Ultimele actualizari :
25/03/2026
Anticoagulant   Bivalirudin  
Injectabil
Stabilitatea in solutie Stabilitatea in amestec Factorii care influenteaza stabilitatea Compatibilitate Microunde Bibliografie pdf
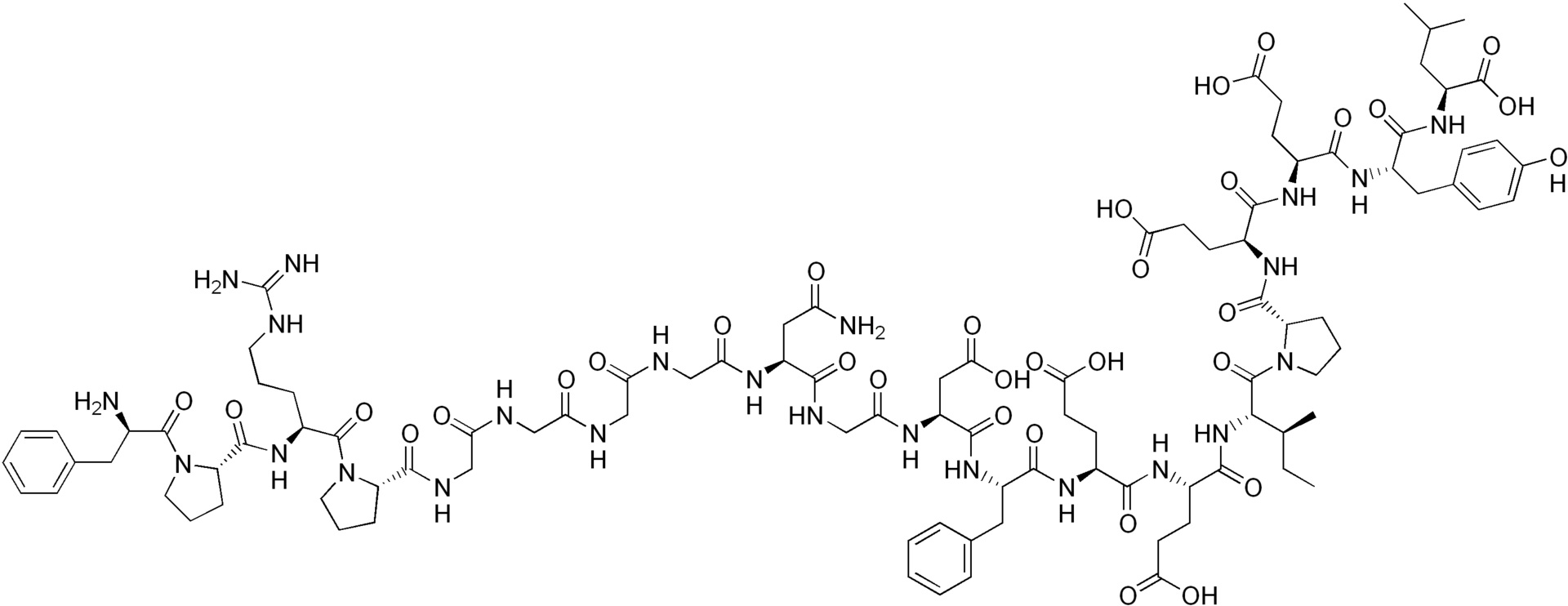
   Formula chimica  

Denumirea comerciala   Denumirea comerciala     

Trade names are indicative and excipients composition can be different depending on the country and manufacturers

Amuprux Argentina
Angiomax Australia, Canada, Chilli, noua Zeelandă, Peru, SUA, Venezuela
Angiox Austria, Danemarca, Finlanda, Grecia, Islanda, Italia, Marea Britanie, Norvegia, Olanda, Polonia, Romania, Slovenia, Spania, SUA, Ungaria
Bivalirudin Belgia, Danemarca, Finlanda, Germania, Marea Britanie, Slovenia, Suedia
Bivalirudina Italia, Spania
Compatibilitate   Injectabil   Compatibilitate : Bivalirudin              
Acest ecran indică compatibilitățile sau incompatibilitățile cu, în acest caz, tipul de incompatibilitate (precipitații, schimbarea culorii, modificarea unei emulsii etc.). Compatibilitățile prezentate aici sunt în mare parte numai fizice, stabilitatea chimică a fiecărei molecule fiind rareori evaluată. Evaluarea acestor amestecuri a fost studiată pentru a lua în considerare posibilitatea administrării site-ului Y la pacient. Aceste date nu pot fi utilizate pentru prepararea în prealabil a amestecurilor în pungi sau seringi. Acest tip de informații este disponibil în ecranul „Stabilitate în amestec».
