最新更新 :
25/03/2026
抗凝血药   Bivalirudin  
注射液
溶液稳定性 混合物稳定性 影响稳定性的因素 兼容性 用药途径 引用文献 PDF
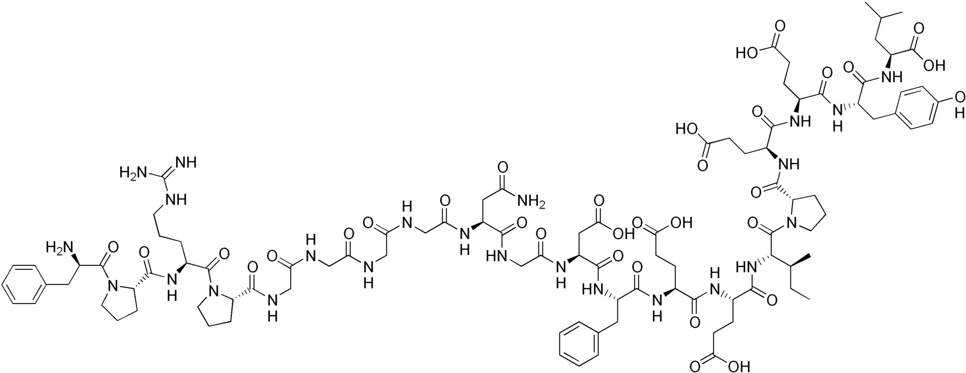
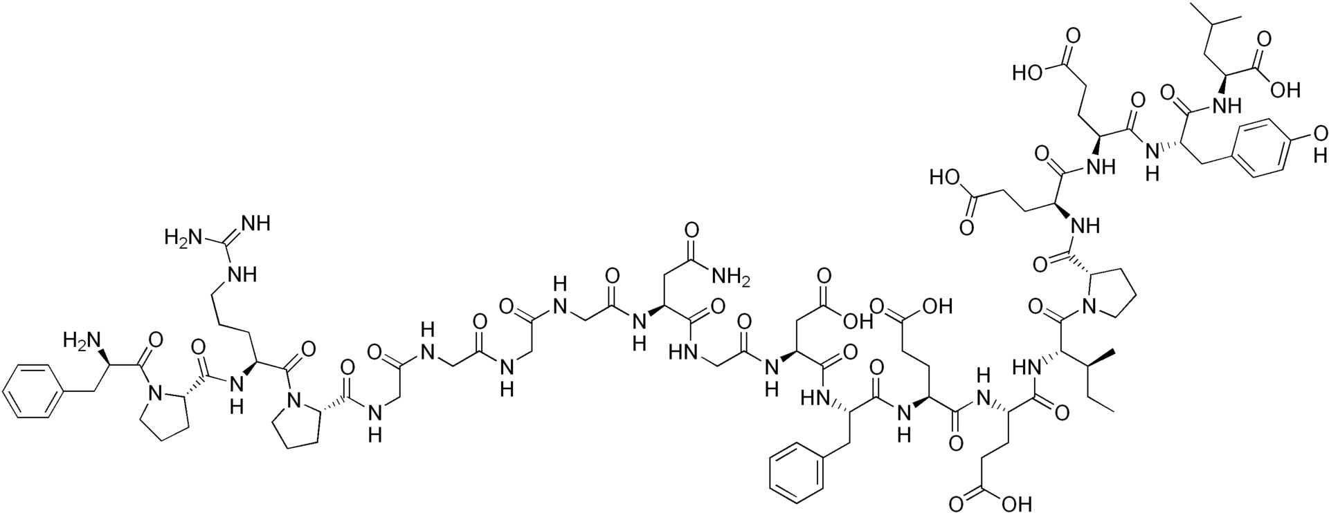
   化学式  

商品名   商品名     

商品名仅供参考, 药品所用的辅料可能依国家或厂商不同有所不同。

Amuprux 阿根廷
Angiomax 加拿大, 委内瑞拉, 新西蘭, 智利, 澳大利亚, 秘鲁, 美国
Angiox 丹麦, 冰岛, 匈牙利, 奥地利, 希腊, 意大利, 挪威, 斯洛文尼亚, 波兰, 罗马尼亚, 美国, 芬兰, 英国, 荷兰, 西班牙
Bivalirudin 丹麦, 德国, 斯洛文尼亚, 比利时, 瑞典, 芬兰, 英国
Bivalirudina 意大利, 西班牙
兼容性   注射液   兼容性 : Bivalirudin              
This screen indicates the compatibilities or incompatibilities with, in this case, the type of incompatibility (precipitation, color change, modification of an emulsion, etc.). The compatibilities shown here are mostly physical only, with the chemical stability of each molecule rarely being assessed. The evaluation of these mixtures was studied to consider the possibility of Y-site administration to the patient. These data cannot be used for making mixtures in advance in bags or syringes. This type of information is available in the screen "Stability in mixture ».
