Последно актуализиране :
25/03/2026
Антикоагулант   Bivalirudin  
Инжекция/Инжекционен
Стабилност на разтвори Стабилност на смеси Фактори, повлияващи стабилността Съвместимост Път на въвеждане Библиография Pdf
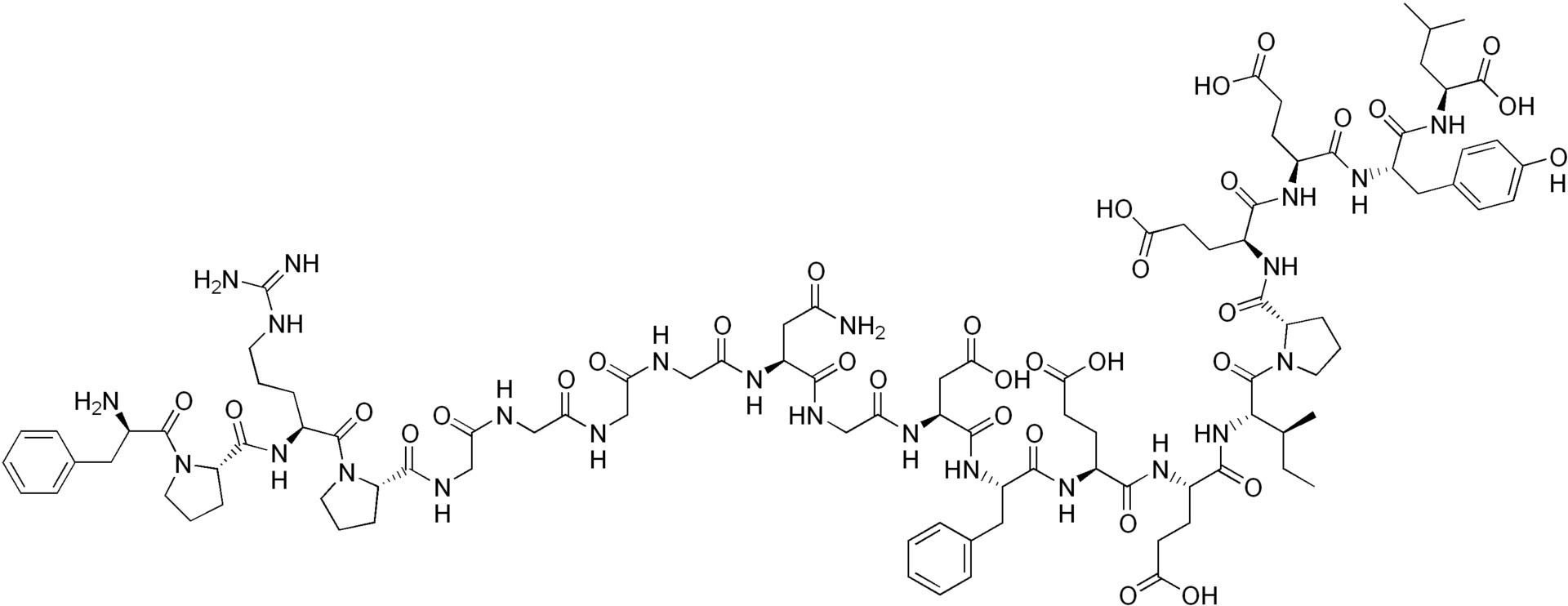
   Химична структура  

Търговско наименование   Търговско наименование     

Търговските имена са примерни и съставът на помощните вещества може да бъде различен в зависимост от държавата и лабораториите

Amuprux Аржентина
Angiomax Австралия, Венецуела, Канада, нова Зеландия, Перу, Съединени Американски щати / САЩ, Чили
Angiox Австрия, Великобритания, Гърция, Дания, Исландия, Испания, Италия, Норвегия, Полша, Румъния, Словения, Съединени Американски щати / САЩ, Унгария, Финландия, Холандия
Bivalirudin Белгия, Великобритания, Германия, Дания, Словения, Финландия, Швеция
Bivalirudina Испания, Италия
Съвместимост   Инжекция/Инжекционен   Съвместимост : Bivalirudin              
Този екран показва съвместимостта или несъвместимостта с, в този случай, вида на несъвместимостта (утаяване, промяна на цвета, модификация на емулсия и др.). Показаните тук съвместимости са предимно физически, като рядко се оценява химическата стабилност на всяка молекула. Оценката на тези смеси беше проучена, за да се разгледа възможността за приложение на Y-място на пациента. Тези данни не могат да се използват за предварително приготвяне на смеси в торбички или спринцовки. Този тип информация е достъпна на екрана "Стабилност в сместа".