Molecula (substanta activa) Solvent Bibiografie
Compatibil
Injectabil Bivalirudin 5 mg/ml
Injectabil Alfentanil hydrochloride 125 µg/ml
Glucoza 5% 1713
Precipitații imediate Incompatibil
Injectabil Bivalirudin 5 mg/ml
Injectabil Alteplase 1 mg/ml
Glucoza 5% 1713
Precipitații imediate Incompatibil
Injectabil Bivalirudin
Injectabil Alteplase
3539
Compatibil
Injectabil Bivalirudin 5 mg/ml
Injectabil Amikacin sulfate 5 mg/ml
Glucoza 5% 1713
Compatibil
Injectabil Bivalirudin 5 mg/ml
Injectabil Aminophylline 2.5 mg/ml
Glucoza 5% 1713
Precipitații imediate Incompatibil
Injectabil Bivalirudin
Injectabil Amiodarone hydrochloride
3539
Turbiditate imediată Incompatibil
Injectabil Bivalirudin 5 mg/ml
Injectabil Amiodarone hydrochloride 4 mg/ml
Glucoza 5% 1713
Precipitații imediate Incompatibil
Injectabil Bivalirudin
Injectabil Amphotericin B
3539
Precipitații imediate Incompatibil
Injectabil Bivalirudin 5 mg/ml
Injectabil Amphotericin B 0.6 mg/ml
Glucoza 5% 1713
Compatibil
Injectabil Bivalirudin 5 mg/ml
Injectabil Ampicillin sodium 20 mg/ml
Glucoza 5% 1713
Compatibil
Injectabil Bivalirudin 5 mg/ml
Injectabil Ampicillin sodium - sulbactam sodium 20/10 mg/ml
Glucoza 5% 1713
Compatibil
Injectabil Bivalirudin 5 mg/ml
Injectabil Atropine sulfate 0,4 mg/ml
Glucoza 5% 1944
Compatibil
Injectabil Bivalirudin 5 mg/ml
Injectabil Atropine sulfate 0,4 mg/ml
clorura de sodiu 0,9% 1944
Compatibil
Injectabil Bivalirudin 5 mg/ml
Injectabil Azithromycine 2 mg/ml
Glucoza 5% 1713
Compatibil
Injectabil Bivalirudin 5 mg/ml
Injectabil Aztreonam 40 mg/ml
Glucoza 5% 1713
Compatibil
Injectabil Bivalirudin 5 mg/ml
Injectabil Bretylium tosilate 50 mg/ml
Glucoza 5% 1713
Compatibil
Injectabil Bivalirudin 5 mg/ml
Injectabil Bumetanide 0.04 mg/ml
Glucoza 5% 1713
Compatibil
Injectabil Bivalirudin 5 mg/ml
Injectabil Butorphanol tartrate 0.04 mg/ml
Glucoza 5% 1713
Compatibil
Injectabil Bivalirudin 5 mg/ml
Injectabil Calcium gluconate 40 mg/ml
Glucoza 5% 1713
Compatibil
Injectabil Bivalirudin 5 mg/ml
Injectabil Cefazolin sodium 20 mg/ml
Glucoza 5% 1713
Compatibil
Injectabil Bivalirudin 5 mg/ml
Injectabil Cefepime dihydrochloride 20 mg/ml
Glucoza 5% 1713
Compatibil
Injectabil Bivalirudin 5 mg/ml
Injectabil Cefoperazone sodium 40 mg/ml
Glucoza 5% 1713
Compatibil
Injectabil Bivalirudin 5 mg/ml
Injectabil Cefotaxime sodium 20 mg/ml
Glucoza 5% 1713
Compatibil
Injectabil Bivalirudin 5 mg/ml
Injectabil Ceftazidime 40 mg/ml
Glucoza 5% 1713
Precipitații imediate Incompatibil
Injectabil Bivalirudin
Injectabil Chlorpromazine hydrochloride
3539
Compatibil
Injectabil Bivalirudin
Glucoza 5% 3539
Compatibil
Injectabil Bivalirudin 5 mg/ml
Injectabil Cefoxitin sodium 20 mg/ml
Glucoza 5% 1713
Compatibil
Injectabil Bivalirudin 5 mg/ml
