Dernière mise à jour :
25/03/2026
Anticoagulant   Bivalirudin  
injectable
Stabilité des solutions Stabilité en mélange Facteur influençant la stabilité Compatibilités Voie d’administration Bibliographie pdf
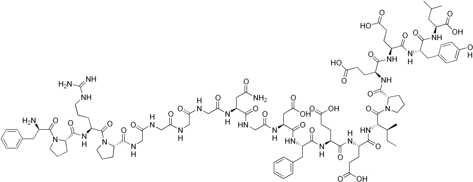
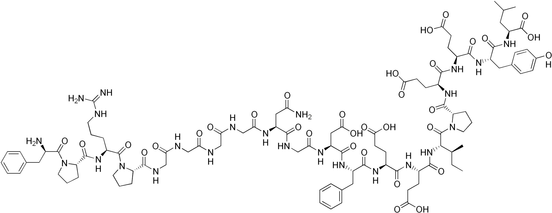
   Structure chimique  

Noms commerciaux   Noms commerciaux     

Les noms commerciaux sont donnés à titre indicatif et la composition en excipients peut être différente selon les pays et selon les laboratoires

Amuprux Argentine
Angiomax Australie, Canada, Chili, Etats Unis d’Amérique, Nouvelle Zélande, Pérou, Vénézuela
Angiox Autriche, Danemark, Espagne, Etats Unis d’Amérique, Finlande, Grande Bretagne, Grèce, Hongrie, Islande, Italie, Norvège, Pays bas, Pologne, Roumanie, Slovénie
Bivalirudin Allemagne, Belgique, Danemark, Finlande, Grande Bretagne, Slovénie, Suède
Bivalirudina Espagne, Italie
Compatibilités   injectable   Compatibilités : Bivalirudin              
Cet écran indique les compatibilités ou incompatibilités avec, dans ce cas, le type d'incompatibilité (précipitation, changement de couleur, modification d'une émulsion, etc.). Les compatibilités présentées ici sont pour la plupart uniquement physiques, la stabilité chimique de chaque molécule étant rarement évaluée. L'évaluation de ces mélanges a été étudiée pour envisager la possibilité d'une administration en site Y au patient. Ces données ne peuvent pas être utilisées pour préparer des mélanges à l'avance dans des poches de perfusion ou des seringues. Ce type d'informations est disponible dans l'écran « Stabilité en mélange ».
Molécule Solvant Bibliographie
Compatible
injectable Bivalirudin 5 mg/ml
injectable Alfentanil hydrochloride 125 µg/ml
Glucose 5% 1713
Précipitation immédiate Incompatible
injectable Bivalirudin 5 mg/ml
injectable Alteplase 1 mg/ml
Glucose 5% 1713
Précipitation immédiate Incompatible
injectable Bivalirudin
injectable Alteplase
3539
Compatible
injectable Bivalirudin 5 mg/ml
injectable Amikacin sulfate 5 mg/ml
Glucose 5% 1713
Compatible
injectable Bivalirudin 5 mg/ml
injectable Aminophylline 2.5 mg/ml
Glucose 5% 1713
Précipitation immédiate Incompatible
injectable Bivalirudin
injectable Amiodarone hydrochloride
3539
Turbidité immédiate Incompatible
injectable Bivalirudin 5 mg/ml
injectable Amiodarone hydrochloride 4 mg/ml
Glucose 5% 1713
Précipitation immédiate Incompatible
injectable Bivalirudin
injectable Amphotericin B
3539
Précipitation immédiate Incompatible
injectable Bivalirudin 5 mg/ml
injectable Amphotericin B 0.6 mg/ml
Glucose 5% 1713
Compatible
injectable Bivalirudin 5 mg/ml
injectable Ampicillin sodium 20 mg/ml
Glucose 5% 1713
Compatible
injectable Bivalirudin 5 mg/ml
injectable Ampicillin sodium - sulbactam sodium 20/10 mg/ml
Glucose 5% 1713
Compatible
injectable Bivalirudin 5 mg/ml
injectable Atropine sulfate 0,4 mg/ml
Glucose 5% 1944
Compatible
injectable Bivalirudin 5 mg/ml
injectable Atropine sulfate 0,4 mg/ml
Chlorure de sodium 0,9% 1944
Compatible
injectable Bivalirudin 5 mg/ml
injectable Azithromycine 2 mg/ml
