Last update :
27/04/2026
Antibiotic   Clindamycin phosphate  
injection
Stability in solutions Stability of mixtures Factors which affect stability Compatibility Route of administration References pdf
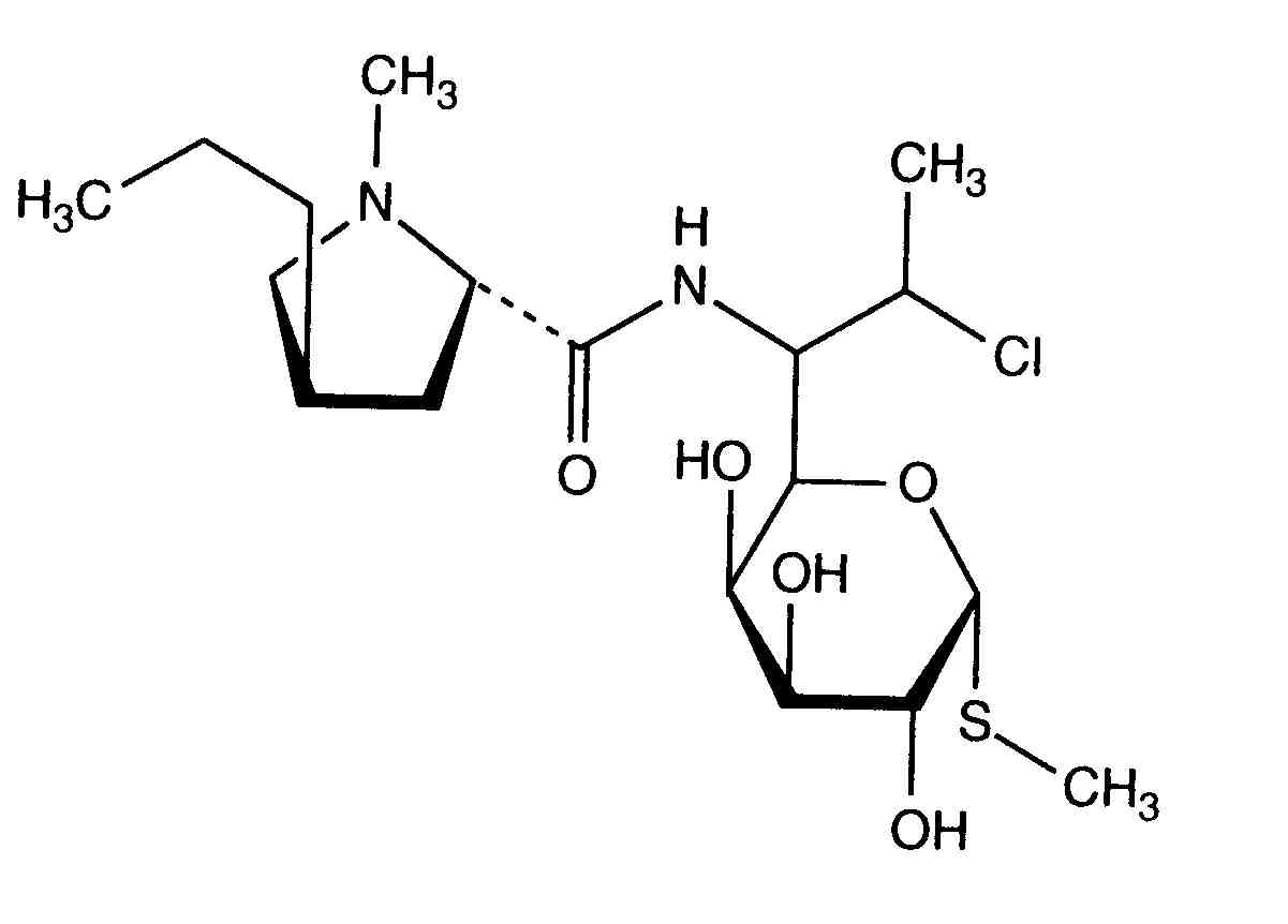
   Chemical structure  

Tradename   Tradename     

Trade names are indicative and excipients composition can be different depending on the country and manufacturers

Biodaclin Mexico
Camyda India
Cinbiot Mexico
Cleocin Austria, Turkey, United States of America
Clinamsa Mexico
Clinbac Colombia, Peru
Clincina Portugal
Clinda-Saar Germany
Clindacid Venezuela
Clindacin Malaysia
Clindalaf Argentina
Clindamicina Argentina, Brazil, Chile, Colombia, Ecuador, Italy, Mexico, Peru, Portugal, Spain, Venezuela
Clindamycin Austria, Canada, Germany, Iran, Norway, Romania, Saudi Arabia, Sweden, United States of America
Clindamycin-Hameln Germany
Clindamycine Belgium, France, Netherlands, Tunisia
Clindanovag Argentina
Clindarix Brazil
Clindasol Germany
Clindaval Venezuela
Clindazyn Mexico
Clindo Poland
Clysvic Mexico
Daclin Chile
Dalacin Australia, Belgium, Canada, Chile, Colombia, Denmark, Ecuador, Egypt, Finland, Great Britain, Greece, Hungary, Iceland, India, Iran, Ireland, Italy, Luxembourg, Malaysia, Mexico, Netherlands, New Zealand, Norway, Poland, Saudi Arabia, Sweden, Switzerland, Tunisia, United Arab Emirates, Venezuela
Dalacine France, Tunisia
Daladic Iran
Dalcinex India
Damclid India
Damicin Colombia, Mexico
Damicine Colombia
Dolarclin Colombia
Euroclin Colombia, Ecuador
Gynasafe India
Indamid Mexico
Klimicin Poland
Klindan Turkey
Klindaver Turkey
Lanacine Austria
Lincocin Malaysia
Lincosa Malaysia
Meneklin Turkey
Sobelin Germany
Tidact Malaysia
Stability of mixtures   injection   Stability of mixtures : Clindamycin phosphate     
Container Solvent Concentration Compound Temperature Storage Duration of stability References
Glass Sodium chloride 0,9% 12 mg/ml
injection   Clindamycin phosphate   
injection   Cefpirome sulfate 50 mg/ml
23°C
8 Hour
Light 280
Level of evidence B+
Glass Sodium chloride 0,9% 9 mg/ml
injection   Clindamycin phosphate   
injection   Cefotaxime sodium 20 mg/ml
24°C
24 Hour
Light 421
Joker
Glass Sodium chloride 0,9% 9 mg/ml
injection   Clindamycin phosphate   
injection   Netilmicin sulfate 3 mg/ml
24°C
24 Hour
Light 421
Joker
Glass Sodium chloride 0,9% 12 mg/ml
injection   Clindamycin phosphate   
injection   Ceftriaxone disodium 20 mg/ml
25°C
8 Hour