Injectabil Ceftizoxime sodium 20 mg/ml
Glucoza 5% 1713
Compatibil
Injectabil Bivalirudin 5 mg/ml
Injectabil Ceftriaxone disodium 20 mg/ml
Glucoza 5% 1713
Compatibil
Injectabil Bivalirudin 5 mg/ml
Injectabil Cefuroxime sodium 30 mg/ml
Glucoza 5% 1713
Precipitații imediate Incompatibil
Injectabil Bivalirudin 5 mg/ml
Injectabil Chlorpromazine hydrochloride 2 mg/ml
Glucoza 5% 1713
Compatibil
Injectabil Bivalirudin 5 mg/ml
Injectabil Cimetidine hydrochloride 12 mg/ml
Glucoza 5% 1713
Compatibil
Injectabil Bivalirudin 5 mg/ml
Injectabil Ciprofloxacin lactate 2 mg/ml
Glucoza 5% 1713
Compatibil
Injectabil Bivalirudin 5 mg/ml
Injectabil Clindamycin phosphate 10 mg/ml
Glucoza 5% 1713
Compatibil
Injectabil Bivalirudin 5 mg/ml
Injectabil Co-trimoxazole 4/0.8 mg/ml
Glucoza 5% 1713
Compatibil
Injectabil Bivalirudin 5 mg/ml
Injectabil Dexamethasone sodium phosphate 1 mg/ml
Glucoza 5% 1713
Precipitații imediate Incompatibil
Injectabil Bivalirudin 5 mg/ml
Injectabil Diazepam 5 mg/ml
Glucoza 5% 1713
Precipitații imediate Incompatibil
Injectabil Bivalirudin
Injectabil Diazepam
3539
Compatibil
Injectabil Bivalirudin 5 mg/ml
Injectabil Digoxin 250 µg/ml
Glucoza 5% 1713
Compatibil
Injectabil Bivalirudin 5 mg/ml
Injectabil Diltiazem hydrochloride 5 mg/ml
clorura de sodiu 0,9% 1944
Compatibil
Injectabil Bivalirudin 5 mg/ml
Injectabil Diltiazem hydrochloride 5 mg/ml
Glucoza 5% 1713
Compatibil
Injectabil Bivalirudin 5 mg/ml
Injectabil Diltiazem hydrochloride 5 mg/ml
Glucoza 5% 1944
Compatibil
Injectabil Bivalirudin 5 mg/ml
Injectabil Diphenhydramine hydrochloride 2 mg/ml
Glucoza 5% 1713
Compatibil
Injectabil Bivalirudin 5 mg/ml
Injectabil Dobutamine hydrochloride 4 mg/ml
Glucoza 5% 1713
Compatibil
Injectabil Bivalirudin
Injectabil Dobutamine hydrochloride 4 mg/ml
3539
Precipitații imediate Incompatibil
Injectabil Bivalirudin 5 mg/ml
Injectabil Dobutamine hydrochloride 12,5 mg/ml
Glucoza 5% 1944
Incompatibilitate nespecificată Incompatibil
Injectabil Bivalirudin
Injectabil Dobutamine hydrochloride 12.5 mg/ml
3539
Precipitații imediate Incompatibil
Injectabil Bivalirudin 5 mg/ml
Injectabil Dobutamine hydrochloride 12,5 mg/ml
clorura de sodiu 0,9% 1944
Compatibil
Injectabil Bivalirudin 5 mg/ml
Injectabil Dopamine hydrochloride 80 mg/ml
clorura de sodiu 0,9% 1944
Compatibil
Injectabil Bivalirudin 5 mg/ml
Injectabil Dopamine hydrochloride 80 mg/ml
Glucoza 5% 1944
Compatibil
Injectabil Bivalirudin 5 mg/ml
Injectabil Dopamine hydrochloride 3.2 mg/ml
Glucoza 5% 1713
Compatibil
Injectabil Bivalirudin 5 mg/ml
Injectabil Doxycycline hyclate 1 mg/ml
Glucoza 5% 1713
Compatibil
Injectabil Bivalirudin 5 mg/ml
Injectabil Droperidol 2.5 mg/ml
Glucoza 5% 1713
Compatibil
Injectabil Bivalirudin 5 mg/ml
Injectabil Enalaprilate 0.1 mg/ml
Glucoza 5% 1713
