Cập nhật lần cuối :
25/03/2026
Thuốc chống đông   Bivalirudin  
Dạng tiêm
Tính ổn định của các dung dịch Độ ổn định khi trộn lẫn Những yếu tố ảnh hưởng đến độ ổn định Khả năng tương thích Đường dùng Tài liệu tham khảo Pdf
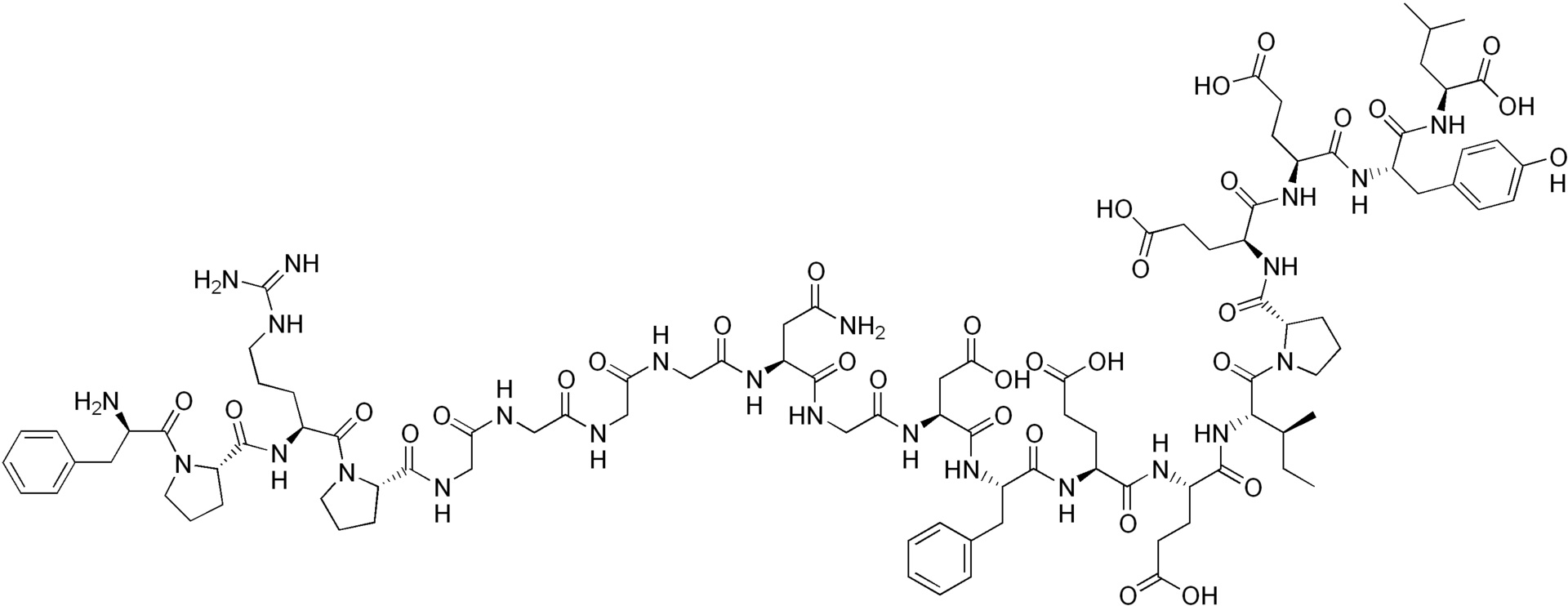
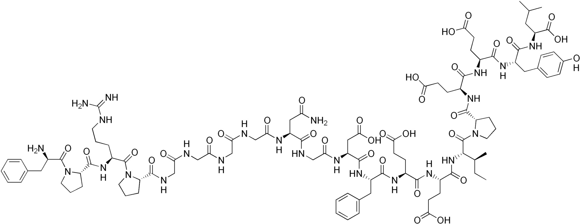
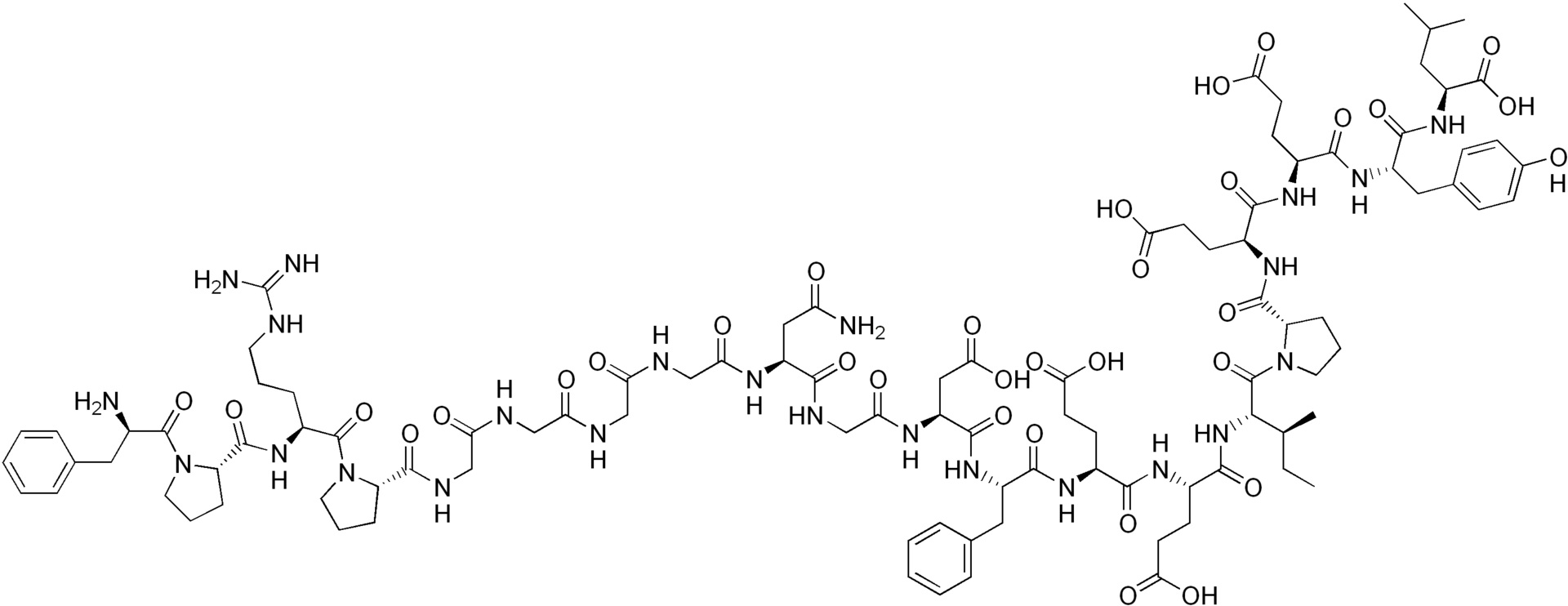
   Cấu trúc hóa học  

Tên thương mại   Tên thương mại     

Các tên thương mại được cung cấp và thành phần tá dược có thể khác nhau giữa các quốc gia và các hãng dược

Amuprux Argentina
Angiomax Canada, Chile, Hoa Kỳ, new zealand, Peru, Úc, Venezuela
Angiox Anh, Áo, Ba Lan, Hà Lan, Hoa Kỳ, Hungary, Hy Lạp, Iceland, Na Uy, Phần Lan, Romania, Slovenia, Tây Ban Nha, Ý, Đan Mạch
Bivalirudin Anh, Bỉ, Phần Lan, Slovenia, Thụy Điển, Đan Mạch, Đức
Bivalirudina Tây Ban Nha, Ý
Khả năng tương thích   Dạng tiêm   Khả năng tương thích : Bivalirudin              
Màn hình này cho biết khả năng tương thích hoặc không tương thích, trong trường hợp này là loại không tương thích (kết tủa, thay đổi màu sắc, sửa đổi nhũ tương, v.v.). Sự tương hợp được chỉ ra ở đây chủ yếu chỉ là vật lý, với độ ổn định hóa học của mỗi phân tử hiếm khi được đánh giá. Việc đánh giá các hỗn hợp này được nghiên cứu để xem xét khả năng sử dụng vị trí Y cho bệnh nhân. Những dữ liệu này không thể được sử dụng để tạo hỗn hợp trước trong túi hoặc ống tiêm. Loại thông tin này có sẵn trong màn hình "Độ ổn định trong hỗn hợp».
