最新更新 :
25/03/2026
抗凝固薬   Bivalirudin  
注射薬
溶媒内の安定性 混合時の安定性 安定性に影響する因子 互換性 投与経路 引用文献 PDF
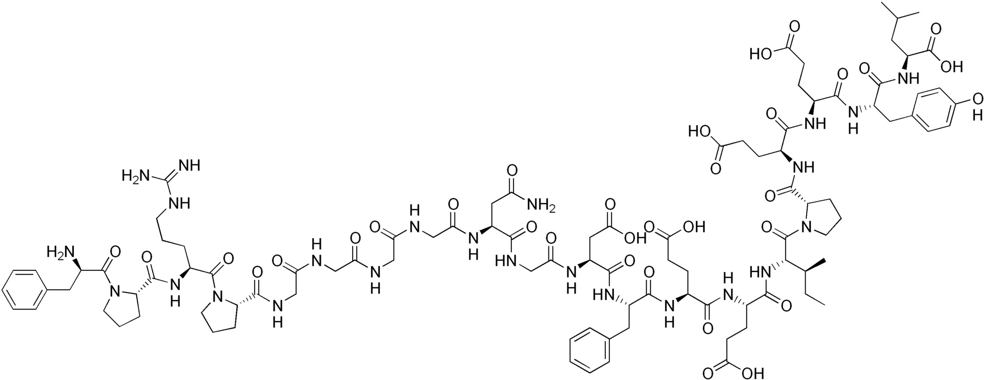
   化学構造  

商品名   商品名     

商品名、賦形剤は国、製薬会社ごとに異なることがあります

Amuprux アルゼンチン
Angiomax アメリカ, アーストラリア, カナダ, チリ, ニュージーランド, ベネズエラ, ペルー
Angiox アイスランド, アメリカ, イギリス, イタリア, オランダ, オーストリア, ギリシア, スペイン, スロベニア, デンマーク, ノルウェー, ハンガリー, フィンランド, ポーランド, ルーマニア
Bivalirudin イギリス, スウェーデン, スロベニア, デンマーク, ドイツ, フィンランド, ベルギー
Bivalirudina イタリア, スペイン
互換性   注射薬   互換性 : Bivalirudin              
This screen indicates the compatibilities or incompatibilities with, in this case, the type of incompatibility (precipitation, color change, modification of an emulsion, etc.). The compatibilities shown here are mostly physical only, with the chemical stability of each molecule rarely being assessed. The evaluation of these mixtures was studied to consider the possibility of Y-site administration to the patient. These data cannot be used for making mixtures in advance in bags or syringes. This type of information is available in the screen "Stability in mixture ».
化合物 溶媒 引用文献
対応
注射薬 Bivalirudin 5 mg/ml
注射薬 Alfentanil hydrochloride 125 µg/ml
グルコース5% 1713
即時降水 非互換
注射薬 Bivalirudin 5 mg/ml
注射薬 Alteplase 1 mg/ml
グルコース5% 1713
即時降水 非互換
注射薬 Bivalirudin
注射薬 Alteplase
3539
対応
注射薬 Bivalirudin 5 mg/ml
注射薬 Amikacin sulfate 5 mg/ml
グルコース5% 1713
対応
注射薬 Bivalirudin 5 mg/ml
注射薬 Aminophylline 2.5 mg/ml
グルコース5% 1713
即時降水 非互換
注射薬 Bivalirudin
注射薬 Amiodarone hydrochloride
3539
すぐに濁り 非互換
注射薬 Bivalirudin 5 mg/ml
注射薬 Amiodarone hydrochloride 4 mg/ml
グルコース5% 1713
即時降水 非互換
注射薬 Bivalirudin
注射薬 Amphotericin B
3539
即時降水 非互換
注射薬 Bivalirudin 5 mg/ml
注射薬 Amphotericin B 0.6 mg/ml
グルコース5% 1713
対応
注射薬 Bivalirudin 5 mg/ml
注射薬 Ampicillin sodium 20 mg/ml
グルコース5% 1713
対応
注射薬 Bivalirudin 5 mg/ml
注射薬 Ampicillin sodium - sulbactam sodium 20/10 mg/ml
グルコース5% 1713
対応
注射薬 Bivalirudin 5 mg/ml
注射薬 Atropine sulfate 0,4 mg/ml
グルコース5% 1944
対応
注射薬 Bivalirudin 5 mg/ml
注射薬 Atropine sulfate 0,4 mg/ml
NaCl 0,9% 1944
対応
注射薬 Bivalirudin 5 mg/ml
注射薬 Azithromycine 2 mg/ml
グルコース5% 1713
対応
注射薬 Bivalirudin 5 mg/ml
注射薬 Aztreonam 40 mg/ml
グルコース5% 1713
対応
注射薬 Bivalirudin 5 mg/ml
注射薬 Bretylium tosilate 50 mg/ml