Състав / молекула Разтворител Библиография
съвместим
Инжекция/Инжекционен Bivalirudin 5 mg/ml
Инжекция/Инжекционен Alfentanil hydrochloride 125 µg/ml
Glucose 5% 1713
Незабавни валежи Несъвместим
Инжекция/Инжекционен Bivalirudin 5 mg/ml
Инжекция/Инжекционен Alteplase 1 mg/ml
Glucose 5% 1713
Незабавни валежи Несъвместим
Инжекция/Инжекционен Bivalirudin
Инжекция/Инжекционен Alteplase
3539
съвместим
Инжекция/Инжекционен Bivalirudin 5 mg/ml
Инжекция/Инжекционен Amikacin sulfate 5 mg/ml
Glucose 5% 1713
съвместим
Инжекция/Инжекционен Bivalirudin 5 mg/ml
Инжекция/Инжекционен Aminophylline 2.5 mg/ml
Glucose 5% 1713
Незабавни валежи Несъвместим
Инжекция/Инжекционен Bivalirudin
Инжекция/Инжекционен Amiodarone hydrochloride
3539
Незабавна мътност Несъвместим
Инжекция/Инжекционен Bivalirudin 5 mg/ml
Инжекция/Инжекционен Amiodarone hydrochloride 4 mg/ml
Glucose 5% 1713
Незабавни валежи Несъвместим
Инжекция/Инжекционен Bivalirudin
Инжекция/Инжекционен Amphotericin B
3539
Незабавни валежи Несъвместим
Инжекция/Инжекционен Bivalirudin 5 mg/ml
Инжекция/Инжекционен Amphotericin B 0.6 mg/ml
Glucose 5% 1713
съвместим
Инжекция/Инжекционен Bivalirudin 5 mg/ml
Инжекция/Инжекционен Ampicillin sodium 20 mg/ml
Glucose 5% 1713
съвместим
Инжекция/Инжекционен Bivalirudin 5 mg/ml
Инжекция/Инжекционен Ampicillin sodium - sulbactam sodium 20/10 mg/ml
Glucose 5% 1713
съвместим
Инжекция/Инжекционен Bivalirudin 5 mg/ml
Инжекция/Инжекционен Atropine sulfate 0,4 mg/ml
Glucose 5% 1944
съвместим
Инжекция/Инжекционен Bivalirudin 5 mg/ml
Инжекция/Инжекционен Atropine sulfate 0,4 mg/ml
Sodium chloride 0,9% 1944
съвместим
Инжекция/Инжекционен Bivalirudin 5 mg/ml
Инжекция/Инжекционен Azithromycine 2 mg/ml
Glucose 5% 1713
съвместим
Инжекция/Инжекционен Bivalirudin 5 mg/ml
Инжекция/Инжекционен Aztreonam 40 mg/ml
Glucose 5% 1713
съвместим
Инжекция/Инжекционен Bivalirudin 5 mg/ml
Инжекция/Инжекционен Bretylium tosilate 50 mg/ml
Glucose 5% 1713
съвместим
Инжекция/Инжекционен Bivalirudin 5 mg/ml
Инжекция/Инжекционен Bumetanide 0.04 mg/ml
Glucose 5% 1713
съвместим
Инжекция/Инжекционен Bivalirudin 5 mg/ml
Инжекция/Инжекционен Butorphanol tartrate 0.04 mg/ml
Glucose 5% 1713
съвместим
Инжекция/Инжекционен Bivalirudin 5 mg/ml
Инжекция/Инжекционен Calcium gluconate 40 mg/ml
Glucose 5% 1713
съвместим
Инжекция/Инжекционен Bivalirudin 5 mg/ml
Инжекция/Инжекционен Cefazolin sodium 20 mg/ml
Glucose 5% 1713
съвместим
Инжекция/Инжекционен Bivalirudin 5 mg/ml
Инжекция/Инжекционен Cefepime dihydrochloride 20 mg/ml
Glucose 5% 1713
съвместим
Инжекция/Инжекционен Bivalirudin 5 mg/ml
Инжекция/Инжекционен Cefoperazone sodium 40 mg/ml
Glucose 5% 1713
съвместим
Инжекция/Инжекционен Bivalirudin 5 mg/ml
