Pēdējā atjaunošana :
27/04/2026
Antibiotika   Clindamycin phosphate  
Injekcija
Šķīduma stabilitāte Maisījuma stabilitāte Stabilitāti ietekmējoši faktori Saderība Levadīšanas veids Literatūras saraksts pdf
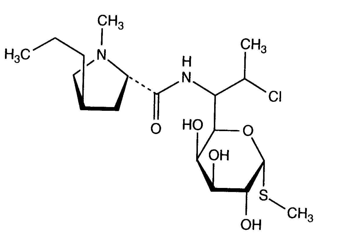
   Ķīmiskā uzbūve   

Oriģinālais nosaukums   Oriģinālais nosaukums     

Tirdzniecības nosaukumi ir apzīmējoši un palīgvielas var atšķirties dažādām valstīm un laboratorijām

Biodaclin Meksika
Camyda Indija
Cinbiot Meksika
Cleocin Amerikas Savienotās Valstis, Austrija, Turcija
Clinamsa Meksika
Clinbac Kolumbija, Peru
Clincina Portugāle
Clinda-Saar Vācija
Clindacid Venecuēla
Clindacin Malaizija
Clindalaf Argentīna
Clindamicina Argentīna, Brazīlija, Čīle, Ekvadora, Itālija, Kolumbija, Meksika, Peru, Portugāle, Spānija, Venecuēla
Clindamycin Amerikas Savienotās Valstis, Austrija, Irāna, Kanāda, Norvēģija, Rumānija, Saūda Arābija, Vācija, Zviedrija
Clindamycin-Hameln Vācija
Clindamycine Beļģija, Francija, Holande, Tunisija
Clindanovag Argentīna
Clindarix Brazīlija
Clindasol Vācija
Clindaval Venecuēla
Clindazyn Meksika
Clindo Polija
Clysvic Meksika
Daclin Čīle
Dalacin Apvienotie Arābu Emirāti, Austrālija, Beļģija, Čīle, Dānija, Ēģipte, Ekvadora, Grieķija, Holande, Indija, Irāna, Īrija, Islande, Itālija, Jaunzēlande, Kanāda, Kolumbija, Lielbritānija, Luksemburga, Malaizija, Meksika, Norvēģija, Polija, Saūda Arābija, Somija, Šveice, Tunisija, Ungārija, Venecuēla, Zviedrija
Dalacine Francija, Tunisija
Daladic Irāna
Dalcinex Indija
Damclid Indija
Damicin Kolumbija, Meksika
Damicine Kolumbija
Dolarclin Kolumbija
Euroclin Ekvadora, Kolumbija
Gynasafe Indija
Indamid Meksika
Klimicin Polija
Klindan Turcija
Klindaver Turcija
Lanacine Austrija
Lincocin Malaizija
Lincosa Malaizija
Meneklin Turcija
Sobelin Vācija
Tidact Malaizija
Maisījuma stabilitāte   Injekcija   Maisījuma stabilitāte : Clindamycin phosphate     
Iepakojums Šķīdinātājs Koncentrācija Savienojums Temperatūra Glabāšana Stabilitātes ilgums Literatūras saraksts
Stikls Nātrija hlorīds 0.9% 12 mg/ml
Injekcija   Clindamycin phosphate   
Injekcija   Cefpirome sulfate 50 mg/ml
23°C
8 Stunda
Gaisma 280
Pierādījumu līmenis B+
Stikls Nātrija hlorīds 0.9% 9 mg/ml
Injekcija   Clindamycin phosphate   
Injekcija   Cefotaxime sodium 20 mg/ml
24°C
24 Stunda
Gaisma 421
\
Stikls Nātrija hlorīds 0.9% 9 mg/ml
Injekcija   Clindamycin phosphate   
Injekcija   Netilmicin sulfate 3 mg/ml
24°C
24 Stunda
Gaisma 421
\
Stikls Nātrija hlorīds 0.9% 12 mg/ml
Injekcija   Clindamycin phosphate   
Injekcija   Ceftriaxone disodium 20 mg/ml
