Poslední aktualizace :
25/03/2026
Antikoaguliantas   Bivalirudin  
Įpurškimas
Tirpalų stabilumas Mišinių stabilumas Stabilumą lemiantys veiksniai Suderinamumas Leidimo būdai Bibliografija pdf
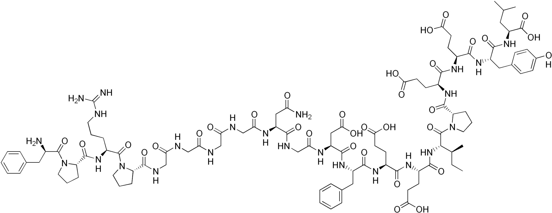
   Cheminė sandara  

Prekinis pavadinimas   Prekinis pavadinimas     

Trade names are indicative and excipients composition can be different depending on the country and manufacturers

Amuprux Argentina
Angiomax Australija, Čilė, Jungtinės Amerikos Valstijos, Kanada, Naujojoje Zelandijoje, Peru, Venesuela
Angiox Austrija, Danija, Didžioji Britanija, Graikija, Islandija, Ispanija, Italija, Jungtinės Amerikos Valstijos, Lenkija, Norvegija, Olandija, Rumunija, Slovėnija, Suomija, Vengrija
Bivalirudin Belgija, Danija, Didžioji Britanija, Slovėnija, Suomija, Švedija, Vokietija
Bivalirudina Ispanija, Italija
Suderinamumas   Įpurškimas   Suderinamumas : Bivalirudin              
explication_incompatibilite_molecules
Molekulė Tirpiklis Nuorodos
Suderinamas
Įpurškimas Bivalirudin 5 mg/ml
Įpurškimas Alfentanil hydrochloride 125 µg/ml
Gliukozė 5% 1713
Nedelsiant krituliai Nesuderinamas
Įpurškimas Bivalirudin 5 mg/ml
Įpurškimas Alteplase 1 mg/ml
Gliukozė 5% 1713
Nedelsiant krituliai Nesuderinamas
Įpurškimas Bivalirudin
Įpurškimas Alteplase
3539
Suderinamas
Įpurškimas Bivalirudin 5 mg/ml
Įpurškimas Amikacin sulfate 5 mg/ml
Gliukozė 5% 1713
Suderinamas
Įpurškimas Bivalirudin 5 mg/ml
Įpurškimas Aminophylline 2.5 mg/ml
Gliukozė 5% 1713
Nedelsiant krituliai Nesuderinamas
Įpurškimas Bivalirudin
Įpurškimas Amiodarone hydrochloride
3539
Tiesioginis drumstumas Nesuderinamas
Įpurškimas Bivalirudin 5 mg/ml
Įpurškimas Amiodarone hydrochloride 4 mg/ml
Gliukozė 5% 1713
Nedelsiant krituliai Nesuderinamas
Įpurškimas Bivalirudin
Įpurškimas Amphotericin B
3539
Nedelsiant krituliai Nesuderinamas
Įpurškimas Bivalirudin 5 mg/ml
Įpurškimas Amphotericin B 0.6 mg/ml
Gliukozė 5% 1713
Suderinamas
Įpurškimas Bivalirudin 5 mg/ml
Įpurškimas Ampicillin sodium 20 mg/ml
Gliukozė 5% 1713
Suderinamas
Įpurškimas Bivalirudin 5 mg/ml
Įpurškimas Ampicillin sodium - sulbactam sodium 20/10 mg/ml
Gliukozė 5% 1713
Suderinamas
Įpurškimas Bivalirudin 5 mg/ml
Įpurškimas Atropine sulfate 0,4 mg/ml
Gliukozė 5% 1944
Suderinamas
Įpurškimas Bivalirudin 5 mg/ml
Įpurškimas Atropine sulfate 0,4 mg/ml
Natrio chloridas 0,9% 1944
Suderinamas
Įpurškimas Bivalirudin 5 mg/ml
Įpurškimas Azithromycine 2 mg/ml
Gliukozė 5% 1713
Suderinamas
Įpurškimas Bivalirudin 5 mg/ml