Glucose 5% 1713
Compatible
injectable Bivalirudin 5 mg/ml
injectable Aztreonam 40 mg/ml
Glucose 5% 1713
Compatible
injectable Bivalirudin 5 mg/ml
injectable Bretylium tosilate 50 mg/ml
Glucose 5% 1713
Compatible
injectable Bivalirudin 5 mg/ml
injectable Bumetanide 0.04 mg/ml
Glucose 5% 1713
Compatible
injectable Bivalirudin 5 mg/ml
injectable Butorphanol tartrate 0.04 mg/ml
Glucose 5% 1713
Compatible
injectable Bivalirudin 5 mg/ml
injectable Calcium gluconate 40 mg/ml
Glucose 5% 1713
Compatible
injectable Bivalirudin 5 mg/ml
injectable Cefazolin sodium 20 mg/ml
Glucose 5% 1713
Compatible
injectable Bivalirudin 5 mg/ml
injectable Cefepime dihydrochloride 20 mg/ml
Glucose 5% 1713
Compatible
injectable Bivalirudin 5 mg/ml
injectable Cefoperazone sodium 40 mg/ml
Glucose 5% 1713
Compatible
injectable Bivalirudin 5 mg/ml
injectable Cefotaxime sodium 20 mg/ml
Glucose 5% 1713
Compatible
injectable Bivalirudin 5 mg/ml
injectable Ceftazidime 40 mg/ml
Glucose 5% 1713
Précipitation immédiate Incompatible
injectable Bivalirudin
injectable Chlorpromazine hydrochloride
3539
Compatible
injectable Bivalirudin
Glucose 5% 3539
Compatible
injectable Bivalirudin 5 mg/ml
injectable Cefoxitin sodium 20 mg/ml
Glucose 5% 1713
Compatible
injectable Bivalirudin 5 mg/ml
injectable Ceftizoxime sodium 20 mg/ml
Glucose 5% 1713
Compatible
injectable Bivalirudin 5 mg/ml
injectable Ceftriaxone disodium 20 mg/ml
Glucose 5% 1713
Compatible
injectable Bivalirudin 5 mg/ml
injectable Cefuroxime sodium 30 mg/ml
Glucose 5% 1713
Précipitation immédiate Incompatible
injectable Bivalirudin 5 mg/ml
injectable Chlorpromazine hydrochloride 2 mg/ml
Glucose 5% 1713
Compatible
injectable Bivalirudin 5 mg/ml
injectable Cimetidine hydrochloride 12 mg/ml
Glucose 5% 1713
Compatible
injectable Bivalirudin 5 mg/ml
injectable Ciprofloxacin lactate 2 mg/ml
Glucose 5% 1713
Compatible
injectable Bivalirudin 5 mg/ml
injectable Clindamycin phosphate 10 mg/ml
Glucose 5% 1713
Compatible
injectable Bivalirudin 5 mg/ml
injectable Co-trimoxazole 4/0.8 mg/ml
Glucose 5% 1713
Compatible
injectable Bivalirudin 5 mg/ml
injectable Dexamethasone sodium phosphate 1 mg/ml
Glucose 5% 1713
Précipitation immédiate Incompatible
injectable Bivalirudin 5 mg/ml
injectable Diazepam 5 mg/ml
Glucose 5% 1713
Précipitation immédiate Incompatible
injectable Bivalirudin
injectable Diazepam
3539
Compatible
injectable Bivalirudin 5 mg/ml
injectable Digoxin 250 µg/ml
Glucose 5% 1713
Compatible
injectable Bivalirudin 5 mg/ml
injectable Diltiazem hydrochloride 5 mg/ml
Chlorure de sodium 0,9% 1944
Compatible
injectable Bivalirudin 5 mg/ml
injectable Diltiazem hydrochloride 5 mg/ml
Glucose 5% 1713
Compatible
injectable Bivalirudin 5 mg/ml
injectable Diltiazem hydrochloride 5 mg/ml
Glucose 5% 1944
Compatible
injectable Bivalirudin 5 mg/ml
injectable Diphenhydramine hydrochloride 2 mg/ml
Glucose 5% 1713
Compatible
injectable Bivalirudin 5 mg/ml
injectable Dobutamine hydrochloride 4 mg/ml
Glucose 5% 1713
Compatible
injectable Bivalirudin
injectable Dobutamine hydrochloride 4 mg/ml
3539
Précipitation immédiate Incompatible