25°C
8 Stunda
Gaisma 432
Pierādījumu līmenis D
Stikls Nātrija hlorīds 0.9% 9 mg/ml
Injekcija   Clindamycin phosphate   
Injekcija   Cefazolin sodium 10 mg/ml
Injekcija   Gentamicin sulfate 0,8 mg/ml
25°C
12 Stunda
Gaisma 695
\
Stikls Nātrija hlorīds 0.9% 9 mg/ml
Injekcija   Clindamycin phosphate   
Injekcija   Ceftizoxime sodium 20 mg/ml
25°C
24 Stunda
Gaisma 418
Pierādījumu līmenis D
Stikls Nātrija hlorīds 0.9% 9 mg/ml
Injekcija   Clindamycin phosphate   
Injekcija   Ceftazidime 20 mg/ml
25°C
48 Stunda
Gaisma 432
Pierādījumu līmenis D
Stikls Nātrija hlorīds 0.9% 60 mg/ml
Injekcija   Clindamycin phosphate   
Injekcija   Aztreonam 200 mg/ml
25°C
48 Stunda
Gaisma 644
Pierādījumu līmenis B
Stikls Nātrija hlorīds 0.9% 9 mg/ml
Injekcija   Clindamycin phosphate   
Injekcija   Aztreonam 20 mg/ml
25°C
48 Stunda
Gaisma 432
Pierādījumu līmenis D
Stikls Nātrija hlorīds 0.9% 9 mg/ml
Injekcija   Clindamycin phosphate   
Injekcija   Piperacillin sodium 40 mg/ml
25°C
48 Stunda
Gaisma 432
Pierādījumu līmenis D
Stikls Nātrija hlorīds 0.9% 9 mg/ml
Injekcija   Clindamycin phosphate   
Injekcija   Cefoxitin sodium 20 mg/ml
25°C
48 Stunda
Gaisma 418
Pierādījumu līmenis D
Stikls Nātrija hlorīds 0.9% 9 mg/ml
Injekcija   Clindamycin phosphate   
Injekcija   Cefamandole nafate 10 mg/ml
25°C
48 Stunda
Gaisma 418
Pierādījumu līmenis D
Stikls Nātrija hlorīds 0.9% 9 mg/ml
Injekcija   Clindamycin phosphate   
Injekcija   Cefazolin sodium 10 mg/ml
25°C
48 Stunda
Gaisma 418
Pierādījumu līmenis D
Stikls Nātrija hlorīds 0.9% 12 mg/ml
Injekcija   Clindamycin phosphate   
Injekcija   Cefoperazone sodium 20 mg/ml
25°C
48 Stunda
Gaisma 644
Pierādījumu līmenis B
Stikls Nātrija hlorīds 0.9% 12 mg/ml
Injekcija   Clindamycin phosphate   
Injekcija   Cefonicid sodium 10 mg/ml
25°C
48 Stunda
Gaisma 644
Pierādījumu līmenis B
Stikls Nātrija hlorīds 0.9% 9 mg/ml
Injekcija   Clindamycin phosphate   
Injekcija   Cefuroxime sodium 15 mg/ml
25°C
48 Stunda
Gaisma 644
Pierādījumu līmenis B
Stikls 5% glikoze 12 mg/ml
Injekcija   Clindamycin phosphate   
Injekcija   Cefpirome sulfate 50 mg/ml
23°C
8 Stunda
Gaisma 280
Pierādījumu līmenis B+
Stikls 5% glikoze 9 mg/ml
Injekcija   Clindamycin phosphate   
Injekcija   Cefotaxime sodium 20 mg/ml
24°C
24 Stunda
Gaisma 421
\
Stikls 5% glikoze 9 mg/ml
Injekcija   Clindamycin phosphate   
Injekcija   Netilmicin sulfate 3 mg/ml
24°C
24 Stunda
Gaisma 421
\
Stikls 5% glikoze 12 mg/ml
Injekcija   Clindamycin phosphate   
Injekcija   Ceftriaxone disodium 20 mg/ml
25°C
1 Stunda
Gaisma 432