Įpurškimas Aztreonam 40 mg/ml
Gliukozė 5% 1713
Suderinamas
Įpurškimas Bivalirudin 5 mg/ml
Įpurškimas Bretylium tosilate 50 mg/ml
Gliukozė 5% 1713
Suderinamas
Įpurškimas Bivalirudin 5 mg/ml
Įpurškimas Bumetanide 0.04 mg/ml
Gliukozė 5% 1713
Suderinamas
Įpurškimas Bivalirudin 5 mg/ml
Įpurškimas Butorphanol tartrate 0.04 mg/ml
Gliukozė 5% 1713
Suderinamas
Įpurškimas Bivalirudin 5 mg/ml
Įpurškimas Calcium gluconate 40 mg/ml
Gliukozė 5% 1713
Suderinamas
Įpurškimas Bivalirudin 5 mg/ml
Įpurškimas Cefazolin sodium 20 mg/ml
Gliukozė 5% 1713
Suderinamas
Įpurškimas Bivalirudin 5 mg/ml
Įpurškimas Cefepime dihydrochloride 20 mg/ml
Gliukozė 5% 1713
Suderinamas
Įpurškimas Bivalirudin 5 mg/ml
Įpurškimas Cefoperazone sodium 40 mg/ml
Gliukozė 5% 1713
Suderinamas
Įpurškimas Bivalirudin 5 mg/ml
Įpurškimas Cefotaxime sodium 20 mg/ml
Gliukozė 5% 1713
Suderinamas
Įpurškimas Bivalirudin 5 mg/ml
Įpurškimas Ceftazidime 40 mg/ml
Gliukozė 5% 1713
Nedelsiant krituliai Nesuderinamas
Įpurškimas Bivalirudin
Įpurškimas Chlorpromazine hydrochloride
3539
Suderinamas
Įpurškimas Bivalirudin
Gliukozė 5% 3539
Suderinamas
Įpurškimas Bivalirudin 5 mg/ml
Įpurškimas Cefoxitin sodium 20 mg/ml
Gliukozė 5% 1713
Suderinamas
Įpurškimas Bivalirudin 5 mg/ml
Įpurškimas Ceftizoxime sodium 20 mg/ml
Gliukozė 5% 1713
Suderinamas
Įpurškimas Bivalirudin 5 mg/ml
Įpurškimas Ceftriaxone disodium 20 mg/ml
Gliukozė 5% 1713
Suderinamas
Įpurškimas Bivalirudin 5 mg/ml
Įpurškimas Cefuroxime sodium 30 mg/ml
Gliukozė 5% 1713
Nedelsiant krituliai Nesuderinamas
Įpurškimas Bivalirudin 5 mg/ml
Įpurškimas Chlorpromazine hydrochloride 2 mg/ml
Gliukozė 5% 1713
Suderinamas
Įpurškimas Bivalirudin 5 mg/ml
Įpurškimas Cimetidine hydrochloride 12 mg/ml
Gliukozė 5% 1713
Suderinamas
Įpurškimas Bivalirudin 5 mg/ml
Įpurškimas Ciprofloxacin lactate 2 mg/ml
Gliukozė 5% 1713
Suderinamas
Įpurškimas Bivalirudin 5 mg/ml
Įpurškimas Clindamycin phosphate 10 mg/ml
Gliukozė 5% 1713
Suderinamas
Įpurškimas Bivalirudin 5 mg/ml
Įpurškimas Co-trimoxazole 4/0.8 mg/ml
Gliukozė 5% 1713
Suderinamas
Įpurškimas Bivalirudin 5 mg/ml
Įpurškimas Dexamethasone sodium phosphate 1 mg/ml
Gliukozė 5% 1713
Nedelsiant krituliai Nesuderinamas
Įpurškimas Bivalirudin 5 mg/ml
Įpurškimas Diazepam 5 mg/ml
Gliukozė 5% 1713
Nedelsiant krituliai Nesuderinamas
Įpurškimas Bivalirudin
Įpurškimas Diazepam
3539
Suderinamas
Įpurškimas Bivalirudin 5 mg/ml
Įpurškimas Digoxin 250 µg/ml
Gliukozė 5% 1713
Suderinamas
Įpurškimas Bivalirudin 5 mg/ml