分子 溶剂 引用文献
兼容
注射液 Bivalirudin 5 mg/ml
注射液 Alfentanil hydrochloride 125 µg/ml
葡萄糖5% 1713
立即沉澱 不相容
注射液 Bivalirudin 5 mg/ml
注射液 Alteplase 1 mg/ml
葡萄糖5% 1713
立即沉澱 不相容
注射液 Bivalirudin
注射液 Alteplase
3539
兼容
注射液 Bivalirudin 5 mg/ml
注射液 Amikacin sulfate 5 mg/ml
葡萄糖5% 1713
兼容
注射液 Bivalirudin 5 mg/ml
注射液 Aminophylline 2.5 mg/ml
葡萄糖5% 1713
立即沉澱 不相容
注射液 Bivalirudin
注射液 Amiodarone hydrochloride
3539
立即渾濁 不相容
注射液 Bivalirudin 5 mg/ml
注射液 Amiodarone hydrochloride 4 mg/ml
葡萄糖5% 1713
立即沉澱 不相容
注射液 Bivalirudin
注射液 Amphotericin B
3539
立即沉澱 不相容
注射液 Bivalirudin 5 mg/ml
注射液 Amphotericin B 0.6 mg/ml
葡萄糖5% 1713
兼容
注射液 Bivalirudin 5 mg/ml
注射液 Ampicillin sodium 20 mg/ml
葡萄糖5% 1713
兼容
注射液 Bivalirudin 5 mg/ml
注射液 Ampicillin sodium - sulbactam sodium 20/10 mg/ml
葡萄糖5% 1713
兼容
注射液 Bivalirudin 5 mg/ml
注射液 Atropine sulfate 0,4 mg/ml
葡萄糖5% 1944
兼容
注射液 Bivalirudin 5 mg/ml
注射液 Atropine sulfate 0,4 mg/ml
NaCl 0,9% 1944
兼容
注射液 Bivalirudin 5 mg/ml
注射液 Azithromycine 2 mg/ml
葡萄糖5% 1713
兼容
注射液 Bivalirudin 5 mg/ml
注射液 Aztreonam 40 mg/ml
葡萄糖5% 1713
兼容
注射液 Bivalirudin 5 mg/ml
注射液 Bretylium tosilate 50 mg/ml
葡萄糖5% 1713
兼容
注射液 Bivalirudin 5 mg/ml
注射液 Bumetanide 0.04 mg/ml
葡萄糖5% 1713
兼容
注射液 Bivalirudin 5 mg/ml
注射液 Butorphanol tartrate 0.04 mg/ml
葡萄糖5% 1713
兼容
注射液 Bivalirudin 5 mg/ml
注射液 Calcium gluconate 40 mg/ml
葡萄糖5% 1713
兼容
注射液 Bivalirudin 5 mg/ml
注射液 Cefazolin sodium 20 mg/ml
葡萄糖5% 1713
兼容
注射液 Bivalirudin 5 mg/ml
注射液 Cefepime dihydrochloride 20 mg/ml
葡萄糖5% 1713
兼容
注射液 Bivalirudin 5 mg/ml
注射液 Cefoperazone sodium 40 mg/ml
葡萄糖5% 1713
兼容
注射液 Bivalirudin 5 mg/ml
注射液 Cefotaxime sodium 20 mg/ml
葡萄糖5% 1713
兼容
注射液 Bivalirudin 5 mg/ml
注射液 Ceftazidime 40 mg/ml
葡萄糖5% 1713
立即沉澱 不相容
注射液 Bivalirudin
注射液 Chlorpromazine hydrochloride
3539
兼容
注射液 Bivalirudin
葡萄糖5% 3539
兼容
注射液 Bivalirudin 5 mg/ml
注射液 Cefoxitin sodium 20 mg/ml
葡萄糖5% 1713
兼容
注射液 Bivalirudin 5 mg/ml
注射液 Ceftizoxime sodium 20 mg/ml
葡萄糖5% 1713
兼容
注射液 Bivalirudin 5 mg/ml