Phân tử Dung môi Mục lục
Tương thích
Dạng tiêm Bivalirudin 5 mg/ml
Dạng tiêm Alfentanil hydrochloride 125 µg/ml
Glucose 5% 1713
Lượng mưa ngay lập tức Không tương thích
Dạng tiêm Bivalirudin 5 mg/ml
Dạng tiêm Alteplase 1 mg/ml
Glucose 5% 1713
Lượng mưa ngay lập tức Không tương thích
Dạng tiêm Bivalirudin
Dạng tiêm Alteplase
3539
Tương thích
Dạng tiêm Bivalirudin 5 mg/ml
Dạng tiêm Amikacin sulfate 5 mg/ml
Glucose 5% 1713
Tương thích
Dạng tiêm Bivalirudin 5 mg/ml
Dạng tiêm Aminophylline 2.5 mg/ml
Glucose 5% 1713
Lượng mưa ngay lập tức Không tương thích
Dạng tiêm Bivalirudin
Dạng tiêm Amiodarone hydrochloride
3539
Độ đục ngay lập tức Không tương thích
Dạng tiêm Bivalirudin 5 mg/ml
Dạng tiêm Amiodarone hydrochloride 4 mg/ml
Glucose 5% 1713
Lượng mưa ngay lập tức Không tương thích
Dạng tiêm Bivalirudin
Dạng tiêm Amphotericin B
3539
Lượng mưa ngay lập tức Không tương thích
Dạng tiêm Bivalirudin 5 mg/ml
Dạng tiêm Amphotericin B 0.6 mg/ml
Glucose 5% 1713
Tương thích
Dạng tiêm Bivalirudin 5 mg/ml
Dạng tiêm Ampicillin sodium 20 mg/ml
Glucose 5% 1713
Tương thích
Dạng tiêm Bivalirudin 5 mg/ml
Dạng tiêm Ampicillin sodium - sulbactam sodium 20/10 mg/ml
Glucose 5% 1713
Tương thích
Dạng tiêm Bivalirudin 5 mg/ml
Dạng tiêm Atropine sulfate 0,4 mg/ml
Glucose 5% 1944
Tương thích
Dạng tiêm Bivalirudin 5 mg/ml
Dạng tiêm Atropine sulfate 0,4 mg/ml
NaCl 0,9% 1944
Tương thích
Dạng tiêm Bivalirudin 5 mg/ml
Dạng tiêm Azithromycine 2 mg/ml
Glucose 5% 1713
Tương thích
Dạng tiêm Bivalirudin 5 mg/ml
Dạng tiêm Aztreonam 40 mg/ml
Glucose 5% 1713
Tương thích
Dạng tiêm Bivalirudin 5 mg/ml
Dạng tiêm Bretylium tosilate 50 mg/ml
Glucose 5% 1713
Tương thích
Dạng tiêm Bivalirudin 5 mg/ml
Dạng tiêm Bumetanide 0.04 mg/ml
Glucose 5% 1713
Tương thích
Dạng tiêm Bivalirudin 5 mg/ml
Dạng tiêm Butorphanol tartrate 0.04 mg/ml
Glucose 5% 1713
Tương thích
Dạng tiêm Bivalirudin 5 mg/ml
Dạng tiêm Calcium gluconate 40 mg/ml
Glucose 5% 1713
Tương thích
Dạng tiêm Bivalirudin 5 mg/ml
Dạng tiêm Cefazolin sodium 20 mg/ml
Glucose 5% 1713
Tương thích
Dạng tiêm Bivalirudin 5 mg/ml
Dạng tiêm Cefepime dihydrochloride 20 mg/ml
Glucose 5% 1713
Tương thích
Dạng tiêm Bivalirudin 5 mg/ml
Dạng tiêm Cefoperazone sodium 40 mg/ml
Glucose 5% 1713
Tương thích
Dạng tiêm Bivalirudin 5 mg/ml