injectable Bivalirudin 5 mg/ml
injectable Dobutamine hydrochloride 12,5 mg/ml
Glucose 5% 1944
Incompatibilité non précisée Incompatible
injectable Bivalirudin
injectable Dobutamine hydrochloride 12.5 mg/ml
3539
Précipitation immédiate Incompatible
injectable Bivalirudin 5 mg/ml
injectable Dobutamine hydrochloride 12,5 mg/ml
Chlorure de sodium 0,9% 1944
Compatible
injectable Bivalirudin 5 mg/ml
injectable Dopamine hydrochloride 80 mg/ml
Chlorure de sodium 0,9% 1944
Compatible
injectable Bivalirudin 5 mg/ml
injectable Dopamine hydrochloride 80 mg/ml
Glucose 5% 1944
Compatible
injectable Bivalirudin 5 mg/ml
injectable Dopamine hydrochloride 3.2 mg/ml
Glucose 5% 1713
Compatible
injectable Bivalirudin 5 mg/ml
injectable Doxycycline hyclate 1 mg/ml
Glucose 5% 1713
Compatible
injectable Bivalirudin 5 mg/ml
injectable Droperidol 2.5 mg/ml
Glucose 5% 1713
Compatible
injectable Bivalirudin 5 mg/ml
injectable Enalaprilate 0.1 mg/ml
Glucose 5% 1713
Compatible
injectable Bivalirudin 5 mg/ml
injectable Ephedrine hydrochloride 5 mg/ml
Glucose 5% 1713
Compatible
injectable Bivalirudin 5 mg/ml
injectable Epinephrine hydrochloride 50 µg/ml
Glucose 5% 1713
Compatible
injectable Bivalirudin 5 mg/ml
injectable Eptifibatide 2 mg/ml
Glucose 5% 1713
Compatible
injectable Bivalirudin 5 mg/ml
injectable Erythromycin lactobionate 5 mg/ml
Glucose 5% 1713
Compatible
injectable Bivalirudin 5 mg/ml
injectable Esmolol hydrochloride 10 mg/ml
Glucose 5% 1713
Compatible
injectable Bivalirudin
injectable Famotidine 2 mg/ml
3539
Incompatibilité non précisée Incompatible
injectable Bivalirudin
injectable Famotidine 10 mg/ml
3539
Compatible
injectable Bivalirudin 5 mg/ml
injectable Famotidine 2 mg/ml
Glucose 5% 1713
Compatible
injectable Bivalirudin 5 mg/ml
injectable Fentanyl citrate 50 µg/ml
Chlorure de sodium 0,9% 1944
Compatible
injectable Bivalirudin 5 mg/ml
injectable Fentanyl citrate 50 µg/ml
Glucose 5% 1944
Compatible
injectable Bivalirudin 5 mg/ml
injectable Fentanyl citrate 50 µg/ml
Glucose 5% 1713
Compatible
injectable Bivalirudin 5 mg/ml
injectable Fluconazole 2 mg/ml
Glucose 5% 1713
Compatible
injectable Bivalirudin 5 mg/ml
injectable Furosemide 3 mg/ml
Glucose 5% 1713
Compatible
injectable Bivalirudin 5 mg/ml
injectable Gentamicin sulfate 5 mg/ml
Glucose 5% 1713
Compatible
injectable Bivalirudin
injectable Haloperidol lactate 0.2 mg/ml
3539
Compatible
injectable Bivalirudin 5 mg/ml
injectable Haloperidol lactate 0.2 mg/ml
Glucose 5% 1713
Incompatibilité non précisée Incompatible
injectable Bivalirudin
injectable Haloperidol lactate 5 mg/ml
3539
Compatible
injectable Bivalirudin 5 mg/ml
injectable Heparin sodium 100 UI/ml
Glucose 5% 1713
Compatible
injectable Bivalirudin 5 mg/ml
injectable Hydrocortisone sodium succinate 50 mg/ml
Chlorure de sodium 0,9% 1944
Compatible
injectable Bivalirudin 5 mg/ml
injectable Hydrocortisone sodium succinate 50 mg/ml
Glucose 5% 1944
Compatible
injectable Bivalirudin 5 mg/ml
injectable Hydrocortisone sodium succinate 1 mg/ml
Glucose 5% 1713
Compatible
injectable Bivalirudin 5 mg/ml