グルコース5% 1713
対応
注射薬 Bivalirudin 5 mg/ml
注射薬 Bumetanide 0.04 mg/ml
グルコース5% 1713
対応
注射薬 Bivalirudin 5 mg/ml
注射薬 Butorphanol tartrate 0.04 mg/ml
グルコース5% 1713
対応
注射薬 Bivalirudin 5 mg/ml
注射薬 Calcium gluconate 40 mg/ml
グルコース5% 1713
対応
注射薬 Bivalirudin 5 mg/ml
注射薬 Cefazolin sodium 20 mg/ml
グルコース5% 1713
対応
注射薬 Bivalirudin 5 mg/ml
注射薬 Cefepime dihydrochloride 20 mg/ml
グルコース5% 1713
対応
注射薬 Bivalirudin 5 mg/ml
注射薬 Cefoperazone sodium 40 mg/ml
グルコース5% 1713
対応
注射薬 Bivalirudin 5 mg/ml
注射薬 Cefotaxime sodium 20 mg/ml
グルコース5% 1713
対応
注射薬 Bivalirudin 5 mg/ml
注射薬 Ceftazidime 40 mg/ml
グルコース5% 1713
即時降水 非互換
注射薬 Bivalirudin
注射薬 Chlorpromazine hydrochloride
3539
対応
注射薬 Bivalirudin
グルコース5% 3539
対応
注射薬 Bivalirudin 5 mg/ml
注射薬 Cefoxitin sodium 20 mg/ml
グルコース5% 1713
対応
注射薬 Bivalirudin 5 mg/ml
注射薬 Ceftizoxime sodium 20 mg/ml
グルコース5% 1713
対応
注射薬 Bivalirudin 5 mg/ml
注射薬 Ceftriaxone disodium 20 mg/ml
グルコース5% 1713
対応
注射薬 Bivalirudin 5 mg/ml
注射薬 Cefuroxime sodium 30 mg/ml
グルコース5% 1713
即時降水 非互換
注射薬 Bivalirudin 5 mg/ml
注射薬 Chlorpromazine hydrochloride 2 mg/ml
グルコース5% 1713
対応
注射薬 Bivalirudin 5 mg/ml
注射薬 Cimetidine hydrochloride 12 mg/ml
グルコース5% 1713
対応
注射薬 Bivalirudin 5 mg/ml
注射薬 Ciprofloxacin lactate 2 mg/ml
グルコース5% 1713
対応
注射薬 Bivalirudin 5 mg/ml
注射薬 Clindamycin phosphate 10 mg/ml
グルコース5% 1713
対応
注射薬 Bivalirudin 5 mg/ml
注射薬 Co-trimoxazole 4/0.8 mg/ml
グルコース5% 1713
対応
注射薬 Bivalirudin 5 mg/ml
注射薬 Dexamethasone sodium phosphate 1 mg/ml
グルコース5% 1713
即時降水 非互換
注射薬 Bivalirudin 5 mg/ml
注射薬 Diazepam 5 mg/ml
グルコース5% 1713
即時降水 非互換
注射薬 Bivalirudin
注射薬 Diazepam
3539
対応
注射薬 Bivalirudin 5 mg/ml
注射薬 Digoxin 250 µg/ml
グルコース5% 1713
対応
注射薬 Bivalirudin 5 mg/ml
注射薬 Diltiazem hydrochloride 5 mg/ml
NaCl 0,9% 1944
対応
注射薬 Bivalirudin 5 mg/ml
注射薬 Diltiazem hydrochloride 5 mg/ml
グルコース5% 1713
対応
注射薬 Bivalirudin 5 mg/ml
注射薬 Diltiazem hydrochloride 5 mg/ml
グルコース5% 1944
対応
注射薬 Bivalirudin 5 mg/ml
注射薬 Diphenhydramine hydrochloride 2 mg/ml
グルコース5% 1713
対応
注射薬 Bivalirudin 5 mg/ml
注射薬 Dobutamine hydrochloride 4 mg/ml
グルコース5% 1713
対応
注射薬 Bivalirudin
注射薬 Dobutamine hydrochloride 4 mg/ml
3539
即時降水 非互換
注射薬 Bivalirudin 5 mg/ml
注射薬 Dobutamine hydrochloride 12,5 mg/ml
グルコース5% 1944