Įpurškimas Diltiazem hydrochloride 5 mg/ml
Natrio chloridas 0,9% 1944
Suderinamas
Įpurškimas Bivalirudin 5 mg/ml
Įpurškimas Diltiazem hydrochloride 5 mg/ml
Gliukozė 5% 1713
Suderinamas
Įpurškimas Bivalirudin 5 mg/ml
Įpurškimas Diltiazem hydrochloride 5 mg/ml
Gliukozė 5% 1944
Suderinamas
Įpurškimas Bivalirudin 5 mg/ml
Įpurškimas Diphenhydramine hydrochloride 2 mg/ml
Gliukozė 5% 1713
Suderinamas
Įpurškimas Bivalirudin 5 mg/ml
Įpurškimas Dobutamine hydrochloride 4 mg/ml
Gliukozė 5% 1713
Suderinamas
Įpurškimas Bivalirudin
Įpurškimas Dobutamine hydrochloride 4 mg/ml
3539
Nedelsiant krituliai Nesuderinamas
Įpurškimas Bivalirudin 5 mg/ml
Įpurškimas Dobutamine hydrochloride 12,5 mg/ml
Gliukozė 5% 1944
Nepatikslintas nesuderinamumas Nesuderinamas
Įpurškimas Bivalirudin
Įpurškimas Dobutamine hydrochloride 12.5 mg/ml
3539
Nedelsiant krituliai Nesuderinamas
Įpurškimas Bivalirudin 5 mg/ml
Įpurškimas Dobutamine hydrochloride 12,5 mg/ml
Natrio chloridas 0,9% 1944
Suderinamas
Įpurškimas Bivalirudin 5 mg/ml
Įpurškimas Dopamine hydrochloride 80 mg/ml
Natrio chloridas 0,9% 1944
Suderinamas
Įpurškimas Bivalirudin 5 mg/ml
Įpurškimas Dopamine hydrochloride 80 mg/ml
Gliukozė 5% 1944
Suderinamas
Įpurškimas Bivalirudin 5 mg/ml
Įpurškimas Dopamine hydrochloride 3.2 mg/ml
Gliukozė 5% 1713
Suderinamas
Įpurškimas Bivalirudin 5 mg/ml
Įpurškimas Doxycycline hyclate 1 mg/ml
Gliukozė 5% 1713
Suderinamas
Įpurškimas Bivalirudin 5 mg/ml
Įpurškimas Droperidol 2.5 mg/ml
Gliukozė 5% 1713
Suderinamas
Įpurškimas Bivalirudin 5 mg/ml
Įpurškimas Enalaprilate 0.1 mg/ml
Gliukozė 5% 1713
Suderinamas
Įpurškimas Bivalirudin 5 mg/ml
Įpurškimas Ephedrine hydrochloride 5 mg/ml
Gliukozė 5% 1713
Suderinamas
Įpurškimas Bivalirudin 5 mg/ml
Įpurškimas Epinephrine hydrochloride 50 µg/ml
Gliukozė 5% 1713
Suderinamas
Įpurškimas Bivalirudin 5 mg/ml
Įpurškimas Eptifibatide 2 mg/ml
Gliukozė 5% 1713
Suderinamas
Įpurškimas Bivalirudin 5 mg/ml
Įpurškimas Erythromycin lactobionate 5 mg/ml
Gliukozė 5% 1713
Suderinamas
Įpurškimas Bivalirudin 5 mg/ml
Įpurškimas Esmolol hydrochloride 10 mg/ml
Gliukozė 5% 1713
Suderinamas
Įpurškimas Bivalirudin
Įpurškimas Famotidine 2 mg/ml
3539
Nepatikslintas nesuderinamumas Nesuderinamas
Įpurškimas Bivalirudin
Įpurškimas Famotidine 10 mg/ml
3539
Suderinamas
Įpurškimas Bivalirudin 5 mg/ml
Įpurškimas Famotidine 2 mg/ml
Gliukozė 5% 1713
Suderinamas
Įpurškimas Bivalirudin 5 mg/ml
Įpurškimas Fentanyl citrate 50 µg/ml
Natrio chloridas 0,9% 1944
Suderinamas
Įpurškimas Bivalirudin 5 mg/ml