Light 432
Level of evidence D
Glass Sodium chloride 0,9% 9 mg/ml
injection   Clindamycin phosphate   
injection   Cefazolin sodium 10 mg/ml
injection   Gentamicin sulfate 0,8 mg/ml
25°C
12 Hour
Light 695
Joker
Glass Sodium chloride 0,9% 9 mg/ml
injection   Clindamycin phosphate   
injection   Ceftizoxime sodium 20 mg/ml
25°C
24 Hour
Light 418
Level of evidence D
Glass Sodium chloride 0,9% 9 mg/ml
injection   Clindamycin phosphate   
injection   Ceftazidime 20 mg/ml
25°C
48 Hour
Light 432
Level of evidence D
Glass Sodium chloride 0,9% 60 mg/ml
injection   Clindamycin phosphate   
injection   Aztreonam 200 mg/ml
25°C
48 Hour
Light 644
Level of evidence B
Glass Sodium chloride 0,9% 9 mg/ml
injection   Clindamycin phosphate   
injection   Aztreonam 20 mg/ml
25°C
48 Hour
Light 432
Level of evidence D
Glass Sodium chloride 0,9% 9 mg/ml
injection   Clindamycin phosphate   
injection   Piperacillin sodium 40 mg/ml
25°C
48 Hour
Light 432
Level of evidence D
Glass Sodium chloride 0,9% 9 mg/ml
injection   Clindamycin phosphate   
injection   Cefoxitin sodium 20 mg/ml
25°C
48 Hour
Light 418
Level of evidence D
Glass Sodium chloride 0,9% 9 mg/ml
injection   Clindamycin phosphate   
injection   Cefamandole nafate 10 mg/ml
25°C
48 Hour
Light 418
Level of evidence D
Glass Sodium chloride 0,9% 9 mg/ml
injection   Clindamycin phosphate   
injection   Cefazolin sodium 10 mg/ml
25°C
48 Hour
Light 418
Level of evidence D
Glass Sodium chloride 0,9% 12 mg/ml
injection   Clindamycin phosphate   
injection   Cefoperazone sodium 20 mg/ml
25°C
48 Hour
Light 644
Level of evidence B
Glass Sodium chloride 0,9% 12 mg/ml
injection   Clindamycin phosphate   
injection   Cefonicid sodium 10 mg/ml
25°C
48 Hour
Light 644
Level of evidence B
Glass Sodium chloride 0,9% 9 mg/ml
injection   Clindamycin phosphate   
injection   Cefuroxime sodium 15 mg/ml
25°C
48 Hour
Light 644
Level of evidence B
Glass Glucose 5% 12 mg/ml
injection   Clindamycin phosphate   
injection   Cefpirome sulfate 50 mg/ml
23°C
8 Hour
Light 280
Level of evidence B+
Glass Glucose 5% 9 mg/ml
injection   Clindamycin phosphate   
injection   Cefotaxime sodium 20 mg/ml
24°C
24 Hour
Light 421
Joker
Glass Glucose 5% 9 mg/ml
injection   Clindamycin phosphate   
injection   Netilmicin sulfate 3 mg/ml
24°C
24 Hour
Light 421
Joker
Glass Glucose 5% 12 mg/ml
injection   Clindamycin phosphate   
injection   Ceftriaxone disodium 20 mg/ml
25°C
1 Hour
Light 432
Level of evidence D
Glass Glucose 5% 9 mg/ml