Инжекция/Инжекционен Cefotaxime sodium 20 mg/ml
Glucose 5% 1713
съвместим
Инжекция/Инжекционен Bivalirudin 5 mg/ml
Инжекция/Инжекционен Ceftazidime 40 mg/ml
Glucose 5% 1713
Незабавни валежи Несъвместим
Инжекция/Инжекционен Bivalirudin
Инжекция/Инжекционен Chlorpromazine hydrochloride
3539
съвместим
Инжекция/Инжекционен Bivalirudin
Glucose 5% 3539
съвместим
Инжекция/Инжекционен Bivalirudin 5 mg/ml
Инжекция/Инжекционен Cefoxitin sodium 20 mg/ml
Glucose 5% 1713
съвместим
Инжекция/Инжекционен Bivalirudin 5 mg/ml
Инжекция/Инжекционен Ceftizoxime sodium 20 mg/ml
Glucose 5% 1713
съвместим
Инжекция/Инжекционен Bivalirudin 5 mg/ml
Инжекция/Инжекционен Ceftriaxone disodium 20 mg/ml
Glucose 5% 1713
съвместим
Инжекция/Инжекционен Bivalirudin 5 mg/ml
Инжекция/Инжекционен Cefuroxime sodium 30 mg/ml
Glucose 5% 1713
Незабавни валежи Несъвместим
Инжекция/Инжекционен Bivalirudin 5 mg/ml
Инжекция/Инжекционен Chlorpromazine hydrochloride 2 mg/ml
Glucose 5% 1713
съвместим
Инжекция/Инжекционен Bivalirudin 5 mg/ml
Инжекция/Инжекционен Cimetidine hydrochloride 12 mg/ml
Glucose 5% 1713
съвместим
Инжекция/Инжекционен Bivalirudin 5 mg/ml
Инжекция/Инжекционен Ciprofloxacin lactate 2 mg/ml
Glucose 5% 1713
съвместим
Инжекция/Инжекционен Bivalirudin 5 mg/ml
Инжекция/Инжекционен Clindamycin phosphate 10 mg/ml
Glucose 5% 1713
съвместим
Инжекция/Инжекционен Bivalirudin 5 mg/ml
Инжекция/Инжекционен Co-trimoxazole 4/0.8 mg/ml
Glucose 5% 1713
съвместим
Инжекция/Инжекционен Bivalirudin 5 mg/ml
Инжекция/Инжекционен Dexamethasone sodium phosphate 1 mg/ml
Glucose 5% 1713
Незабавни валежи Несъвместим
Инжекция/Инжекционен Bivalirudin 5 mg/ml
Инжекция/Инжекционен Diazepam 5 mg/ml
Glucose 5% 1713
Незабавни валежи Несъвместим
Инжекция/Инжекционен Bivalirudin
Инжекция/Инжекционен Diazepam
3539
съвместим
Инжекция/Инжекционен Bivalirudin 5 mg/ml
Инжекция/Инжекционен Digoxin 250 µg/ml
Glucose 5% 1713
съвместим
Инжекция/Инжекционен Bivalirudin 5 mg/ml
Инжекция/Инжекционен Diltiazem hydrochloride 5 mg/ml
Sodium chloride 0,9% 1944
съвместим
Инжекция/Инжекционен Bivalirudin 5 mg/ml
Инжекция/Инжекционен Diltiazem hydrochloride 5 mg/ml
Glucose 5% 1713
съвместим
Инжекция/Инжекционен Bivalirudin 5 mg/ml
Инжекция/Инжекционен Diltiazem hydrochloride 5 mg/ml
Glucose 5% 1944
съвместим
Инжекция/Инжекционен Bivalirudin 5 mg/ml
Инжекция/Инжекционен Diphenhydramine hydrochloride 2 mg/ml
Glucose 5% 1713
съвместим
Инжекция/Инжекционен Bivalirudin 5 mg/ml
Инжекция/Инжекционен Dobutamine hydrochloride 4 mg/ml
Glucose 5% 1713
съвместим
Инжекция/Инжекционен Bivalirudin
Инжекция/Инжекционен Dobutamine hydrochloride 4 mg/ml
3539
Незабавни валежи Несъвместим
Инжекция/Инжекционен Bivalirudin 5 mg/ml