Compatibil
Injectabil Bivalirudin 5 mg/ml
Injectabil Ephedrine hydrochloride 5 mg/ml
Glucoza 5% 1713
Compatibil
Injectabil Bivalirudin 5 mg/ml
Injectabil Epinephrine hydrochloride 50 µg/ml
Glucoza 5% 1713
Compatibil
Injectabil Bivalirudin 5 mg/ml
Injectabil Eptifibatide 2 mg/ml
Glucoza 5% 1713
Compatibil
Injectabil Bivalirudin 5 mg/ml
Injectabil Erythromycin lactobionate 5 mg/ml
Glucoza 5% 1713
Compatibil
Injectabil Bivalirudin 5 mg/ml
Injectabil Esmolol hydrochloride 10 mg/ml
Glucoza 5% 1713
Compatibil
Injectabil Bivalirudin
Injectabil Famotidine 2 mg/ml
3539
Incompatibilitate nespecificată Incompatibil
Injectabil Bivalirudin
Injectabil Famotidine 10 mg/ml
3539
Compatibil
Injectabil Bivalirudin 5 mg/ml
Injectabil Famotidine 2 mg/ml
Glucoza 5% 1713
Compatibil
Injectabil Bivalirudin 5 mg/ml
Injectabil Fentanyl citrate 50 µg/ml
clorura de sodiu 0,9% 1944
Compatibil
Injectabil Bivalirudin 5 mg/ml
Injectabil Fentanyl citrate 50 µg/ml
Glucoza 5% 1944
Compatibil
Injectabil Bivalirudin 5 mg/ml
Injectabil Fentanyl citrate 50 µg/ml
Glucoza 5% 1713
Compatibil
Injectabil Bivalirudin 5 mg/ml
Injectabil Fluconazole 2 mg/ml
Glucoza 5% 1713
Compatibil
Injectabil Bivalirudin 5 mg/ml
Injectabil Furosemide 3 mg/ml
Glucoza 5% 1713
Compatibil
Injectabil Bivalirudin 5 mg/ml
Injectabil Gentamicin sulfate 5 mg/ml
Glucoza 5% 1713
Compatibil
Injectabil Bivalirudin
Injectabil Haloperidol lactate 0.2 mg/ml
3539
Compatibil
Injectabil Bivalirudin 5 mg/ml
Injectabil Haloperidol lactate 0.2 mg/ml
Glucoza 5% 1713
Incompatibilitate nespecificată Incompatibil
Injectabil Bivalirudin
Injectabil Haloperidol lactate 5 mg/ml
3539
Compatibil
Injectabil Bivalirudin 5 mg/ml
Injectabil Heparin sodium 100 UI/ml
Glucoza 5% 1713
Compatibil
Injectabil Bivalirudin 5 mg/ml
Injectabil Hydrocortisone sodium succinate 50 mg/ml
clorura de sodiu 0,9% 1944
Compatibil
Injectabil Bivalirudin 5 mg/ml
Injectabil Hydrocortisone sodium succinate 50 mg/ml
Glucoza 5% 1944
Compatibil
Injectabil Bivalirudin 5 mg/ml
Injectabil Hydrocortisone sodium succinate 1 mg/ml
Glucoza 5% 1713
Compatibil
Injectabil Bivalirudin 5 mg/ml
Injectabil Hydromorphone hydrochloride 0.5 mg/ml
Glucoza 5% 1713
Compatibil
Injectabil Bivalirudin 5 mg/ml
Injectabil Isoprenaline hydrochloride 0.02 mg/ml
Glucoza 5% 1713
Incompatibilitate nespecificată Incompatibil
Injectabil Bivalirudin
Injectabil Labetalol hydrochloride 5 mg/ml
3539
Compatibil
Injectabil Bivalirudin 5 mg/ml
Injectabil Labetalol hydrochloride 2 mg/ml
Glucoza 5% 1713
Compatibil
Injectabil Bivalirudin
Injectabil Labetalol hydrochloride 2 mg/ml
3539
Compatibil
Injectabil Bivalirudin 5 mg/ml
Injectabil Levofloxacine 5 mg/ml
Glucoza 5% 1713
Compatibil
Injectabil Bivalirudin 5 mg/ml
Injectabil Lidocaine hydrochloride 10 mg/ml