injection   Clindamycin phosphate   
injection   Cefazolin sodium 10 mg/ml
injection   Gentamicin sulfate 0,8 mg/ml
25°C
1 Hour
Light 695
Joker
Glass Glucose 5% 9 mg/ml
injection   Clindamycin phosphate   
injection   Ceftazidime 20 mg/ml
25°C
24 Hour
Light 432
Level of evidence D
Glass Glucose 5% 9 mg/ml
injection   Clindamycin phosphate   
injection   Ceftizoxime sodium 20 mg/ml
25°C
48 Hour
Light 418
Level of evidence D
Glass Glucose 5% 9 mg/ml
injection   Clindamycin phosphate   
injection   Aztreonam 20 mg/ml
25°C
48 Hour
Light 432
Level of evidence D
Glass Glucose 5% 9 mg/ml
injection   Clindamycin phosphate   
injection   Piperacillin sodium 40 mg/ml
25°C
48 Hour
Light 432
Level of evidence D
Glass Glucose 5% 9 mg/ml
injection   Clindamycin phosphate   
injection   Cefoxitin sodium 20 mg/ml
25°C
48 Hour
Light 418
Level of evidence D
Glass Glucose 5% 9 mg/ml
injection   Clindamycin phosphate   
injection   Cefamandole nafate 10 mg/ml
25°C
48 Hour
Light 418
Level of evidence D
Glass Glucose 5% 9 mg/ml
injection   Clindamycin phosphate   
injection   Cefazolin sodium 10 mg/ml
25°C
48 Hour
Light 418
Level of evidence D
Glass Glucose 5% 12 mg/ml
injection   Clindamycin phosphate   
injection   Cefoperazone sodium 20 mg/ml
25°C
48 Hour
Light 644
Level of evidence B
Glass Glucose 5% 12 mg/ml
injection   Clindamycin phosphate   
injection   Cefonicid sodium 10 mg/ml
25°C
48 Hour
Light 644
Level of evidence B
Glass Glucose 5% 9 mg/ml
injection   Clindamycin phosphate   
injection   Cefuroxime sodium 15 mg/ml
25°C
48 Hour
Light 644
Level of evidence B
Glass Ringer’s lactate solution 12 mg/ml
injection   Clindamycin phosphate   
injection   Cefpirome sulfate 50 mg/ml
23°C
8 Hour
Light 280
Level of evidence B+
Glass Sodium chloride 0,45% 12 mg/ml
injection   Clindamycin phosphate   
injection   Cefpirome sulfate 50 mg/ml
23°C
8 Hour
Light 280
Level of evidence B+
Glass None 6 mg/ml
injection   Clindamycin phosphate   
injection   Ofloxacin 2 mg/ml
25°C
48 Hour
Not specified 889
Level of evidence D
Polyvinyl chloride Sodium chloride 0,9% 9 mg/ml
injection   Clindamycin phosphate   
injection   Tobramycin sulfate 1,2 mg/ml
-20°C
28 Day
Protect from light 565
Level of evidence D
Polyvinyl chloride Sodium chloride 0,9% 9 mg/ml
injection   Clindamycin phosphate   
injection   Gentamicin sulfate 1,2 mg/ml
-20°C
28 Day
Protect from light 565
Level of evidence D
Polyvinyl chloride Sodium chloride 0,9% 3 & 6 mg/ml