Įpurškimas Fentanyl citrate 50 µg/ml
Gliukozė 5% 1944
Suderinamas
Įpurškimas Bivalirudin 5 mg/ml
Įpurškimas Fentanyl citrate 50 µg/ml
Gliukozė 5% 1713
Suderinamas
Įpurškimas Bivalirudin 5 mg/ml
Įpurškimas Fluconazole 2 mg/ml
Gliukozė 5% 1713
Suderinamas
Įpurškimas Bivalirudin 5 mg/ml
Įpurškimas Furosemide 3 mg/ml
Gliukozė 5% 1713
Suderinamas
Įpurškimas Bivalirudin 5 mg/ml
Įpurškimas Gentamicin sulfate 5 mg/ml
Gliukozė 5% 1713
Suderinamas
Įpurškimas Bivalirudin
Įpurškimas Haloperidol lactate 0.2 mg/ml
3539
Suderinamas
Įpurškimas Bivalirudin 5 mg/ml
Įpurškimas Haloperidol lactate 0.2 mg/ml
Gliukozė 5% 1713
Nepatikslintas nesuderinamumas Nesuderinamas
Įpurškimas Bivalirudin
Įpurškimas Haloperidol lactate 5 mg/ml
3539
Suderinamas
Įpurškimas Bivalirudin 5 mg/ml
Įpurškimas Heparin sodium 100 UI/ml
Gliukozė 5% 1713
Suderinamas
Įpurškimas Bivalirudin 5 mg/ml
Įpurškimas Hydrocortisone sodium succinate 50 mg/ml
Natrio chloridas 0,9% 1944
Suderinamas
Įpurškimas Bivalirudin 5 mg/ml
Įpurškimas Hydrocortisone sodium succinate 50 mg/ml
Gliukozė 5% 1944
Suderinamas
Įpurškimas Bivalirudin 5 mg/ml
Įpurškimas Hydrocortisone sodium succinate 1 mg/ml
Gliukozė 5% 1713
Suderinamas
Įpurškimas Bivalirudin 5 mg/ml
Įpurškimas Hydromorphone hydrochloride 0.5 mg/ml
Gliukozė 5% 1713
Suderinamas
Įpurškimas Bivalirudin 5 mg/ml
Įpurškimas Isoprenaline hydrochloride 0.02 mg/ml
Gliukozė 5% 1713
Nepatikslintas nesuderinamumas Nesuderinamas
Įpurškimas Bivalirudin
Įpurškimas Labetalol hydrochloride 5 mg/ml
3539
Suderinamas
Įpurškimas Bivalirudin 5 mg/ml
Įpurškimas Labetalol hydrochloride 2 mg/ml
Gliukozė 5% 1713
Suderinamas
Įpurškimas Bivalirudin
Įpurškimas Labetalol hydrochloride 2 mg/ml
3539
Suderinamas
Įpurškimas Bivalirudin 5 mg/ml
Įpurškimas Levofloxacine 5 mg/ml
Gliukozė 5% 1713
Suderinamas
Įpurškimas Bivalirudin 5 mg/ml
Įpurškimas Lidocaine hydrochloride 10 mg/ml
Gliukozė 5% 1713
Nepatikslintas nesuderinamumas Nesuderinamas
Įpurškimas Bivalirudin
Įpurškimas Lorazepam 2 mg/ml
3539
Suderinamas
Įpurškimas Bivalirudin
Įpurškimas Lorazepam 0.5 mg/ml
3539
Suderinamas
Įpurškimas Bivalirudin 5 mg/ml
Įpurškimas Lorazepam 0.5 mg/ml
Gliukozė 5% 1713
Suderinamas
Įpurškimas Bivalirudin 5 mg/ml
Įpurškimas Magnesium sulfate 100 mg/ml
Gliukozė 5% 1713
Suderinamas
Įpurškimas Bivalirudin 5 mg/ml
Įpurškimas Mannitol 150 mg/ml
Gliukozė 5% 1713
Suderinamas
Įpurškimas Bivalirudin 5 mg/ml
Įpurškimas Methylprednisolone sodium succinate 5 mg/ml
Gliukozė 5% 1713
Suderinamas