注射液 Ceftriaxone disodium 20 mg/ml
葡萄糖5% 1713
兼容
注射液 Bivalirudin 5 mg/ml
注射液 Cefuroxime sodium 30 mg/ml
葡萄糖5% 1713
立即沉澱 不相容
注射液 Bivalirudin 5 mg/ml
注射液 Chlorpromazine hydrochloride 2 mg/ml
葡萄糖5% 1713
兼容
注射液 Bivalirudin 5 mg/ml
注射液 Cimetidine hydrochloride 12 mg/ml
葡萄糖5% 1713
兼容
注射液 Bivalirudin 5 mg/ml
注射液 Ciprofloxacin lactate 2 mg/ml
葡萄糖5% 1713
兼容
注射液 Bivalirudin 5 mg/ml
注射液 Clindamycin phosphate 10 mg/ml
葡萄糖5% 1713
兼容
注射液 Bivalirudin 5 mg/ml
注射液 Co-trimoxazole 4/0.8 mg/ml
葡萄糖5% 1713
兼容
注射液 Bivalirudin 5 mg/ml
注射液 Dexamethasone sodium phosphate 1 mg/ml
葡萄糖5% 1713
立即沉澱 不相容
注射液 Bivalirudin 5 mg/ml
注射液 Diazepam 5 mg/ml
葡萄糖5% 1713
立即沉澱 不相容
注射液 Bivalirudin
注射液 Diazepam
3539
兼容
注射液 Bivalirudin 5 mg/ml
注射液 Digoxin 250 µg/ml
葡萄糖5% 1713
兼容
注射液 Bivalirudin 5 mg/ml
注射液 Diltiazem hydrochloride 5 mg/ml
NaCl 0,9% 1944
兼容
注射液 Bivalirudin 5 mg/ml
注射液 Diltiazem hydrochloride 5 mg/ml
葡萄糖5% 1713
兼容
注射液 Bivalirudin 5 mg/ml
注射液 Diltiazem hydrochloride 5 mg/ml
葡萄糖5% 1944
兼容
注射液 Bivalirudin 5 mg/ml
注射液 Diphenhydramine hydrochloride 2 mg/ml
葡萄糖5% 1713
兼容
注射液 Bivalirudin 5 mg/ml
注射液 Dobutamine hydrochloride 4 mg/ml
葡萄糖5% 1713
兼容
注射液 Bivalirudin
注射液 Dobutamine hydrochloride 4 mg/ml
3539
立即沉澱 不相容
注射液 Bivalirudin 5 mg/ml
注射液 Dobutamine hydrochloride 12,5 mg/ml
葡萄糖5% 1944
未指定的不兼容性 不相容
注射液 Bivalirudin
注射液 Dobutamine hydrochloride 12.5 mg/ml
3539
立即沉澱 不相容
注射液 Bivalirudin 5 mg/ml
注射液 Dobutamine hydrochloride 12,5 mg/ml
NaCl 0,9% 1944
兼容
注射液 Bivalirudin 5 mg/ml
注射液 Dopamine hydrochloride 80 mg/ml
NaCl 0,9% 1944
兼容
注射液 Bivalirudin 5 mg/ml
注射液 Dopamine hydrochloride 80 mg/ml
葡萄糖5% 1944
兼容
注射液 Bivalirudin 5 mg/ml
注射液 Dopamine hydrochloride 3.2 mg/ml
葡萄糖5% 1713
兼容
注射液 Bivalirudin 5 mg/ml
注射液 Doxycycline hyclate 1 mg/ml
葡萄糖5% 1713
兼容
注射液 Bivalirudin 5 mg/ml
注射液 Droperidol 2.5 mg/ml
葡萄糖5% 1713
兼容
注射液 Bivalirudin 5 mg/ml
注射液 Enalaprilate 0.1 mg/ml
葡萄糖5% 1713
兼容
注射液 Bivalirudin 5 mg/ml
注射液 Ephedrine hydrochloride 5 mg/ml
