stopnja dokaza D
Steklo Natrijev klorid 0,9% 9 mg/ml
Brizgalka   Clindamycin phosphate   
Brizgalka   Cefoxitin sodium 20 mg/ml
25°C
48 čas
Svetloba 418
 Stopnja dokaza D
Steklo Natrijev klorid 0,9% 9 mg/ml
Brizgalka   Clindamycin phosphate   
Brizgalka   Cefamandole nafate 10 mg/ml
25°C
48 čas
Svetloba 418
 Stopnja dokaza D
Steklo Natrijev klorid 0,9% 9 mg/ml
Brizgalka   Clindamycin phosphate   
Brizgalka   Cefazolin sodium 10 mg/ml
25°C
48 čas
Svetloba 418
 Stopnja dokaza D
Steklo Natrijev klorid 0,9% 12 mg/ml
Brizgalka   Clindamycin phosphate   
Brizgalka   Cefoperazone sodium 20 mg/ml
25°C
48 čas
Svetloba 644
 Stopnja dokaza B
Steklo Natrijev klorid 0,9% 12 mg/ml
Brizgalka   Clindamycin phosphate   
Brizgalka   Cefonicid sodium 10 mg/ml
25°C
48 čas
Svetloba 644
 Stopnja dokaza B
Steklo Natrijev klorid 0,9% 9 mg/ml
Brizgalka   Clindamycin phosphate   
Brizgalka   Cefuroxime sodium 15 mg/ml
25°C
48 čas
Svetloba 644
 Stopnja dokaza B
Steklo Glukoza 5% 12 mg/ml
Brizgalka   Clindamycin phosphate   
Brizgalka   Cefpirome sulfate 50 mg/ml
23°C
8 čas
Svetloba 280
 Stopnja dokaza B+
Steklo Glukoza 5% 9 mg/ml
Brizgalka   Clindamycin phosphate   
Brizgalka   Cefotaxime sodium 20 mg/ml
24°C
24 čas
Svetloba 421
Joker
Steklo Glukoza 5% 9 mg/ml
Brizgalka   Clindamycin phosphate   
Brizgalka   Netilmicin sulfate 3 mg/ml
24°C
24 čas
Svetloba 421
Joker
Steklo Glukoza 5% 12 mg/ml
Brizgalka   Clindamycin phosphate   
Brizgalka   Ceftriaxone disodium 20 mg/ml
25°C
1 čas
Svetloba 432
 Stopnja dokaza D
Steklo Glukoza 5% 9 mg/ml
Brizgalka   Clindamycin phosphate   
Brizgalka   Cefazolin sodium 10 mg/ml
Brizgalka   Gentamicin sulfate 0,8 mg/ml
25°C
1 čas
Svetloba 695
Joker
Steklo Glukoza 5% 9 mg/ml
Brizgalka   Clindamycin phosphate   
Brizgalka   Ceftazidime 20 mg/ml
25°C
24 čas
Svetloba 432
 Stopnja dokaza D
Steklo Glukoza 5% 9 mg/ml
Brizgalka   Clindamycin phosphate   
Brizgalka   Ceftizoxime sodium 20 mg/ml
25°C
48 čas
Svetloba 418
 Stopnja dokaza D
Steklo Glukoza 5% 9 mg/ml
Brizgalka   Clindamycin phosphate   
Brizgalka   Aztreonam 20 mg/ml
25°C
48 čas
Svetloba 432
 Stopnja dokaza D
Steklo Glukoza 5% 9 mg/ml
Brizgalka   Clindamycin phosphate   
Brizgalka   Piperacillin sodium 40 mg/ml
25°C
48 čas
Svetloba 432
 Stopnja dokaza D
Steklo Glukoza 5% 9 mg/ml
Brizgalka   Clindamycin phosphate   
Brizgalka   Cefoxitin sodium 20 mg/ml
25°C
48 čas
Svetloba 418
 Stopnja dokaza D
Steklo Glukoza 5% 9 mg/ml
Brizgalka   Clindamycin phosphate   
Brizgalka   Cefamandole nafate 10 mg/ml
25°C
48 čas
Svetloba 418
 Stopnja dokaza D
Steklo Glukoza 5% 9 mg/ml
Brizgalka   Clindamycin phosphate   
Brizgalka   Cefazolin sodium 10 mg/ml
25°C
48 čas
Svetloba 418
 Stopnja dokaza D
Steklo Glukoza 5% 12 mg/ml
Brizgalka   Clindamycin phosphate   
Brizgalka   Cefoperazone sodium 20 mg/ml
25°C
48 čas
Svetloba 644
 Stopnja dokaza B
Steklo Glukoza 5% 12 mg/ml
Brizgalka   Clindamycin phosphate   
Brizgalka   Cefonicid sodium 10 mg/ml
25°C
48 čas
Svetloba 644
 Stopnja dokaza B
Steklo Glukoza 5% 9 mg/ml
Brizgalka   Clindamycin phosphate   
Brizgalka   Cefuroxime sodium 15 mg/ml
25°C
48 čas
Svetloba 644
 Stopnja dokaza B
Steklo Ringerjev laktat 12 mg/ml
Brizgalka   Clindamycin phosphate   