Pierādījumu līmenis D
Stikls 5% glikoze 9 mg/ml
Injekcija   Clindamycin phosphate   
Injekcija   Cefazolin sodium 10 mg/ml
Injekcija   Gentamicin sulfate 0,8 mg/ml
25°C
1 Stunda
Gaisma 695
\
Stikls 5% glikoze 9 mg/ml
Injekcija   Clindamycin phosphate   
Injekcija   Ceftazidime 20 mg/ml
25°C
24 Stunda
Gaisma 432
Pierādījumu līmenis D
Stikls 5% glikoze 9 mg/ml
Injekcija   Clindamycin phosphate   
Injekcija   Ceftizoxime sodium 20 mg/ml
25°C
48 Stunda
Gaisma 418
Pierādījumu līmenis D
Stikls 5% glikoze 9 mg/ml
Injekcija   Clindamycin phosphate   
Injekcija   Aztreonam 20 mg/ml
25°C
48 Stunda
Gaisma 432
Pierādījumu līmenis D
Stikls 5% glikoze 9 mg/ml
Injekcija   Clindamycin phosphate   
Injekcija   Piperacillin sodium 40 mg/ml
25°C
48 Stunda
Gaisma 432
Pierādījumu līmenis D
Stikls 5% glikoze 9 mg/ml
Injekcija   Clindamycin phosphate   
Injekcija   Cefoxitin sodium 20 mg/ml
25°C
48 Stunda
Gaisma 418
Pierādījumu līmenis D
Stikls 5% glikoze 9 mg/ml
Injekcija   Clindamycin phosphate   
Injekcija   Cefamandole nafate 10 mg/ml
25°C
48 Stunda
Gaisma 418
Pierādījumu līmenis D
Stikls 5% glikoze 9 mg/ml
Injekcija   Clindamycin phosphate   
Injekcija   Cefazolin sodium 10 mg/ml
25°C
48 Stunda
Gaisma 418
Pierādījumu līmenis D
Stikls 5% glikoze 12 mg/ml
Injekcija   Clindamycin phosphate   
Injekcija   Cefoperazone sodium 20 mg/ml
25°C
48 Stunda
Gaisma 644
Pierādījumu līmenis B
Stikls 5% glikoze 12 mg/ml
Injekcija   Clindamycin phosphate   
Injekcija   Cefonicid sodium 10 mg/ml
25°C
48 Stunda
Gaisma 644
Pierādījumu līmenis B
Stikls 5% glikoze 9 mg/ml
Injekcija   Clindamycin phosphate   
Injekcija   Cefuroxime sodium 15 mg/ml
25°C
48 Stunda
Gaisma 644
Pierādījumu līmenis B
Stikls Ringera laktāta šķīdums 12 mg/ml
Injekcija   Clindamycin phosphate   
Injekcija   Cefpirome sulfate 50 mg/ml
23°C
8 Stunda
Gaisma 280
Pierādījumu līmenis B+
Stikls Nātrija hlorīds 0.45% 12 mg/ml
Injekcija   Clindamycin phosphate   
Injekcija   Cefpirome sulfate 50 mg/ml
23°C
8 Stunda
Gaisma 280
Pierādījumu līmenis B+
Stikls Nekāds 6 mg/ml
Injekcija   Clindamycin phosphate   
Injekcija   Ofloxacin 2 mg/ml
25°C
48 Stunda
Nav specifisks 889
Pierādījumu līmenis D
Polivinilhlorīds Nātrija hlorīds 0.9% 9 mg/ml
Injekcija   Clindamycin phosphate   
Injekcija   Tobramycin sulfate 1,2 mg/ml
-20°C
28 Diena
Aizsargāt no gaismas 565
Pierādījumu līmenis D
Polivinilhlorīds Nātrija hlorīds 0.9% 9 mg/ml
Injekcija   Clindamycin phosphate   
Injekcija   Gentamicin sulfate 1,2 mg/ml
-20°C
28 Diena
Aizsargāt no gaismas 565
Pierādījumu līmenis D