Glucoza 5% 1713
Incompatibilitate nespecificată Incompatibil
Injectabil Bivalirudin
Injectabil Lorazepam 2 mg/ml
3539
Compatibil
Injectabil Bivalirudin
Injectabil Lorazepam 0.5 mg/ml
3539
Compatibil
Injectabil Bivalirudin 5 mg/ml
Injectabil Lorazepam 0.5 mg/ml
Glucoza 5% 1713
Compatibil
Injectabil Bivalirudin 5 mg/ml
Injectabil Magnesium sulfate 100 mg/ml
Glucoza 5% 1713
Compatibil
Injectabil Bivalirudin 5 mg/ml
Injectabil Mannitol 150 mg/ml
Glucoza 5% 1713
Compatibil
Injectabil Bivalirudin 5 mg/ml
Injectabil Methylprednisolone sodium succinate 5 mg/ml
Glucoza 5% 1713
Compatibil
Injectabil Bivalirudin 5 mg/ml
Injectabil Metoclopramide hydrochloride 5 mg/ml
Glucoza 5% 1713
Compatibil
Injectabil Bivalirudin 5 mg/ml
Injectabil Metoprolol tartrate 1 mg/ml
clorura de sodiu 0,9% 1944
Compatibil
Injectabil Bivalirudin 5 mg/ml
Injectabil Metoprolol tartrate 1 mg/ml
Glucoza 5% 1944
Compatibil
Injectabil Bivalirudin 5 mg/ml
Injectabil Metronidazole 5 mg/ml
Glucoza 5% 1713
Compatibil
Injectabil Bivalirudin 5 mg/ml
Injectabil Midazolam hydrochloride 2 mg/ml
Glucoza 5% 1944
Compatibil
Injectabil Bivalirudin 5 mg/ml
Injectabil Midazolam hydrochloride 1 mg/ml
Glucoza 5% 1713
Compatibil
Injectabil Bivalirudin 5 mg/ml
Injectabil Midazolam hydrochloride 2 mg/ml
clorura de sodiu 0,9% 1944
Compatibil
Injectabil Bivalirudin 5 mg/ml
Injectabil Milrinone lactate 0.2 mg/ml
Glucoza 5% 1713
Compatibil
Injectabil Bivalirudin 5 mg/ml
Injectabil Morphine sulfate 10 mg/ml
clorura de sodiu 0,9% 1944
Compatibil
Injectabil Bivalirudin 5 mg/ml
Injectabil Morphine sulfate 10 mg/ml
Glucoza 5% 1944
Compatibil
Injectabil Bivalirudin 5 mg/ml
Injectabil Morphine sulfate 1 mg/ml
Glucoza 5% 1713
Compatibil
Injectabil Bivalirudin 5 mg/ml
Injectabil Nalbuphine hydrochloride 10 mg/ml
Glucoza 5% 1713
Compatibil
Injectabil Bivalirudin 5 mg/ml
Injectabil Nitroprusside sodium 2 mg/ml
Glucoza 5% 1713
Compatibil
Injectabil Bivalirudin
clorura de sodiu 0,9% 3539
Compatibil
Injectabil Bivalirudin 5 mg/ml
Injectabil Nitroglycerin 0.4 mg/ml
Glucoza 5% 1713
Compatibil
Injectabil Bivalirudin 5 mg/ml
Injectabil Norepinephrine bitartrate 0.12 mg/ml
Glucoza 5% 1713
Compatibil
Injectabil Bivalirudin 5 mg/ml
Injectabil Ofloxacin 4 mg/ml
Glucoza 5% 1713
Compatibil
Injectabil Bivalirudin 5 mg/ml
Injectabil Pethidine hydrochloride 10 mg/ml
Glucoza 5% 1713
Compatibil
Injectabil Bivalirudin 5 mg/ml
Injectabil Phenylephrine hydrochloride 10 mg/ml
Glucoza 5% 1944
Compatibil
Injectabil Bivalirudin 5 mg/ml
Injectabil Phenylephrine hydrochloride 1 mg/ml
Glucoza 5% 1713
Compatibil
Injectabil Bivalirudin 5 mg/ml
Injectabil Phenylephrine hydrochloride 10 mg/ml
clorura de sodiu 0,9% 1944
Compatibil
Injectabil Bivalirudin 5 mg/ml
Injectabil Piperacillin sodium 40 mg/ml