Dạng tiêm Cefotaxime sodium 20 mg/ml
Glucose 5% 1713
Tương thích
Dạng tiêm Bivalirudin 5 mg/ml
Dạng tiêm Ceftazidime 40 mg/ml
Glucose 5% 1713
Lượng mưa ngay lập tức Không tương thích
Dạng tiêm Bivalirudin
Dạng tiêm Chlorpromazine hydrochloride
3539
Tương thích
Dạng tiêm Bivalirudin
Glucose 5% 3539
Tương thích
Dạng tiêm Bivalirudin 5 mg/ml
Dạng tiêm Cefoxitin sodium 20 mg/ml
Glucose 5% 1713
Tương thích
Dạng tiêm Bivalirudin 5 mg/ml
Dạng tiêm Ceftizoxime sodium 20 mg/ml
Glucose 5% 1713
Tương thích
Dạng tiêm Bivalirudin 5 mg/ml
Dạng tiêm Ceftriaxone disodium 20 mg/ml
Glucose 5% 1713
Tương thích
Dạng tiêm Bivalirudin 5 mg/ml
Dạng tiêm Cefuroxime sodium 30 mg/ml
Glucose 5% 1713
Lượng mưa ngay lập tức Không tương thích
Dạng tiêm Bivalirudin 5 mg/ml
Dạng tiêm Chlorpromazine hydrochloride 2 mg/ml
Glucose 5% 1713
Tương thích
Dạng tiêm Bivalirudin 5 mg/ml
Dạng tiêm Cimetidine hydrochloride 12 mg/ml
Glucose 5% 1713
Tương thích
Dạng tiêm Bivalirudin 5 mg/ml
Dạng tiêm Ciprofloxacin lactate 2 mg/ml
Glucose 5% 1713
Tương thích
Dạng tiêm Bivalirudin 5 mg/ml
Dạng tiêm Clindamycin phosphate 10 mg/ml
Glucose 5% 1713
Tương thích
Dạng tiêm Bivalirudin 5 mg/ml
Dạng tiêm Co-trimoxazole 4/0.8 mg/ml
Glucose 5% 1713
Tương thích
Dạng tiêm Bivalirudin 5 mg/ml
Dạng tiêm Dexamethasone sodium phosphate 1 mg/ml
Glucose 5% 1713
Lượng mưa ngay lập tức Không tương thích
Dạng tiêm Bivalirudin 5 mg/ml
Dạng tiêm Diazepam 5 mg/ml
Glucose 5% 1713
Lượng mưa ngay lập tức Không tương thích
Dạng tiêm Bivalirudin
Dạng tiêm Diazepam
3539
Tương thích
Dạng tiêm Bivalirudin 5 mg/ml
Dạng tiêm Digoxin 250 µg/ml
Glucose 5% 1713
Tương thích
Dạng tiêm Bivalirudin 5 mg/ml
Dạng tiêm Diltiazem hydrochloride 5 mg/ml
NaCl 0,9% 1944
Tương thích
Dạng tiêm Bivalirudin 5 mg/ml
Dạng tiêm Diltiazem hydrochloride 5 mg/ml
Glucose 5% 1713
Tương thích
Dạng tiêm Bivalirudin 5 mg/ml
Dạng tiêm Diltiazem hydrochloride 5 mg/ml
Glucose 5% 1944
Tương thích
Dạng tiêm Bivalirudin 5 mg/ml
Dạng tiêm Diphenhydramine hydrochloride 2 mg/ml
Glucose 5% 1713
Tương thích
Dạng tiêm Bivalirudin 5 mg/ml
Dạng tiêm Dobutamine hydrochloride 4 mg/ml
Glucose 5% 1713
Tương thích
Dạng tiêm Bivalirudin
Dạng tiêm Dobutamine hydrochloride 4 mg/ml
3539
Lượng mưa ngay lập tức Không tương thích