Инжекция/Инжекционен Dobutamine hydrochloride 12,5 mg/ml
Glucose 5% 1944
Неопределена несъвместимост Несъвместим
Инжекция/Инжекционен Bivalirudin
Инжекция/Инжекционен Dobutamine hydrochloride 12.5 mg/ml
3539
Незабавни валежи Несъвместим
Инжекция/Инжекционен Bivalirudin 5 mg/ml
Инжекция/Инжекционен Dobutamine hydrochloride 12,5 mg/ml
Sodium chloride 0,9% 1944
съвместим
Инжекция/Инжекционен Bivalirudin 5 mg/ml
Инжекция/Инжекционен Dopamine hydrochloride 80 mg/ml
Sodium chloride 0,9% 1944
съвместим
Инжекция/Инжекционен Bivalirudin 5 mg/ml
Инжекция/Инжекционен Dopamine hydrochloride 80 mg/ml
Glucose 5% 1944
съвместим
Инжекция/Инжекционен Bivalirudin 5 mg/ml
Инжекция/Инжекционен Dopamine hydrochloride 3.2 mg/ml
Glucose 5% 1713
съвместим
Инжекция/Инжекционен Bivalirudin 5 mg/ml
Инжекция/Инжекционен Doxycycline hyclate 1 mg/ml
Glucose 5% 1713
съвместим
Инжекция/Инжекционен Bivalirudin 5 mg/ml
Инжекция/Инжекционен Droperidol 2.5 mg/ml
Glucose 5% 1713
съвместим
Инжекция/Инжекционен Bivalirudin 5 mg/ml
Инжекция/Инжекционен Enalaprilate 0.1 mg/ml
Glucose 5% 1713
съвместим
Инжекция/Инжекционен Bivalirudin 5 mg/ml
Инжекция/Инжекционен Ephedrine hydrochloride 5 mg/ml
Glucose 5% 1713
съвместим
Инжекция/Инжекционен Bivalirudin 5 mg/ml
Инжекция/Инжекционен Epinephrine hydrochloride 50 µg/ml
Glucose 5% 1713
съвместим
Инжекция/Инжекционен Bivalirudin 5 mg/ml
Инжекция/Инжекционен Eptifibatide 2 mg/ml
Glucose 5% 1713
съвместим
Инжекция/Инжекционен Bivalirudin 5 mg/ml
Инжекция/Инжекционен Erythromycin lactobionate 5 mg/ml
Glucose 5% 1713
съвместим
Инжекция/Инжекционен Bivalirudin 5 mg/ml
Инжекция/Инжекционен Esmolol hydrochloride 10 mg/ml
Glucose 5% 1713
съвместим
Инжекция/Инжекционен Bivalirudin
Инжекция/Инжекционен Famotidine 2 mg/ml
3539
Неопределена несъвместимост Несъвместим
Инжекция/Инжекционен Bivalirudin
Инжекция/Инжекционен Famotidine 10 mg/ml
3539
съвместим
Инжекция/Инжекционен Bivalirudin 5 mg/ml
Инжекция/Инжекционен Famotidine 2 mg/ml
Glucose 5% 1713
съвместим
Инжекция/Инжекционен Bivalirudin 5 mg/ml
Инжекция/Инжекционен Fentanyl citrate 50 µg/ml
Sodium chloride 0,9% 1944
съвместим
Инжекция/Инжекционен Bivalirudin 5 mg/ml
Инжекция/Инжекционен Fentanyl citrate 50 µg/ml
Glucose 5% 1944
съвместим
Инжекция/Инжекционен Bivalirudin 5 mg/ml
Инжекция/Инжекционен Fentanyl citrate 50 µg/ml
Glucose 5% 1713
съвместим
Инжекция/Инжекционен Bivalirudin 5 mg/ml
Инжекция/Инжекционен Fluconazole 2 mg/ml
Glucose 5% 1713
съвместим
Инжекция/Инжекционен Bivalirudin 5 mg/ml
Инжекция/Инжекционен Furosemide 3 mg/ml
Glucose 5% 1713
съвместим
Инжекция/Инжекционен Bivalirudin 5 mg/ml
Инжекция/Инжекционен Gentamicin sulfate 5 mg/ml
Glucose 5% 1713
съвместим
Инжекция/Инжекционен Bivalirudin