Polivinilhlorīds Nātrija hlorīds 0.9% 3 & 6 mg/ml
Injekcija   Clindamycin phosphate   
Injekcija   Aztreonam 10 & 20 mg/ml
22°C-23°C
48 Stunda
Nav specifisks 419
Pierādījumu līmenis B+
Polivinilhlorīds Nātrija hlorīds 0.9% 9 mg/ml
Injekcija   Clindamycin phosphate   
Injekcija   Cefotaxime sodium 20 mg/ml
24°C
24 Stunda
Gaisma 421
\
Polivinilhlorīds Nātrija hlorīds 0.9% 9 mg/ml
Injekcija   Clindamycin phosphate   
Injekcija   Netilmicin sulfate 3 mg/ml
24°C
24 Stunda
Gaisma 421
\
Polivinilhlorīds Nātrija hlorīds 0.9% 9 mg/ml
Injekcija   Clindamycin phosphate   
Injekcija   Amikacin sulfate 4 mg/ml
25°C
48 Stunda
Nav specifisks 565
Pierādījumu līmenis D
Polivinilhlorīds Nātrija hlorīds 0.9% 3 & 6 mg/ml
Injekcija   Clindamycin phosphate   
Injekcija   Aztreonam 10 & 20 mg/ml
4°C
7 Diena
Aizsargāt no gaismas 419
Pierādījumu līmenis B+
Polivinilhlorīds 5% glikoze 9 mg/ml
Injekcija   Clindamycin phosphate   
Injekcija   Tobramycin sulfate 1,2 mg/ml
-20°C
14 Diena
Aizsargāt no gaismas 565
Pierādījumu līmenis D
Polivinilhlorīds 5% glikoze 9 mg/ml
Injekcija   Clindamycin phosphate   
Injekcija   Gentamicin sulfate 1,2 mg/ml
-20°C
28 Diena
Aizsargāt no gaismas 565
Pierādījumu līmenis D
Polivinilhlorīds 5% glikoze 3 & 6 mg/ml
Injekcija   Clindamycin phosphate   
Injekcija   Aztreonam 10 & 20 mg/ml
22°C-23°C
48 Stunda
Nav specifisks 419
Pierādījumu līmenis B+
Polivinilhlorīds 5% glikoze 9 mg/ml
Injekcija   Clindamycin phosphate   
Injekcija   Cefotaxime sodium 20 mg/ml
24°C
24 Stunda
Gaisma 421
\
Polivinilhlorīds 5% glikoze 9 mg/ml
Injekcija   Clindamycin phosphate   
Injekcija   Netilmicin sulfate 3 mg/ml
24°C
24 Stunda
Gaisma 421
\
Polivinilhlorīds 5% glikoze 6 mg/ml
Injekcija   Clindamycin phosphate   
Injekcija   Gentamicin sulfate 5 mg/ml
25°C
24 Stunda
Gaisma 423
Pierādījumu līmenis D
Polivinilhlorīds 5% glikoze 9 mg/ml
Injekcija   Clindamycin phosphate   
Injekcija   Amikacin sulfate 4 mg/ml
25°C
48 Stunda
Nav specifisks 565
Pierādījumu līmenis D
Polivinilhlorīds 5% glikoze 3 & 6 mg/ml
Injekcija   Clindamycin phosphate   
Injekcija   Aztreonam 10 & 20 mg/ml
4°C
7 Diena
Aizsargāt no gaismas 419
Pierādījumu līmenis B+
Šļirce polipropilēna Nātrija hlorīds 0.9% 90 mg/ml
Injekcija   Clindamycin phosphate   
Injekcija   Gentamicin sulfate 30 mg/ml
22°C-23°C
48 Stunda
Gaisma 639
Pierādījumu līmenis D
Šļirce polipropilēna Nātrija hlorīds 0.9% 90 mg/ml
Injekcija   Clindamycin phosphate   
Injekcija   Amikacin sulfate 190 mg/ml
22°C-23°C
48 Stunda
Gaisma 639
Pierādījumu līmenis D

  Mentions Légales