injection   Clindamycin phosphate   
injection   Aztreonam 10 & 20 mg/ml
22°C-23°C
48 Hour
Not specified 419
Level of evidence B+
Polyvinyl chloride Sodium chloride 0,9% 9 mg/ml
injection   Clindamycin phosphate   
injection   Cefotaxime sodium 20 mg/ml
24°C
24 Hour
Light 421
Joker
Polyvinyl chloride Sodium chloride 0,9% 9 mg/ml
injection   Clindamycin phosphate   
injection   Netilmicin sulfate 3 mg/ml
24°C
24 Hour
Light 421
Joker
Polyvinyl chloride Sodium chloride 0,9% 9 mg/ml
injection   Clindamycin phosphate   
injection   Amikacin sulfate 4 mg/ml
25°C
48 Hour
Not specified 565
Level of evidence D
Polyvinyl chloride Sodium chloride 0,9% 3 & 6 mg/ml
injection   Clindamycin phosphate   
injection   Aztreonam 10 & 20 mg/ml
4°C
7 Day
Protect from light 419
Level of evidence B+
Polyvinyl chloride Glucose 5% 9 mg/ml
injection   Clindamycin phosphate   
injection   Tobramycin sulfate 1,2 mg/ml
-20°C
14 Day
Protect from light 565
Level of evidence D
Polyvinyl chloride Glucose 5% 9 mg/ml
injection   Clindamycin phosphate   
injection   Gentamicin sulfate 1,2 mg/ml
-20°C
28 Day
Protect from light 565
Level of evidence D
Polyvinyl chloride Glucose 5% 3 & 6 mg/ml
injection   Clindamycin phosphate   
injection   Aztreonam 10 & 20 mg/ml
22°C-23°C
48 Hour
Not specified 419
Level of evidence B+
Polyvinyl chloride Glucose 5% 9 mg/ml
injection   Clindamycin phosphate   
injection   Cefotaxime sodium 20 mg/ml
24°C
24 Hour
Light 421
Joker
Polyvinyl chloride Glucose 5% 9 mg/ml
injection   Clindamycin phosphate   
injection   Netilmicin sulfate 3 mg/ml
24°C
24 Hour
Light 421
Joker
Polyvinyl chloride Glucose 5% 6 mg/ml
injection   Clindamycin phosphate   
injection   Gentamicin sulfate 5 mg/ml
25°C
24 Hour
Light 423
Level of evidence D
Polyvinyl chloride Glucose 5% 9 mg/ml
injection   Clindamycin phosphate   
injection   Amikacin sulfate 4 mg/ml
25°C
48 Hour
Not specified 565
Level of evidence D
Polyvinyl chloride Glucose 5% 3 & 6 mg/ml
injection   Clindamycin phosphate   
injection   Aztreonam 10 & 20 mg/ml
4°C
7 Day
Protect from light 419
Level of evidence B+
Polypropylen Syringe Sodium chloride 0,9% 90 mg/ml
injection   Clindamycin phosphate   
injection   Gentamicin sulfate 30 mg/ml
22°C-23°C
48 Hour
Light 639
Level of evidence D
Polypropylen Syringe Sodium chloride 0,9% 90 mg/ml
injection   Clindamycin phosphate   
injection   Amikacin sulfate 190 mg/ml
22°C-23°C
48 Hour
Light 639
Level of evidence D

  Mentions Légales