Įpurškimas Bivalirudin 5 mg/ml
Įpurškimas Metoclopramide hydrochloride 5 mg/ml
Gliukozė 5% 1713
Suderinamas
Įpurškimas Bivalirudin 5 mg/ml
Įpurškimas Metoprolol tartrate 1 mg/ml
Natrio chloridas 0,9% 1944
Suderinamas
Įpurškimas Bivalirudin 5 mg/ml
Įpurškimas Metoprolol tartrate 1 mg/ml
Gliukozė 5% 1944
Suderinamas
Įpurškimas Bivalirudin 5 mg/ml
Įpurškimas Metronidazole 5 mg/ml
Gliukozė 5% 1713
Suderinamas
Įpurškimas Bivalirudin 5 mg/ml
Įpurškimas Midazolam hydrochloride 2 mg/ml
Gliukozė 5% 1944
Suderinamas
Įpurškimas Bivalirudin 5 mg/ml
Įpurškimas Midazolam hydrochloride 1 mg/ml
Gliukozė 5% 1713
Suderinamas
Įpurškimas Bivalirudin 5 mg/ml
Įpurškimas Midazolam hydrochloride 2 mg/ml
Natrio chloridas 0,9% 1944
Suderinamas
Įpurškimas Bivalirudin 5 mg/ml
Įpurškimas Milrinone lactate 0.2 mg/ml
Gliukozė 5% 1713
Suderinamas
Įpurškimas Bivalirudin 5 mg/ml
Įpurškimas Morphine sulfate 10 mg/ml
Natrio chloridas 0,9% 1944
Suderinamas
Įpurškimas Bivalirudin 5 mg/ml
Įpurškimas Morphine sulfate 10 mg/ml
Gliukozė 5% 1944
Suderinamas
Įpurškimas Bivalirudin 5 mg/ml
Įpurškimas Morphine sulfate 1 mg/ml
Gliukozė 5% 1713
Suderinamas
Įpurškimas Bivalirudin 5 mg/ml
Įpurškimas Nalbuphine hydrochloride 10 mg/ml
Gliukozė 5% 1713
Suderinamas
Įpurškimas Bivalirudin 5 mg/ml
Įpurškimas Nitroprusside sodium 2 mg/ml
Gliukozė 5% 1713
Suderinamas
Įpurškimas Bivalirudin
Natrio chloridas 0,9% 3539
Suderinamas
Įpurškimas Bivalirudin 5 mg/ml
Įpurškimas Nitroglycerin 0.4 mg/ml
Gliukozė 5% 1713
Suderinamas
Įpurškimas Bivalirudin 5 mg/ml
Įpurškimas Norepinephrine bitartrate 0.12 mg/ml
Gliukozė 5% 1713
Suderinamas
Įpurškimas Bivalirudin 5 mg/ml
Įpurškimas Ofloxacin 4 mg/ml
Gliukozė 5% 1713
Suderinamas
Įpurškimas Bivalirudin 5 mg/ml
Įpurškimas Pethidine hydrochloride 10 mg/ml
Gliukozė 5% 1713
Suderinamas
Įpurškimas Bivalirudin 5 mg/ml
Įpurškimas Phenylephrine hydrochloride 10 mg/ml
Gliukozė 5% 1944
Suderinamas
Įpurškimas Bivalirudin 5 mg/ml
Įpurškimas Phenylephrine hydrochloride 1 mg/ml
Gliukozė 5% 1713
Suderinamas
Įpurškimas Bivalirudin 5 mg/ml
Įpurškimas Phenylephrine hydrochloride 10 mg/ml
Natrio chloridas 0,9% 1944
Suderinamas
Įpurškimas Bivalirudin 5 mg/ml
Įpurškimas Piperacillin sodium 40 mg/ml
Gliukozė 5% 1713
Suderinamas
Įpurškimas Bivalirudin 5 mg/ml
Įpurškimas Piperacillin sodium / tazobactam 40/5 mg/ml
Gliukozė 5% 1713
Suderinamas
Įpurškimas Bivalirudin 5 mg/ml
Įpurškimas Potassium chloride 100 mEq/l
Gliukozė 5% 1713
Suderinamas
Įpurškimas Bivalirudin 5 mg/ml