Brizgalka   Cefpirome sulfate 50 mg/ml
23°C
8 čas
Svetloba 280
 Stopnja dokaza B+
Steklo Natrijev klorid 0,45% 12 mg/ml
Brizgalka   Clindamycin phosphate   
Brizgalka   Cefpirome sulfate 50 mg/ml
23°C
8 čas
Svetloba 280
 Stopnja dokaza B+
Steklo Nobeden 6 mg/ml
Brizgalka   Clindamycin phosphate   
Brizgalka   Ofloxacin 2 mg/ml
25°C
48 čas
Nedoločeno 889
 Stopnja dokaza D
Polivinil klorid Natrijev klorid 0,9% 9 mg/ml
Brizgalka   Clindamycin phosphate   
Brizgalka   Tobramycin sulfate 1,2 mg/ml
-20°C
28 Dan
Zaščiteno pred svetlobo 565
 Stopnja dokaza D
Polivinil klorid Natrijev klorid 0,9% 9 mg/ml
Brizgalka   Clindamycin phosphate   
Brizgalka   Gentamicin sulfate 1,2 mg/ml
-20°C
28 Dan
Zaščiteno pred svetlobo 565
 Stopnja dokaza D
Polivinil klorid Natrijev klorid 0,9% 3 & 6 mg/ml
Brizgalka   Clindamycin phosphate   
Brizgalka   Aztreonam 10 & 20 mg/ml
22°C-23°C
48 čas
Nedoločeno 419
 Stopnja dokaza B+
Polivinil klorid Natrijev klorid 0,9% 9 mg/ml
Brizgalka   Clindamycin phosphate   
Brizgalka   Cefotaxime sodium 20 mg/ml
24°C
24 čas
Svetloba 421
Joker
Polivinil klorid Natrijev klorid 0,9% 9 mg/ml
Brizgalka   Clindamycin phosphate   
Brizgalka   Netilmicin sulfate 3 mg/ml
24°C
24 čas
Svetloba 421
Joker
Polivinil klorid Natrijev klorid 0,9% 9 mg/ml
Brizgalka   Clindamycin phosphate   
Brizgalka   Amikacin sulfate 4 mg/ml
25°C
48 čas
Nedoločeno 565
 Stopnja dokaza D
Polivinil klorid Natrijev klorid 0,9% 3 & 6 mg/ml
Brizgalka   Clindamycin phosphate   
Brizgalka   Aztreonam 10 & 20 mg/ml
4°C
7 Dan
Zaščiteno pred svetlobo 419
 Stopnja dokaza B+
Polivinil klorid Glukoza 5% 9 mg/ml
Brizgalka   Clindamycin phosphate   
Brizgalka   Tobramycin sulfate 1,2 mg/ml
-20°C
14 Dan
Zaščiteno pred svetlobo 565
 Stopnja dokaza D
Polivinil klorid Glukoza 5% 9 mg/ml
Brizgalka   Clindamycin phosphate   
Brizgalka   Gentamicin sulfate 1,2 mg/ml
-20°C
28 Dan
Zaščiteno pred svetlobo 565
 Stopnja dokaza D
Polivinil klorid Glukoza 5% 3 & 6 mg/ml
Brizgalka   Clindamycin phosphate   
Brizgalka   Aztreonam 10 & 20 mg/ml
22°C-23°C
48 čas
Nedoločeno 419
 Stopnja dokaza B+
Polivinil klorid Glukoza 5% 9 mg/ml
Brizgalka   Clindamycin phosphate   
Brizgalka   Cefotaxime sodium 20 mg/ml
24°C
24 čas
Svetloba 421
Joker
Polivinil klorid Glukoza 5% 9 mg/ml
Brizgalka   Clindamycin phosphate   
Brizgalka   Netilmicin sulfate 3 mg/ml
24°C
24 čas
Svetloba 421
Joker
Polivinil klorid Glukoza 5% 6 mg/ml
Brizgalka   Clindamycin phosphate   
Brizgalka   Gentamicin sulfate 5 mg/ml
25°C
24 čas
Svetloba 423
 Stopnja dokaza D
Polivinil klorid Glukoza 5% 9 mg/ml
Brizgalka   Clindamycin phosphate   
Brizgalka   Amikacin sulfate 4 mg/ml
25°C
48 čas
Nedoločeno 565
 Stopnja dokaza D
Polivinil klorid Glukoza 5% 3 & 6 mg/ml
Brizgalka   Clindamycin phosphate   
Brizgalka   Aztreonam 10 & 20 mg/ml
4°C
7 Dan
Zaščiteno pred svetlobo 419
 Stopnja dokaza B+
Brizgalka polipropilen Natrijev klorid 0,9% 90 mg/ml
Brizgalka   Clindamycin phosphate   
Brizgalka   Gentamicin sulfate 30 mg/ml
22°C-23°C
48 čas
Svetloba 639
 Stopnja dokaza D
Brizgalka polipropilen Natrijev klorid 0,9% 90 mg/ml
Brizgalka   Clindamycin phosphate   
Brizgalka   Amikacin sulfate 190 mg/ml
22°C-23°C
48 čas
Svetloba 639
 Stopnja dokaza D

  Mentions Légales