Dạng tiêm Bivalirudin 5 mg/ml
Dạng tiêm Dobutamine hydrochloride 12,5 mg/ml
Glucose 5% 1944
Không tương thích không xác định Không tương thích
Dạng tiêm Bivalirudin
Dạng tiêm Dobutamine hydrochloride 12.5 mg/ml
3539
Lượng mưa ngay lập tức Không tương thích
Dạng tiêm Bivalirudin 5 mg/ml
Dạng tiêm Dobutamine hydrochloride 12,5 mg/ml
NaCl 0,9% 1944
Tương thích
Dạng tiêm Bivalirudin 5 mg/ml
Dạng tiêm Dopamine hydrochloride 80 mg/ml
NaCl 0,9% 1944
Tương thích
Dạng tiêm Bivalirudin 5 mg/ml
Dạng tiêm Dopamine hydrochloride 80 mg/ml
Glucose 5% 1944
Tương thích
Dạng tiêm Bivalirudin 5 mg/ml
Dạng tiêm Dopamine hydrochloride 3.2 mg/ml
Glucose 5% 1713
Tương thích
Dạng tiêm Bivalirudin 5 mg/ml
Dạng tiêm Doxycycline hyclate 1 mg/ml
Glucose 5% 1713
Tương thích
Dạng tiêm Bivalirudin 5 mg/ml
Dạng tiêm Droperidol 2.5 mg/ml
Glucose 5% 1713
Tương thích
Dạng tiêm Bivalirudin 5 mg/ml
Dạng tiêm Enalaprilate 0.1 mg/ml
Glucose 5% 1713
Tương thích
Dạng tiêm Bivalirudin 5 mg/ml
Dạng tiêm Ephedrine hydrochloride 5 mg/ml
Glucose 5% 1713
Tương thích
Dạng tiêm Bivalirudin 5 mg/ml
Dạng tiêm Epinephrine hydrochloride 50 µg/ml
Glucose 5% 1713
Tương thích
Dạng tiêm Bivalirudin 5 mg/ml
Dạng tiêm Eptifibatide 2 mg/ml
Glucose 5% 1713
Tương thích
Dạng tiêm Bivalirudin 5 mg/ml
Dạng tiêm Erythromycin lactobionate 5 mg/ml
Glucose 5% 1713
Tương thích
Dạng tiêm Bivalirudin 5 mg/ml
Dạng tiêm Esmolol hydrochloride 10 mg/ml
Glucose 5% 1713
Tương thích
Dạng tiêm Bivalirudin
Dạng tiêm Famotidine 2 mg/ml
3539
Không tương thích không xác định Không tương thích
Dạng tiêm Bivalirudin
Dạng tiêm Famotidine 10 mg/ml
3539
Tương thích
Dạng tiêm Bivalirudin 5 mg/ml
Dạng tiêm Famotidine 2 mg/ml
Glucose 5% 1713
Tương thích
Dạng tiêm Bivalirudin 5 mg/ml
Dạng tiêm Fentanyl citrate 50 µg/ml
NaCl 0,9% 1944
Tương thích
Dạng tiêm Bivalirudin 5 mg/ml
Dạng tiêm Fentanyl citrate 50 µg/ml
Glucose 5% 1944
Tương thích
Dạng tiêm Bivalirudin 5 mg/ml
Dạng tiêm Fentanyl citrate 50 µg/ml
Glucose 5% 1713
Tương thích
Dạng tiêm Bivalirudin 5 mg/ml
Dạng tiêm Fluconazole 2 mg/ml
Glucose 5% 1713
Tương thích
Dạng tiêm Bivalirudin 5 mg/ml
Dạng tiêm Furosemide 3 mg/ml
Glucose 5% 1713
Tương thích
Dạng tiêm Bivalirudin 5 mg/ml
Dạng tiêm Gentamicin sulfate 5 mg/ml
Glucose 5% 1713
Tương thích
Dạng tiêm Bivalirudin