Glucoza 5% 1713
Compatibil
Injectabil Bivalirudin 5 mg/ml
Injectabil Piperacillin sodium / tazobactam 40/5 mg/ml
Glucoza 5% 1713
Compatibil
Injectabil Bivalirudin 5 mg/ml
Injectabil Potassium chloride 100 mEq/l
Glucoza 5% 1713
Compatibil
Injectabil Bivalirudin 5 mg/ml
Injectabil Procainamide hydrochloride 10 mg/ml
Glucoza 5% 1713
Precipitații imediate Incompatibil
Injectabil Bivalirudin
Injectabil Prochlorperazine edysilate 25 mg/ml
3539
Precipitații imediate Incompatibil
Injectabil Bivalirudin 5 mg/ml
Injectabil Prochlorperazine edysilate 0.5 mg/ml
Glucoza 5% 1713
Compatibil
Injectabil Bivalirudin
Injectabil Promethazine hydrochloride 2 mg/ml
3539
Incompatibilitate nespecificată Incompatibil
Injectabil Bivalirudin
Injectabil Promethazine hydrochloride 25 mg/ml
3539
Compatibil
Injectabil Bivalirudin 5 mg/ml
Injectabil Promethazine hydrochloride 2 mg/ml
Glucoza 5% 1713
Compatibil
Injectabil Bivalirudin 5 mg/ml
Injectabil Ranitidine hydrochloride 2 mg/ml
Glucoza 5% 1713
Precipitații imediate Incompatibil
Injectabil Bivalirudin 5 mg/ml
Injectabil Reteplase 1 UI/ml
Glucoza 5% 1713
Precipitații imediate Incompatibil
Injectabil Bivalirudin
Injectabil Reteplase
3539
Compatibil
Injectabil Bivalirudin 5 mg/ml
Injectabil Sodium bicarbonate 84 mg/ml
Glucoza 5% 1713
Precipitații imediate Incompatibil
Injectabil Bivalirudin 5 mg/ml
Injectabil Streptokinase 30000 UI/ml
Glucoza 5% 1713
Precipitații imediate Incompatibil
Injectabil Bivalirudin
Injectabil Streptokinase
3539
Compatibil
Injectabil Bivalirudin 5 mg/ml
Injectabil Sufentanil citrate 0.05 mg/ml
Glucoza 5% 1713
Compatibil
Injectabil Bivalirudin 5 mg/ml
Injectabil Theophylline 4 mg/ml
Glucoza 5% 1713
Compatibil
Injectabil Bivalirudin 5 mg/ml
Injectabil Thiopental sodium 25 mg/ml
Glucoza 5% 1713
Compatibil
Injectabil Bivalirudin 5 mg/ml
Injectabil Ticarcillin / clavulanic acid 31 mg/ml
Glucoza 5% 1713
Compatibil
Injectabil Bivalirudin 5 mg/ml
Injectabil Tirofiban 50 µg/ml
Glucoza 5% 1713
Compatibil
Injectabil Bivalirudin 5 mg/ml
Injectabil Tobramycin sulfate 5 mg/ml
Glucoza 5% 1713
Precipitații imediate Incompatibil
Injectabil Bivalirudin 5 mg/ml
Injectabil Vancomycin hydrochloride 10 mg/ml
Glucoza 5% 1713
Precipitații imediate Incompatibil
Injectabil Bivalirudin
Injectabil Vancomycin hydrochloride
3539
Compatibil
Injectabil Bivalirudin 5 mg/ml
Injectabil Verapamil hydrochloride 2,5 mg/ml
clorura de sodiu 0,9% 1944
Compatibil
Injectabil Bivalirudin 5 mg/ml
Injectabil Verapamil hydrochloride 2,5 mg/ml
Glucoza 5% 1944
Compatibil
Injectabil Bivalirudin 5 mg/ml
Injectabil Verapamil hydrochloride 1.25 mg/ml
Glucoza 5% 1713
Compatibil
Injectabil Bivalirudin 5 mg/ml
Injectabil Warfarin sodium 2 mg/ml
Glucoza 5% 1713

  Mentions Légales