injectable Hydromorphone hydrochloride 0.5 mg/ml
Glucose 5% 1713
Compatible
injectable Bivalirudin 5 mg/ml
injectable Isoprenaline hydrochloride 0.02 mg/ml
Glucose 5% 1713
Incompatibilité non précisée Incompatible
injectable Bivalirudin
injectable Labetalol hydrochloride 5 mg/ml
3539
Compatible
injectable Bivalirudin 5 mg/ml
injectable Labetalol hydrochloride 2 mg/ml
Glucose 5% 1713
Compatible
injectable Bivalirudin
injectable Labetalol hydrochloride 2 mg/ml
3539
Compatible
injectable Bivalirudin 5 mg/ml
injectable Levofloxacine 5 mg/ml
Glucose 5% 1713
Compatible
injectable Bivalirudin 5 mg/ml
injectable Lidocaine hydrochloride 10 mg/ml
Glucose 5% 1713
Incompatibilité non précisée Incompatible
injectable Bivalirudin
injectable Lorazepam 2 mg/ml
3539
Compatible
injectable Bivalirudin
injectable Lorazepam 0.5 mg/ml
3539
Compatible
injectable Bivalirudin 5 mg/ml
injectable Lorazepam 0.5 mg/ml
Glucose 5% 1713
Compatible
injectable Bivalirudin 5 mg/ml
injectable Magnesium sulfate 100 mg/ml
Glucose 5% 1713
Compatible
injectable Bivalirudin 5 mg/ml
injectable Mannitol 150 mg/ml
Glucose 5% 1713
Compatible
injectable Bivalirudin 5 mg/ml
injectable Methylprednisolone sodium succinate 5 mg/ml
Glucose 5% 1713
Compatible
injectable Bivalirudin 5 mg/ml
injectable Metoclopramide hydrochloride 5 mg/ml
Glucose 5% 1713
Compatible
injectable Bivalirudin 5 mg/ml
injectable Metoprolol tartrate 1 mg/ml
Chlorure de sodium 0,9% 1944
Compatible
injectable Bivalirudin 5 mg/ml
injectable Metoprolol tartrate 1 mg/ml
Glucose 5% 1944
Compatible
injectable Bivalirudin 5 mg/ml
injectable Metronidazole 5 mg/ml
Glucose 5% 1713
Compatible
injectable Bivalirudin 5 mg/ml
injectable Midazolam hydrochloride 2 mg/ml
Glucose 5% 1944
Compatible
injectable Bivalirudin 5 mg/ml
injectable Midazolam hydrochloride 1 mg/ml
Glucose 5% 1713
Compatible
injectable Bivalirudin 5 mg/ml
injectable Midazolam hydrochloride 2 mg/ml
Chlorure de sodium 0,9% 1944
Compatible
injectable Bivalirudin 5 mg/ml
injectable Milrinone lactate 0.2 mg/ml
Glucose 5% 1713
Compatible
injectable Bivalirudin 5 mg/ml
injectable Morphine sulfate 10 mg/ml
Chlorure de sodium 0,9% 1944
Compatible
injectable Bivalirudin 5 mg/ml
injectable Morphine sulfate 10 mg/ml
Glucose 5% 1944
Compatible
injectable Bivalirudin 5 mg/ml
injectable Morphine sulfate 1 mg/ml
Glucose 5% 1713
Compatible
injectable Bivalirudin 5 mg/ml
injectable Nalbuphine hydrochloride 10 mg/ml
Glucose 5% 1713
Compatible
injectable Bivalirudin 5 mg/ml
injectable Nitroprusside sodium 2 mg/ml
Glucose 5% 1713
Compatible
injectable Bivalirudin
Chlorure de sodium 0,9% 3539
Compatible
injectable Bivalirudin 5 mg/ml
injectable Nitroglycerin 0.4 mg/ml
Glucose 5% 1713
Compatible
injectable Bivalirudin 5 mg/ml
injectable Norepinephrine bitartrate 0.12 mg/ml
Glucose 5% 1713
Compatible
injectable Bivalirudin 5 mg/ml
injectable Ofloxacin 4 mg/ml
Glucose 5% 1713
Compatible
injectable Bivalirudin 5 mg/ml
injectable Pethidine hydrochloride 10 mg/ml
Glucose 5% 1713
Compatible
injectable Bivalirudin 5 mg/ml
injectable Phenylephrine hydrochloride 10 mg/ml