Инжекция/Инжекционен Haloperidol lactate 0.2 mg/ml
3539
съвместим
Инжекция/Инжекционен Bivalirudin 5 mg/ml
Инжекция/Инжекционен Haloperidol lactate 0.2 mg/ml
Glucose 5% 1713
Неопределена несъвместимост Несъвместим
Инжекция/Инжекционен Bivalirudin
Инжекция/Инжекционен Haloperidol lactate 5 mg/ml
3539
съвместим
Инжекция/Инжекционен Bivalirudin 5 mg/ml
Инжекция/Инжекционен Heparin sodium 100 UI/ml
Glucose 5% 1713
съвместим
Инжекция/Инжекционен Bivalirudin 5 mg/ml
Инжекция/Инжекционен Hydrocortisone sodium succinate 50 mg/ml
Sodium chloride 0,9% 1944
съвместим
Инжекция/Инжекционен Bivalirudin 5 mg/ml
Инжекция/Инжекционен Hydrocortisone sodium succinate 50 mg/ml
Glucose 5% 1944
съвместим
Инжекция/Инжекционен Bivalirudin 5 mg/ml
Инжекция/Инжекционен Hydrocortisone sodium succinate 1 mg/ml
Glucose 5% 1713
съвместим
Инжекция/Инжекционен Bivalirudin 5 mg/ml
Инжекция/Инжекционен Hydromorphone hydrochloride 0.5 mg/ml
Glucose 5% 1713
съвместим
Инжекция/Инжекционен Bivalirudin 5 mg/ml
Инжекция/Инжекционен Isoprenaline hydrochloride 0.02 mg/ml
Glucose 5% 1713
Неопределена несъвместимост Несъвместим
Инжекция/Инжекционен Bivalirudin
Инжекция/Инжекционен Labetalol hydrochloride 5 mg/ml
3539
съвместим
Инжекция/Инжекционен Bivalirudin 5 mg/ml
Инжекция/Инжекционен Labetalol hydrochloride 2 mg/ml
Glucose 5% 1713
съвместим
Инжекция/Инжекционен Bivalirudin
Инжекция/Инжекционен Labetalol hydrochloride 2 mg/ml
3539
съвместим
Инжекция/Инжекционен Bivalirudin 5 mg/ml
Инжекция/Инжекционен Levofloxacine 5 mg/ml
Glucose 5% 1713
съвместим
Инжекция/Инжекционен Bivalirudin 5 mg/ml
Инжекция/Инжекционен Lidocaine hydrochloride 10 mg/ml
Glucose 5% 1713
Неопределена несъвместимост Несъвместим
Инжекция/Инжекционен Bivalirudin
Инжекция/Инжекционен Lorazepam 2 mg/ml
3539
съвместим
Инжекция/Инжекционен Bivalirudin
Инжекция/Инжекционен Lorazepam 0.5 mg/ml
3539
съвместим
Инжекция/Инжекционен Bivalirudin 5 mg/ml
Инжекция/Инжекционен Lorazepam 0.5 mg/ml
Glucose 5% 1713
съвместим
Инжекция/Инжекционен Bivalirudin 5 mg/ml
Инжекция/Инжекционен Magnesium sulfate 100 mg/ml
Glucose 5% 1713
съвместим
Инжекция/Инжекционен Bivalirudin 5 mg/ml
Инжекция/Инжекционен Mannitol 150 mg/ml
Glucose 5% 1713
съвместим
Инжекция/Инжекционен Bivalirudin 5 mg/ml
Инжекция/Инжекционен Methylprednisolone sodium succinate 5 mg/ml
Glucose 5% 1713
съвместим
Инжекция/Инжекционен Bivalirudin 5 mg/ml
Инжекция/Инжекционен Metoclopramide hydrochloride 5 mg/ml
Glucose 5% 1713
съвместим
Инжекция/Инжекционен Bivalirudin 5 mg/ml
Инжекция/Инжекционен Metoprolol tartrate 1 mg/ml
Sodium chloride 0,9% 1944
съвместим
Инжекция/Инжекционен Bivalirudin 5 mg/ml
Инжекция/Инжекционен Metoprolol tartrate 1 mg/ml
Glucose 5% 1944