葡萄糖5% 1713
兼容
注射液 Bivalirudin 5 mg/ml
注射液 Epinephrine hydrochloride 50 µg/ml
葡萄糖5% 1713
兼容
注射液 Bivalirudin 5 mg/ml
注射液 Eptifibatide 2 mg/ml
葡萄糖5% 1713
兼容
注射液 Bivalirudin 5 mg/ml
注射液 Erythromycin lactobionate 5 mg/ml
葡萄糖5% 1713
兼容
注射液 Bivalirudin 5 mg/ml
注射液 Esmolol hydrochloride 10 mg/ml
葡萄糖5% 1713
兼容
注射液 Bivalirudin
注射液 Famotidine 2 mg/ml
3539
未指定的不兼容性 不相容
注射液 Bivalirudin
注射液 Famotidine 10 mg/ml
3539
兼容
注射液 Bivalirudin 5 mg/ml
注射液 Famotidine 2 mg/ml
葡萄糖5% 1713
兼容
注射液 Bivalirudin 5 mg/ml
注射液 Fentanyl citrate 50 µg/ml
NaCl 0,9% 1944
兼容
注射液 Bivalirudin 5 mg/ml
注射液 Fentanyl citrate 50 µg/ml
葡萄糖5% 1944
兼容
注射液 Bivalirudin 5 mg/ml
注射液 Fentanyl citrate 50 µg/ml
葡萄糖5% 1713
兼容
注射液 Bivalirudin 5 mg/ml
注射液 Fluconazole 2 mg/ml
葡萄糖5% 1713
兼容
注射液 Bivalirudin 5 mg/ml
注射液 Furosemide 3 mg/ml
葡萄糖5% 1713
兼容
注射液 Bivalirudin 5 mg/ml
注射液 Gentamicin sulfate 5 mg/ml
葡萄糖5% 1713
兼容
注射液 Bivalirudin
注射液 Haloperidol lactate 0.2 mg/ml
3539
兼容
注射液 Bivalirudin 5 mg/ml
注射液 Haloperidol lactate 0.2 mg/ml
葡萄糖5% 1713
未指定的不兼容性 不相容
注射液 Bivalirudin
注射液 Haloperidol lactate 5 mg/ml
3539
兼容
注射液 Bivalirudin 5 mg/ml
注射液 Heparin sodium 100 UI/ml
葡萄糖5% 1713
兼容
注射液 Bivalirudin 5 mg/ml
注射液 Hydrocortisone sodium succinate 50 mg/ml
NaCl 0,9% 1944
兼容
注射液 Bivalirudin 5 mg/ml
注射液 Hydrocortisone sodium succinate 50 mg/ml
葡萄糖5% 1944
兼容
注射液 Bivalirudin 5 mg/ml
注射液 Hydrocortisone sodium succinate 1 mg/ml
葡萄糖5% 1713
兼容
注射液 Bivalirudin 5 mg/ml
注射液 Hydromorphone hydrochloride 0.5 mg/ml
葡萄糖5% 1713
兼容
注射液 Bivalirudin 5 mg/ml
注射液 Isoprenaline hydrochloride 0.02 mg/ml
葡萄糖5% 1713
未指定的不兼容性 不相容
注射液 Bivalirudin
注射液 Labetalol hydrochloride 5 mg/ml
3539
兼容
注射液 Bivalirudin 5 mg/ml
注射液 Labetalol hydrochloride 2 mg/ml
葡萄糖5% 1713
兼容
注射液 Bivalirudin
注射液 Labetalol hydrochloride 2 mg/ml
3539
兼容
注射液 Bivalirudin 5 mg/ml
注射液 Levofloxacine 5 mg/ml
葡萄糖5% 1713
兼容
注射液 Bivalirudin 5 mg/ml
注射液 Lidocaine hydrochloride 10 mg/ml
葡萄糖5% 1713