Glucose 5% 1944
Compatible
injectable Bivalirudin 5 mg/ml
injectable Phenylephrine hydrochloride 1 mg/ml
Glucose 5% 1713
Compatible
injectable Bivalirudin 5 mg/ml
injectable Phenylephrine hydrochloride 10 mg/ml
Chlorure de sodium 0,9% 1944
Compatible
injectable Bivalirudin 5 mg/ml
injectable Piperacillin sodium 40 mg/ml
Glucose 5% 1713
Compatible
injectable Bivalirudin 5 mg/ml
injectable Piperacillin sodium / tazobactam 40/5 mg/ml
Glucose 5% 1713
Compatible
injectable Bivalirudin 5 mg/ml
injectable Potassium chloride 100 mEq/l
Glucose 5% 1713
Compatible
injectable Bivalirudin 5 mg/ml
injectable Procainamide hydrochloride 10 mg/ml
Glucose 5% 1713
Précipitation immédiate Incompatible
injectable Bivalirudin
injectable Prochlorperazine edysilate 25 mg/ml
3539
Précipitation immédiate Incompatible
injectable Bivalirudin 5 mg/ml
injectable Prochlorperazine edysilate 0.5 mg/ml
Glucose 5% 1713
Compatible
injectable Bivalirudin
injectable Promethazine hydrochloride 2 mg/ml
3539
Incompatibilité non précisée Incompatible
injectable Bivalirudin
injectable Promethazine hydrochloride 25 mg/ml
3539
Compatible
injectable Bivalirudin 5 mg/ml
injectable Promethazine hydrochloride 2 mg/ml
Glucose 5% 1713
Compatible
injectable Bivalirudin 5 mg/ml
injectable Ranitidine hydrochloride 2 mg/ml
Glucose 5% 1713
Précipitation immédiate Incompatible
injectable Bivalirudin 5 mg/ml
injectable Reteplase 1 UI/ml
Glucose 5% 1713
Précipitation immédiate Incompatible
injectable Bivalirudin
injectable Reteplase
3539
Compatible
injectable Bivalirudin 5 mg/ml
injectable Sodium bicarbonate 84 mg/ml
Glucose 5% 1713
Précipitation immédiate Incompatible
injectable Bivalirudin 5 mg/ml
injectable Streptokinase 30000 UI/ml
Glucose 5% 1713
Précipitation immédiate Incompatible
injectable Bivalirudin
injectable Streptokinase
3539
Compatible
injectable Bivalirudin 5 mg/ml
injectable Sufentanil citrate 0.05 mg/ml
Glucose 5% 1713
Compatible
injectable Bivalirudin 5 mg/ml
injectable Theophylline 4 mg/ml
Glucose 5% 1713
Compatible
injectable Bivalirudin 5 mg/ml
injectable Thiopental sodium 25 mg/ml
Glucose 5% 1713
Compatible
injectable Bivalirudin 5 mg/ml
injectable Ticarcillin / clavulanic acid 31 mg/ml
Glucose 5% 1713
Compatible
injectable Bivalirudin 5 mg/ml
injectable Tirofiban 50 µg/ml
Glucose 5% 1713
Compatible
injectable Bivalirudin 5 mg/ml
injectable Tobramycin sulfate 5 mg/ml
Glucose 5% 1713
Précipitation immédiate Incompatible
injectable Bivalirudin 5 mg/ml
injectable Vancomycin hydrochloride 10 mg/ml
Glucose 5% 1713
Précipitation immédiate Incompatible
injectable Bivalirudin
injectable Vancomycin hydrochloride
3539
Compatible
injectable Bivalirudin 5 mg/ml
injectable Verapamil hydrochloride 2,5 mg/ml
Chlorure de sodium 0,9% 1944
Compatible
injectable Bivalirudin 5 mg/ml
injectable Verapamil hydrochloride 2,5 mg/ml
Glucose 5% 1944
Compatible
injectable Bivalirudin 5 mg/ml
injectable Verapamil hydrochloride 1.25 mg/ml
Glucose 5% 1713
Compatible
injectable Bivalirudin 5 mg/ml
injectable Warfarin sodium 2 mg/ml
Glucose 5% 1713

  Mentions Légales