съвместим
Инжекция/Инжекционен Bivalirudin 5 mg/ml
Инжекция/Инжекционен Metronidazole 5 mg/ml
Glucose 5% 1713
съвместим
Инжекция/Инжекционен Bivalirudin 5 mg/ml
Инжекция/Инжекционен Midazolam hydrochloride 2 mg/ml
Glucose 5% 1944
съвместим
Инжекция/Инжекционен Bivalirudin 5 mg/ml
Инжекция/Инжекционен Midazolam hydrochloride 1 mg/ml
Glucose 5% 1713
съвместим
Инжекция/Инжекционен Bivalirudin 5 mg/ml
Инжекция/Инжекционен Midazolam hydrochloride 2 mg/ml
Sodium chloride 0,9% 1944
съвместим
Инжекция/Инжекционен Bivalirudin 5 mg/ml
Инжекция/Инжекционен Milrinone lactate 0.2 mg/ml
Glucose 5% 1713
съвместим
Инжекция/Инжекционен Bivalirudin 5 mg/ml
Инжекция/Инжекционен Morphine sulfate 10 mg/ml
Sodium chloride 0,9% 1944
съвместим
Инжекция/Инжекционен Bivalirudin 5 mg/ml
Инжекция/Инжекционен Morphine sulfate 10 mg/ml
Glucose 5% 1944
съвместим
Инжекция/Инжекционен Bivalirudin 5 mg/ml
Инжекция/Инжекционен Morphine sulfate 1 mg/ml
Glucose 5% 1713
съвместим
Инжекция/Инжекционен Bivalirudin 5 mg/ml
Инжекция/Инжекционен Nalbuphine hydrochloride 10 mg/ml
Glucose 5% 1713
съвместим
Инжекция/Инжекционен Bivalirudin 5 mg/ml
Инжекция/Инжекционен Nitroprusside sodium 2 mg/ml
Glucose 5% 1713
съвместим
Инжекция/Инжекционен Bivalirudin
Sodium chloride 0,9% 3539
съвместим
Инжекция/Инжекционен Bivalirudin 5 mg/ml
Инжекция/Инжекционен Nitroglycerin 0.4 mg/ml
Glucose 5% 1713
съвместим
Инжекция/Инжекционен Bivalirudin 5 mg/ml
Инжекция/Инжекционен Norepinephrine bitartrate 0.12 mg/ml
Glucose 5% 1713
съвместим
Инжекция/Инжекционен Bivalirudin 5 mg/ml
Инжекция/Инжекционен Ofloxacin 4 mg/ml
Glucose 5% 1713
съвместим
Инжекция/Инжекционен Bivalirudin 5 mg/ml
Инжекция/Инжекционен Pethidine hydrochloride 10 mg/ml
Glucose 5% 1713
съвместим
Инжекция/Инжекционен Bivalirudin 5 mg/ml
Инжекция/Инжекционен Phenylephrine hydrochloride 10 mg/ml
Glucose 5% 1944
съвместим
Инжекция/Инжекционен Bivalirudin 5 mg/ml
Инжекция/Инжекционен Phenylephrine hydrochloride 1 mg/ml
Glucose 5% 1713
съвместим
Инжекция/Инжекционен Bivalirudin 5 mg/ml
Инжекция/Инжекционен Phenylephrine hydrochloride 10 mg/ml
Sodium chloride 0,9% 1944
съвместим
Инжекция/Инжекционен Bivalirudin 5 mg/ml
Инжекция/Инжекционен Piperacillin sodium 40 mg/ml
Glucose 5% 1713
съвместим
Инжекция/Инжекционен Bivalirudin 5 mg/ml
Инжекция/Инжекционен Piperacillin sodium / tazobactam 40/5 mg/ml
Glucose 5% 1713
съвместим
Инжекция/Инжекционен Bivalirudin 5 mg/ml
Инжекция/Инжекционен Potassium chloride 100 mEq/l
Glucose 5% 1713
съвместим
Инжекция/Инжекционен Bivalirudin 5 mg/ml
Инжекция/Инжекционен Procainamide hydrochloride 10 mg/ml
Glucose 5% 1713
Незабавни валежи Несъвместим
Инжекция/Инжекционен Bivalirudin
Инжекция/Инжекционен Prochlorperazine edysilate 25 mg/ml