Įpurškimas Procainamide hydrochloride 10 mg/ml
Gliukozė 5% 1713
Nedelsiant krituliai Nesuderinamas
Įpurškimas Bivalirudin
Įpurškimas Prochlorperazine edysilate 25 mg/ml
3539
Nedelsiant krituliai Nesuderinamas
Įpurškimas Bivalirudin 5 mg/ml
Įpurškimas Prochlorperazine edysilate 0.5 mg/ml
Gliukozė 5% 1713
Suderinamas
Įpurškimas Bivalirudin
Įpurškimas Promethazine hydrochloride 2 mg/ml
3539
Nepatikslintas nesuderinamumas Nesuderinamas
Įpurškimas Bivalirudin
Įpurškimas Promethazine hydrochloride 25 mg/ml
3539
Suderinamas
Įpurškimas Bivalirudin 5 mg/ml
Įpurškimas Promethazine hydrochloride 2 mg/ml
Gliukozė 5% 1713
Suderinamas
Įpurškimas Bivalirudin 5 mg/ml
Įpurškimas Ranitidine hydrochloride 2 mg/ml
Gliukozė 5% 1713
Nedelsiant krituliai Nesuderinamas
Įpurškimas Bivalirudin 5 mg/ml
Įpurškimas Reteplase 1 UI/ml
Gliukozė 5% 1713
Nedelsiant krituliai Nesuderinamas
Įpurškimas Bivalirudin
Įpurškimas Reteplase
3539
Suderinamas
Įpurškimas Bivalirudin 5 mg/ml
Įpurškimas Sodium bicarbonate 84 mg/ml
Gliukozė 5% 1713
Nedelsiant krituliai Nesuderinamas
Įpurškimas Bivalirudin 5 mg/ml
Įpurškimas Streptokinase 30000 UI/ml
Gliukozė 5% 1713
Nedelsiant krituliai Nesuderinamas
Įpurškimas Bivalirudin
Įpurškimas Streptokinase
3539
Suderinamas
Įpurškimas Bivalirudin 5 mg/ml
Įpurškimas Sufentanil citrate 0.05 mg/ml
Gliukozė 5% 1713
Suderinamas
Įpurškimas Bivalirudin 5 mg/ml
Įpurškimas Theophylline 4 mg/ml
Gliukozė 5% 1713
Suderinamas
Įpurškimas Bivalirudin 5 mg/ml
Įpurškimas Thiopental sodium 25 mg/ml
Gliukozė 5% 1713
Suderinamas
Įpurškimas Bivalirudin 5 mg/ml
Įpurškimas Ticarcillin / clavulanic acid 31 mg/ml
Gliukozė 5% 1713
Suderinamas
Įpurškimas Bivalirudin 5 mg/ml
Įpurškimas Tirofiban 50 µg/ml
Gliukozė 5% 1713
Suderinamas
Įpurškimas Bivalirudin 5 mg/ml
Įpurškimas Tobramycin sulfate 5 mg/ml
Gliukozė 5% 1713
Nedelsiant krituliai Nesuderinamas
Įpurškimas Bivalirudin 5 mg/ml
Įpurškimas Vancomycin hydrochloride 10 mg/ml
Gliukozė 5% 1713
Nedelsiant krituliai Nesuderinamas
Įpurškimas Bivalirudin
Įpurškimas Vancomycin hydrochloride
3539
Suderinamas
Įpurškimas Bivalirudin 5 mg/ml
Įpurškimas Verapamil hydrochloride 2,5 mg/ml
Natrio chloridas 0,9% 1944
Suderinamas
Įpurškimas Bivalirudin 5 mg/ml
Įpurškimas Verapamil hydrochloride 2,5 mg/ml
Gliukozė 5% 1944
Suderinamas
Įpurškimas Bivalirudin 5 mg/ml
Įpurškimas Verapamil hydrochloride 1.25 mg/ml
Gliukozė 5% 1713
Suderinamas
Įpurškimas Bivalirudin 5 mg/ml
Įpurškimas Warfarin sodium 2 mg/ml
Gliukozė 5% 1713

  Mentions Légales