未指定的不兼容性 不相容
注射液 Bivalirudin
注射液 Lorazepam 2 mg/ml
3539
兼容
注射液 Bivalirudin
注射液 Lorazepam 0.5 mg/ml
3539
兼容
注射液 Bivalirudin 5 mg/ml
注射液 Lorazepam 0.5 mg/ml
葡萄糖5% 1713
兼容
注射液 Bivalirudin 5 mg/ml
注射液 Magnesium sulfate 100 mg/ml
葡萄糖5% 1713
兼容
注射液 Bivalirudin 5 mg/ml
注射液 Mannitol 150 mg/ml
葡萄糖5% 1713
兼容
注射液 Bivalirudin 5 mg/ml
注射液 Methylprednisolone sodium succinate 5 mg/ml
葡萄糖5% 1713
兼容
注射液 Bivalirudin 5 mg/ml
注射液 Metoclopramide hydrochloride 5 mg/ml
葡萄糖5% 1713
兼容
注射液 Bivalirudin 5 mg/ml
注射液 Metoprolol tartrate 1 mg/ml
NaCl 0,9% 1944
兼容
注射液 Bivalirudin 5 mg/ml
注射液 Metoprolol tartrate 1 mg/ml
葡萄糖5% 1944
兼容
注射液 Bivalirudin 5 mg/ml
注射液 Metronidazole 5 mg/ml
葡萄糖5% 1713
兼容
注射液 Bivalirudin 5 mg/ml
注射液 Midazolam hydrochloride 2 mg/ml
葡萄糖5% 1944
兼容
注射液 Bivalirudin 5 mg/ml
注射液 Midazolam hydrochloride 1 mg/ml
葡萄糖5% 1713
兼容
注射液 Bivalirudin 5 mg/ml
注射液 Midazolam hydrochloride 2 mg/ml
NaCl 0,9% 1944
兼容
注射液 Bivalirudin 5 mg/ml
注射液 Milrinone lactate 0.2 mg/ml
葡萄糖5% 1713
兼容
注射液 Bivalirudin 5 mg/ml
注射液 Morphine sulfate 10 mg/ml
NaCl 0,9% 1944
兼容
注射液 Bivalirudin 5 mg/ml
注射液 Morphine sulfate 10 mg/ml
葡萄糖5% 1944
兼容
注射液 Bivalirudin 5 mg/ml
注射液 Morphine sulfate 1 mg/ml
葡萄糖5% 1713
兼容
注射液 Bivalirudin 5 mg/ml
注射液 Nalbuphine hydrochloride 10 mg/ml
葡萄糖5% 1713
兼容
注射液 Bivalirudin 5 mg/ml
注射液 Nitroprusside sodium 2 mg/ml
葡萄糖5% 1713
兼容
注射液 Bivalirudin
NaCl 0,9% 3539
兼容
注射液 Bivalirudin 5 mg/ml
注射液 Nitroglycerin 0.4 mg/ml
葡萄糖5% 1713
兼容
注射液 Bivalirudin 5 mg/ml
注射液 Norepinephrine bitartrate 0.12 mg/ml
葡萄糖5% 1713
兼容
注射液 Bivalirudin 5 mg/ml
注射液 Ofloxacin 4 mg/ml
葡萄糖5% 1713
兼容
注射液 Bivalirudin 5 mg/ml
注射液 Pethidine hydrochloride 10 mg/ml
葡萄糖5% 1713
兼容
注射液 Bivalirudin 5 mg/ml
注射液 Phenylephrine hydrochloride 10 mg/ml
葡萄糖5% 1944
兼容
注射液 Bivalirudin 5 mg/ml
注射液 Phenylephrine hydrochloride 1 mg/ml
葡萄糖5% 1713
兼容
注射液 Bivalirudin 5 mg/ml
注射液 Phenylephrine hydrochloride 10 mg/ml
NaCl 0,9% 1944
兼容
注射液 Bivalirudin 5 mg/ml