3539
Незабавни валежи Несъвместим
Инжекция/Инжекционен Bivalirudin 5 mg/ml
Инжекция/Инжекционен Prochlorperazine edysilate 0.5 mg/ml
Glucose 5% 1713
съвместим
Инжекция/Инжекционен Bivalirudin
Инжекция/Инжекционен Promethazine hydrochloride 2 mg/ml
3539
Неопределена несъвместимост Несъвместим
Инжекция/Инжекционен Bivalirudin
Инжекция/Инжекционен Promethazine hydrochloride 25 mg/ml
3539
съвместим
Инжекция/Инжекционен Bivalirudin 5 mg/ml
Инжекция/Инжекционен Promethazine hydrochloride 2 mg/ml
Glucose 5% 1713
съвместим
Инжекция/Инжекционен Bivalirudin 5 mg/ml
Инжекция/Инжекционен Ranitidine hydrochloride 2 mg/ml
Glucose 5% 1713
Незабавни валежи Несъвместим
Инжекция/Инжекционен Bivalirudin 5 mg/ml
Инжекция/Инжекционен Reteplase 1 UI/ml
Glucose 5% 1713
Незабавни валежи Несъвместим
Инжекция/Инжекционен Bivalirudin
Инжекция/Инжекционен Reteplase
3539
съвместим
Инжекция/Инжекционен Bivalirudin 5 mg/ml
Инжекция/Инжекционен Sodium bicarbonate 84 mg/ml
Glucose 5% 1713
Незабавни валежи Несъвместим
Инжекция/Инжекционен Bivalirudin 5 mg/ml
Инжекция/Инжекционен Streptokinase 30000 UI/ml
Glucose 5% 1713
Незабавни валежи Несъвместим
Инжекция/Инжекционен Bivalirudin
Инжекция/Инжекционен Streptokinase
3539
съвместим
Инжекция/Инжекционен Bivalirudin 5 mg/ml
Инжекция/Инжекционен Sufentanil citrate 0.05 mg/ml
Glucose 5% 1713
съвместим
Инжекция/Инжекционен Bivalirudin 5 mg/ml
Инжекция/Инжекционен Theophylline 4 mg/ml
Glucose 5% 1713
съвместим
Инжекция/Инжекционен Bivalirudin 5 mg/ml
Инжекция/Инжекционен Thiopental sodium 25 mg/ml
Glucose 5% 1713
съвместим
Инжекция/Инжекционен Bivalirudin 5 mg/ml
Инжекция/Инжекционен Ticarcillin / clavulanic acid 31 mg/ml
Glucose 5% 1713
съвместим
Инжекция/Инжекционен Bivalirudin 5 mg/ml
Инжекция/Инжекционен Tirofiban 50 µg/ml
Glucose 5% 1713
съвместим
Инжекция/Инжекционен Bivalirudin 5 mg/ml
Инжекция/Инжекционен Tobramycin sulfate 5 mg/ml
Glucose 5% 1713
Незабавни валежи Несъвместим
Инжекция/Инжекционен Bivalirudin 5 mg/ml
Инжекция/Инжекционен Vancomycin hydrochloride 10 mg/ml
Glucose 5% 1713
Незабавни валежи Несъвместим
Инжекция/Инжекционен Bivalirudin
Инжекция/Инжекционен Vancomycin hydrochloride
3539
съвместим
Инжекция/Инжекционен Bivalirudin 5 mg/ml
Инжекция/Инжекционен Verapamil hydrochloride 2,5 mg/ml
Sodium chloride 0,9% 1944
съвместим
Инжекция/Инжекционен Bivalirudin 5 mg/ml
Инжекция/Инжекционен Verapamil hydrochloride 2,5 mg/ml
Glucose 5% 1944
съвместим
Инжекция/Инжекционен Bivalirudin 5 mg/ml
Инжекция/Инжекционен Verapamil hydrochloride 1.25 mg/ml
Glucose 5% 1713
съвместим
Инжекция/Инжекционен Bivalirudin 5 mg/ml
Инжекция/Инжекционен Warfarin sodium 2 mg/ml
Glucose 5% 1713

  Mentions Légales