不特定の非互換性 非互換
注射薬 Bivalirudin
注射薬 Dobutamine hydrochloride 12.5 mg/ml
3539
即時降水 非互換
注射薬 Bivalirudin 5 mg/ml
注射薬 Dobutamine hydrochloride 12,5 mg/ml
NaCl 0,9% 1944
対応
注射薬 Bivalirudin 5 mg/ml
注射薬 Dopamine hydrochloride 80 mg/ml
NaCl 0,9% 1944
対応
注射薬 Bivalirudin 5 mg/ml
注射薬 Dopamine hydrochloride 80 mg/ml
グルコース5% 1944
対応
注射薬 Bivalirudin 5 mg/ml
注射薬 Dopamine hydrochloride 3.2 mg/ml
グルコース5% 1713
対応
注射薬 Bivalirudin 5 mg/ml
注射薬 Doxycycline hyclate 1 mg/ml
グルコース5% 1713
対応
注射薬 Bivalirudin 5 mg/ml
注射薬 Droperidol 2.5 mg/ml
グルコース5% 1713
対応
注射薬 Bivalirudin 5 mg/ml
注射薬 Enalaprilate 0.1 mg/ml
グルコース5% 1713
対応
注射薬 Bivalirudin 5 mg/ml
注射薬 Ephedrine hydrochloride 5 mg/ml
グルコース5% 1713
対応
注射薬 Bivalirudin 5 mg/ml
注射薬 Epinephrine hydrochloride 50 µg/ml
グルコース5% 1713
対応
注射薬 Bivalirudin 5 mg/ml
注射薬 Eptifibatide 2 mg/ml
グルコース5% 1713
対応
注射薬 Bivalirudin 5 mg/ml
注射薬 Erythromycin lactobionate 5 mg/ml
グルコース5% 1713
対応
注射薬 Bivalirudin 5 mg/ml
注射薬 Esmolol hydrochloride 10 mg/ml
グルコース5% 1713
対応
注射薬 Bivalirudin
注射薬 Famotidine 2 mg/ml
3539
不特定の非互換性 非互換
注射薬 Bivalirudin
注射薬 Famotidine 10 mg/ml
3539
対応
注射薬 Bivalirudin 5 mg/ml
注射薬 Famotidine 2 mg/ml
グルコース5% 1713
対応
注射薬 Bivalirudin 5 mg/ml
注射薬 Fentanyl citrate 50 µg/ml
NaCl 0,9% 1944
対応
注射薬 Bivalirudin 5 mg/ml
注射薬 Fentanyl citrate 50 µg/ml
グルコース5% 1944
対応
注射薬 Bivalirudin 5 mg/ml
注射薬 Fentanyl citrate 50 µg/ml
グルコース5% 1713
対応
注射薬 Bivalirudin 5 mg/ml
注射薬 Fluconazole 2 mg/ml
グルコース5% 1713
対応
注射薬 Bivalirudin 5 mg/ml
注射薬 Furosemide 3 mg/ml
グルコース5% 1713
対応
注射薬 Bivalirudin 5 mg/ml
注射薬 Gentamicin sulfate 5 mg/ml
グルコース5% 1713
対応
注射薬 Bivalirudin
注射薬 Haloperidol lactate 0.2 mg/ml
3539
対応
注射薬 Bivalirudin 5 mg/ml
注射薬 Haloperidol lactate 0.2 mg/ml
グルコース5% 1713
不特定の非互換性 非互換
注射薬 Bivalirudin
注射薬 Haloperidol lactate 5 mg/ml
3539
対応
注射薬 Bivalirudin 5 mg/ml
注射薬 Heparin sodium 100 UI/ml
グルコース5% 1713
対応
注射薬 Bivalirudin 5 mg/ml
注射薬 Hydrocortisone sodium succinate 50 mg/ml
NaCl 0,9% 1944
対応
注射薬 Bivalirudin 5 mg/ml
注射薬 Hydrocortisone sodium succinate 50 mg/ml
グルコース5% 1944
対応
注射薬 Bivalirudin 5 mg/ml
注射薬 Hydrocortisone sodium succinate 1 mg/ml
グルコース5% 1713
対応
注射薬 Bivalirudin 5 mg/ml
注射薬 Hydromorphone hydrochloride 0.5 mg/ml
グルコース5% 1713
対応