注射液 Piperacillin sodium 40 mg/ml
葡萄糖5% 1713
兼容
注射液 Bivalirudin 5 mg/ml
注射液 Piperacillin sodium / tazobactam 40/5 mg/ml
葡萄糖5% 1713
兼容
注射液 Bivalirudin 5 mg/ml
注射液 Potassium chloride 100 mEq/l
葡萄糖5% 1713
兼容
注射液 Bivalirudin 5 mg/ml
注射液 Procainamide hydrochloride 10 mg/ml
葡萄糖5% 1713
立即沉澱 不相容
注射液 Bivalirudin
注射液 Prochlorperazine edysilate 25 mg/ml
3539
立即沉澱 不相容
注射液 Bivalirudin 5 mg/ml
注射液 Prochlorperazine edysilate 0.5 mg/ml
葡萄糖5% 1713
兼容
注射液 Bivalirudin
注射液 Promethazine hydrochloride 2 mg/ml
3539
未指定的不兼容性 不相容
注射液 Bivalirudin
注射液 Promethazine hydrochloride 25 mg/ml
3539
兼容
注射液 Bivalirudin 5 mg/ml
注射液 Promethazine hydrochloride 2 mg/ml
葡萄糖5% 1713
兼容
注射液 Bivalirudin 5 mg/ml
注射液 Ranitidine hydrochloride 2 mg/ml
葡萄糖5% 1713
立即沉澱 不相容
注射液 Bivalirudin 5 mg/ml
注射液 Reteplase 1 UI/ml
葡萄糖5% 1713
立即沉澱 不相容
注射液 Bivalirudin
注射液 Reteplase
3539
兼容
注射液 Bivalirudin 5 mg/ml
注射液 Sodium bicarbonate 84 mg/ml
葡萄糖5% 1713
立即沉澱 不相容
注射液 Bivalirudin 5 mg/ml
注射液 Streptokinase 30000 UI/ml
葡萄糖5% 1713
立即沉澱 不相容
注射液 Bivalirudin
注射液 Streptokinase
3539
兼容
注射液 Bivalirudin 5 mg/ml
注射液 Sufentanil citrate 0.05 mg/ml
葡萄糖5% 1713
兼容
注射液 Bivalirudin 5 mg/ml
注射液 Theophylline 4 mg/ml
葡萄糖5% 1713
兼容
注射液 Bivalirudin 5 mg/ml
注射液 Thiopental sodium 25 mg/ml
葡萄糖5% 1713
兼容
注射液 Bivalirudin 5 mg/ml
注射液 Ticarcillin / clavulanic acid 31 mg/ml
葡萄糖5% 1713
兼容
注射液 Bivalirudin 5 mg/ml
注射液 Tirofiban 50 µg/ml
葡萄糖5% 1713
兼容
注射液 Bivalirudin 5 mg/ml
注射液 Tobramycin sulfate 5 mg/ml
葡萄糖5% 1713
立即沉澱 不相容
注射液 Bivalirudin 5 mg/ml
注射液 Vancomycin hydrochloride 10 mg/ml
葡萄糖5% 1713
立即沉澱 不相容
注射液 Bivalirudin
注射液 Vancomycin hydrochloride
3539
兼容
注射液 Bivalirudin 5 mg/ml
注射液 Verapamil hydrochloride 2,5 mg/ml
NaCl 0,9% 1944
兼容
注射液 Bivalirudin 5 mg/ml
注射液 Verapamil hydrochloride 2,5 mg/ml
葡萄糖5% 1944
兼容
注射液 Bivalirudin 5 mg/ml
注射液 Verapamil hydrochloride 1.25 mg/ml
葡萄糖5% 1713
兼容
注射液 Bivalirudin 5 mg/ml
注射液 Warfarin sodium 2 mg/ml
葡萄糖5% 1713

  Mentions Légales