Dạng tiêm Haloperidol lactate 0.2 mg/ml
3539
Tương thích
Dạng tiêm Bivalirudin 5 mg/ml
Dạng tiêm Haloperidol lactate 0.2 mg/ml
Glucose 5% 1713
Không tương thích không xác định Không tương thích
Dạng tiêm Bivalirudin
Dạng tiêm Haloperidol lactate 5 mg/ml
3539
Tương thích
Dạng tiêm Bivalirudin 5 mg/ml
Dạng tiêm Heparin sodium 100 UI/ml
Glucose 5% 1713
Tương thích
Dạng tiêm Bivalirudin 5 mg/ml
Dạng tiêm Hydrocortisone sodium succinate 50 mg/ml
NaCl 0,9% 1944
Tương thích
Dạng tiêm Bivalirudin 5 mg/ml
Dạng tiêm Hydrocortisone sodium succinate 50 mg/ml
Glucose 5% 1944
Tương thích
Dạng tiêm Bivalirudin 5 mg/ml
Dạng tiêm Hydrocortisone sodium succinate 1 mg/ml
Glucose 5% 1713
Tương thích
Dạng tiêm Bivalirudin 5 mg/ml
Dạng tiêm Hydromorphone hydrochloride 0.5 mg/ml
Glucose 5% 1713
Tương thích
Dạng tiêm Bivalirudin 5 mg/ml
Dạng tiêm Isoprenaline hydrochloride 0.02 mg/ml
Glucose 5% 1713
Không tương thích không xác định Không tương thích
Dạng tiêm Bivalirudin
Dạng tiêm Labetalol hydrochloride 5 mg/ml
3539
Tương thích
Dạng tiêm Bivalirudin 5 mg/ml
Dạng tiêm Labetalol hydrochloride 2 mg/ml
Glucose 5% 1713
Tương thích
Dạng tiêm Bivalirudin
Dạng tiêm Labetalol hydrochloride 2 mg/ml
3539
Tương thích
Dạng tiêm Bivalirudin 5 mg/ml
Dạng tiêm Levofloxacine 5 mg/ml
Glucose 5% 1713
Tương thích
Dạng tiêm Bivalirudin 5 mg/ml
Dạng tiêm Lidocaine hydrochloride 10 mg/ml
Glucose 5% 1713
Không tương thích không xác định Không tương thích
Dạng tiêm Bivalirudin
Dạng tiêm Lorazepam 2 mg/ml
3539
Tương thích
Dạng tiêm Bivalirudin
Dạng tiêm Lorazepam 0.5 mg/ml
3539
Tương thích
Dạng tiêm Bivalirudin 5 mg/ml
Dạng tiêm Lorazepam 0.5 mg/ml
Glucose 5% 1713
Tương thích
Dạng tiêm Bivalirudin 5 mg/ml
Dạng tiêm Magnesium sulfate 100 mg/ml
Glucose 5% 1713
Tương thích
Dạng tiêm Bivalirudin 5 mg/ml
Dạng tiêm Mannitol 150 mg/ml
Glucose 5% 1713
Tương thích
Dạng tiêm Bivalirudin 5 mg/ml
Dạng tiêm Methylprednisolone sodium succinate 5 mg/ml
Glucose 5% 1713
Tương thích
Dạng tiêm Bivalirudin 5 mg/ml
Dạng tiêm Metoclopramide hydrochloride 5 mg/ml
Glucose 5% 1713
Tương thích
Dạng tiêm Bivalirudin 5 mg/ml
Dạng tiêm Metoprolol tartrate 1 mg/ml
NaCl 0,9% 1944
Tương thích
Dạng tiêm Bivalirudin 5 mg/ml
Dạng tiêm Metoprolol tartrate 1 mg/ml
Glucose 5% 1944
Tương thích