注射薬 Bivalirudin 5 mg/ml
注射薬 Isoprenaline hydrochloride 0.02 mg/ml
グルコース5% 1713
不特定の非互換性 非互換
注射薬 Bivalirudin
注射薬 Labetalol hydrochloride 5 mg/ml
3539
対応
注射薬 Bivalirudin 5 mg/ml
注射薬 Labetalol hydrochloride 2 mg/ml
グルコース5% 1713
対応
注射薬 Bivalirudin
注射薬 Labetalol hydrochloride 2 mg/ml
3539
対応
注射薬 Bivalirudin 5 mg/ml
注射薬 Levofloxacine 5 mg/ml
グルコース5% 1713
対応
注射薬 Bivalirudin 5 mg/ml
注射薬 Lidocaine hydrochloride 10 mg/ml
グルコース5% 1713
不特定の非互換性 非互換
注射薬 Bivalirudin
注射薬 Lorazepam 2 mg/ml
3539
対応
注射薬 Bivalirudin
注射薬 Lorazepam 0.5 mg/ml
3539
対応
注射薬 Bivalirudin 5 mg/ml
注射薬 Lorazepam 0.5 mg/ml
グルコース5% 1713
対応
注射薬 Bivalirudin 5 mg/ml
注射薬 Magnesium sulfate 100 mg/ml
グルコース5% 1713
対応
注射薬 Bivalirudin 5 mg/ml
注射薬 Mannitol 150 mg/ml
グルコース5% 1713
対応
注射薬 Bivalirudin 5 mg/ml
注射薬 Methylprednisolone sodium succinate 5 mg/ml
グルコース5% 1713
対応
注射薬 Bivalirudin 5 mg/ml
注射薬 Metoclopramide hydrochloride 5 mg/ml
グルコース5% 1713
対応
注射薬 Bivalirudin 5 mg/ml
注射薬 Metoprolol tartrate 1 mg/ml
NaCl 0,9% 1944
対応
注射薬 Bivalirudin 5 mg/ml
注射薬 Metoprolol tartrate 1 mg/ml
グルコース5% 1944
対応
注射薬 Bivalirudin 5 mg/ml
注射薬 Metronidazole 5 mg/ml
グルコース5% 1713
対応
注射薬 Bivalirudin 5 mg/ml
注射薬 Midazolam hydrochloride 2 mg/ml
グルコース5% 1944
対応
注射薬 Bivalirudin 5 mg/ml
注射薬 Midazolam hydrochloride 1 mg/ml
グルコース5% 1713
対応
注射薬 Bivalirudin 5 mg/ml
注射薬 Midazolam hydrochloride 2 mg/ml
NaCl 0,9% 1944
対応
注射薬 Bivalirudin 5 mg/ml
注射薬 Milrinone lactate 0.2 mg/ml
グルコース5% 1713
対応
注射薬 Bivalirudin 5 mg/ml
注射薬 Morphine sulfate 10 mg/ml
NaCl 0,9% 1944
対応
注射薬 Bivalirudin 5 mg/ml
注射薬 Morphine sulfate 10 mg/ml
グルコース5% 1944
対応
注射薬 Bivalirudin 5 mg/ml
注射薬 Morphine sulfate 1 mg/ml
グルコース5% 1713
対応
注射薬 Bivalirudin 5 mg/ml
注射薬 Nalbuphine hydrochloride 10 mg/ml
グルコース5% 1713
対応
注射薬 Bivalirudin 5 mg/ml
注射薬 Nitroprusside sodium 2 mg/ml
グルコース5% 1713
対応
注射薬 Bivalirudin
NaCl 0,9% 3539
対応
注射薬 Bivalirudin 5 mg/ml
注射薬 Nitroglycerin 0.4 mg/ml
グルコース5% 1713
対応
注射薬 Bivalirudin 5 mg/ml
注射薬 Norepinephrine bitartrate 0.12 mg/ml
グルコース5% 1713
対応
注射薬 Bivalirudin 5 mg/ml
注射薬 Ofloxacin 4 mg/ml
グルコース5% 1713
対応
注射薬 Bivalirudin 5 mg/ml
注射薬 Pethidine hydrochloride 10 mg/ml
グルコース5% 1713
対応
注射薬 Bivalirudin 5 mg/ml
注射薬 Phenylephrine hydrochloride 10 mg/ml
グルコース5% 1944
対応
注射薬 Bivalirudin 5 mg/ml
注射薬 Phenylephrine hydrochloride 1 mg/ml
グルコース5% 1713
対応
注射薬 Bivalirudin 5 mg/ml
注射薬 Phenylephrine hydrochloride 10 mg/ml
NaCl 0,9% 1944
対応
注射薬 Bivalirudin 5 mg/ml
注射薬 Piperacillin sodium 40 mg/ml
グルコース5% 1713
対応
注射薬 Bivalirudin 5 mg/ml
注射薬 Piperacillin sodium / tazobactam 40/5 mg/ml
グルコース5% 1713
対応
注射薬 Bivalirudin 5 mg/ml
注射薬 Potassium chloride 100 mEq/l
グルコース5% 1713
対応
注射薬 Bivalirudin 5 mg/ml
注射薬 Procainamide hydrochloride 10 mg/ml
グルコース5% 1713
即時降水 非互換
注射薬 Bivalirudin
注射薬 Prochlorperazine edysilate 25 mg/ml
3539
即時降水 非互換
注射薬 Bivalirudin 5 mg/ml
注射薬 Prochlorperazine edysilate 0.5 mg/ml
グルコース5% 1713
対応
注射薬 Bivalirudin
注射薬 Promethazine hydrochloride 2 mg/ml
3539
不特定の非互換性 非互換
注射薬 Bivalirudin
注射薬 Promethazine hydrochloride 25 mg/ml
3539
対応
注射薬 Bivalirudin 5 mg/ml
注射薬 Promethazine hydrochloride 2 mg/ml
グルコース5% 1713
対応
注射薬 Bivalirudin 5 mg/ml
注射薬 Ranitidine hydrochloride 2 mg/ml
グルコース5% 1713
即時降水 非互換
注射薬 Bivalirudin 5 mg/ml
注射薬 Reteplase 1 UI/ml
グルコース5% 1713
即時降水 非互換
注射薬 Bivalirudin
注射薬 Reteplase
3539
対応
注射薬 Bivalirudin 5 mg/ml
注射薬 Sodium bicarbonate 84 mg/ml
グルコース5% 1713
即時降水 非互換
注射薬 Bivalirudin 5 mg/ml
注射薬 Streptokinase 30000 UI/ml
グルコース5% 1713
即時降水 非互換
注射薬 Bivalirudin
注射薬 Streptokinase
3539
対応
注射薬 Bivalirudin 5 mg/ml
注射薬 Sufentanil citrate 0.05 mg/ml
グルコース5% 1713
対応
注射薬 Bivalirudin 5 mg/ml
注射薬 Theophylline 4 mg/ml
グルコース5% 1713
対応
注射薬 Bivalirudin 5 mg/ml
注射薬 Thiopental sodium 25 mg/ml
グルコース5% 1713
対応
注射薬 Bivalirudin 5 mg/ml
注射薬 Ticarcillin / clavulanic acid 31 mg/ml
グルコース5% 1713
対応
注射薬 Bivalirudin 5 mg/ml
注射薬 Tirofiban 50 µg/ml
グルコース5% 1713
対応
注射薬 Bivalirudin 5 mg/ml
注射薬 Tobramycin sulfate 5 mg/ml
グルコース5% 1713
即時降水 非互換
注射薬 Bivalirudin 5 mg/ml
注射薬 Vancomycin hydrochloride 10 mg/ml
グルコース5% 1713
即時降水 非互換
注射薬 Bivalirudin
注射薬 Vancomycin hydrochloride
3539
対応
注射薬 Bivalirudin 5 mg/ml
注射薬 Verapamil hydrochloride 2,5 mg/ml
NaCl 0,9% 1944
対応
注射薬 Bivalirudin 5 mg/ml
注射薬 Verapamil hydrochloride 2,5 mg/ml
グルコース5% 1944
対応
注射薬 Bivalirudin 5 mg/ml
注射薬 Verapamil hydrochloride 1.25 mg/ml
グルコース5% 1713
対応
注射薬 Bivalirudin 5 mg/ml
注射薬 Warfarin sodium 2 mg/ml
グルコース5% 1713

  Mentions Légales