Dạng tiêm Bivalirudin 5 mg/ml
Dạng tiêm Metronidazole 5 mg/ml
Glucose 5% 1713
Tương thích
Dạng tiêm Bivalirudin 5 mg/ml
Dạng tiêm Midazolam hydrochloride 2 mg/ml
Glucose 5% 1944
Tương thích
Dạng tiêm Bivalirudin 5 mg/ml
Dạng tiêm Midazolam hydrochloride 1 mg/ml
Glucose 5% 1713
Tương thích
Dạng tiêm Bivalirudin 5 mg/ml
Dạng tiêm Midazolam hydrochloride 2 mg/ml
NaCl 0,9% 1944
Tương thích
Dạng tiêm Bivalirudin 5 mg/ml
Dạng tiêm Milrinone lactate 0.2 mg/ml
Glucose 5% 1713
Tương thích
Dạng tiêm Bivalirudin 5 mg/ml
Dạng tiêm Morphine sulfate 10 mg/ml
NaCl 0,9% 1944
Tương thích
Dạng tiêm Bivalirudin 5 mg/ml
Dạng tiêm Morphine sulfate 10 mg/ml
Glucose 5% 1944
Tương thích
Dạng tiêm Bivalirudin 5 mg/ml
Dạng tiêm Morphine sulfate 1 mg/ml
Glucose 5% 1713
Tương thích
Dạng tiêm Bivalirudin 5 mg/ml
Dạng tiêm Nalbuphine hydrochloride 10 mg/ml
Glucose 5% 1713
Tương thích
Dạng tiêm Bivalirudin 5 mg/ml
Dạng tiêm Nitroprusside sodium 2 mg/ml
Glucose 5% 1713
Tương thích
Dạng tiêm Bivalirudin
NaCl 0,9% 3539
Tương thích
Dạng tiêm Bivalirudin 5 mg/ml
Dạng tiêm Nitroglycerin 0.4 mg/ml
Glucose 5% 1713
Tương thích
Dạng tiêm Bivalirudin 5 mg/ml
Dạng tiêm Norepinephrine bitartrate 0.12 mg/ml
Glucose 5% 1713
Tương thích
Dạng tiêm Bivalirudin 5 mg/ml
Dạng tiêm Ofloxacin 4 mg/ml
Glucose 5% 1713
Tương thích
Dạng tiêm Bivalirudin 5 mg/ml
Dạng tiêm Pethidine hydrochloride 10 mg/ml
Glucose 5% 1713
Tương thích
Dạng tiêm Bivalirudin 5 mg/ml
Dạng tiêm Phenylephrine hydrochloride 10 mg/ml
Glucose 5% 1944
Tương thích
Dạng tiêm Bivalirudin 5 mg/ml
Dạng tiêm Phenylephrine hydrochloride 1 mg/ml
Glucose 5% 1713
Tương thích
Dạng tiêm Bivalirudin 5 mg/ml
Dạng tiêm Phenylephrine hydrochloride 10 mg/ml
NaCl 0,9% 1944
Tương thích
Dạng tiêm Bivalirudin 5 mg/ml
Dạng tiêm Piperacillin sodium 40 mg/ml
Glucose 5% 1713
Tương thích
Dạng tiêm Bivalirudin 5 mg/ml
Dạng tiêm Piperacillin sodium / tazobactam 40/5 mg/ml
Glucose 5% 1713
Tương thích
Dạng tiêm Bivalirudin 5 mg/ml
Dạng tiêm Potassium chloride 100 mEq/l
Glucose 5% 1713
Tương thích
Dạng tiêm Bivalirudin 5 mg/ml
Dạng tiêm Procainamide hydrochloride 10 mg/ml
Glucose 5% 1713
Lượng mưa ngay lập tức Không tương thích
Dạng tiêm Bivalirudin
Dạng tiêm Prochlorperazine edysilate 25 mg/ml
3539
Lượng mưa ngay lập tức Không tương thích
Dạng tiêm Bivalirudin 5 mg/ml
Dạng tiêm Prochlorperazine edysilate 0.5 mg/ml
Glucose 5% 1713
Tương thích
Dạng tiêm Bivalirudin
Dạng tiêm Promethazine hydrochloride 2 mg/ml
3539
Không tương thích không xác định Không tương thích
Dạng tiêm Bivalirudin
Dạng tiêm Promethazine hydrochloride 25 mg/ml
3539
Tương thích
Dạng tiêm Bivalirudin 5 mg/ml
Dạng tiêm Promethazine hydrochloride 2 mg/ml
Glucose 5% 1713
Tương thích
Dạng tiêm Bivalirudin 5 mg/ml
Dạng tiêm Ranitidine hydrochloride 2 mg/ml
Glucose 5% 1713
Lượng mưa ngay lập tức Không tương thích
Dạng tiêm Bivalirudin 5 mg/ml
Dạng tiêm Reteplase 1 UI/ml
Glucose 5% 1713
Lượng mưa ngay lập tức Không tương thích
Dạng tiêm Bivalirudin
Dạng tiêm Reteplase
3539
Tương thích
Dạng tiêm Bivalirudin 5 mg/ml
Dạng tiêm Sodium bicarbonate 84 mg/ml
Glucose 5% 1713
Lượng mưa ngay lập tức Không tương thích
Dạng tiêm Bivalirudin 5 mg/ml
Dạng tiêm Streptokinase 30000 UI/ml
Glucose 5% 1713
Lượng mưa ngay lập tức Không tương thích
Dạng tiêm Bivalirudin
Dạng tiêm Streptokinase
3539
Tương thích
Dạng tiêm Bivalirudin 5 mg/ml
Dạng tiêm Sufentanil citrate 0.05 mg/ml
Glucose 5% 1713
Tương thích
Dạng tiêm Bivalirudin 5 mg/ml
Dạng tiêm Theophylline 4 mg/ml
Glucose 5% 1713
Tương thích
Dạng tiêm Bivalirudin 5 mg/ml
Dạng tiêm Thiopental sodium 25 mg/ml
Glucose 5% 1713
Tương thích
Dạng tiêm Bivalirudin 5 mg/ml
Dạng tiêm Ticarcillin / clavulanic acid 31 mg/ml
Glucose 5% 1713
Tương thích
Dạng tiêm Bivalirudin 5 mg/ml
Dạng tiêm Tirofiban 50 µg/ml
Glucose 5% 1713
Tương thích
Dạng tiêm Bivalirudin 5 mg/ml
Dạng tiêm Tobramycin sulfate 5 mg/ml
Glucose 5% 1713
Lượng mưa ngay lập tức Không tương thích
Dạng tiêm Bivalirudin 5 mg/ml
Dạng tiêm Vancomycin hydrochloride 10 mg/ml
Glucose 5% 1713
Lượng mưa ngay lập tức Không tương thích
Dạng tiêm Bivalirudin
Dạng tiêm Vancomycin hydrochloride
3539
Tương thích
Dạng tiêm Bivalirudin 5 mg/ml
Dạng tiêm Verapamil hydrochloride 2,5 mg/ml
NaCl 0,9% 1944
Tương thích
Dạng tiêm Bivalirudin 5 mg/ml
Dạng tiêm Verapamil hydrochloride 2,5 mg/ml
Glucose 5% 1944
Tương thích
Dạng tiêm Bivalirudin 5 mg/ml
Dạng tiêm Verapamil hydrochloride 1.25 mg/ml
Glucose 5% 1713
Tương thích
Dạng tiêm Bivalirudin 5 mg/ml
Dạng tiêm Warfarin sodium 2 mg/ml
Glucose 5% 1713

  Mentions Légales