Ultimo aggiornamento :
25/03/2026
Anticoagulante   Bivalirudin  
Iniezione
Stabilità in soluzione Stabilità in miscela Fattori che influenzano la stabilità Compatibilità metodo di iniezione Bibliografia pdf
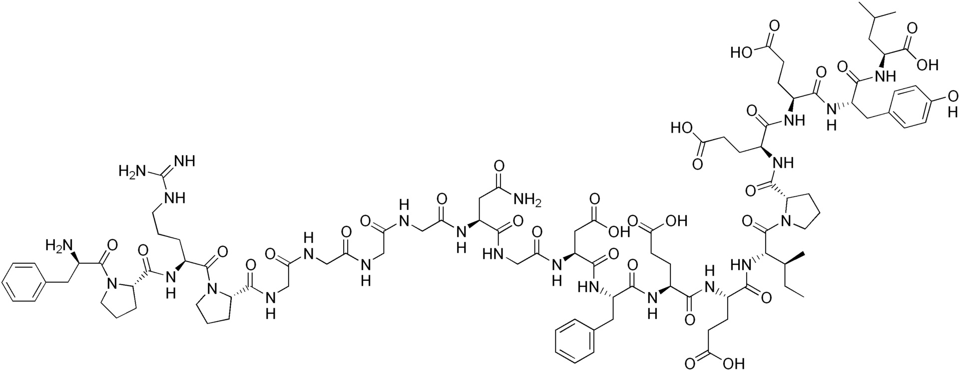
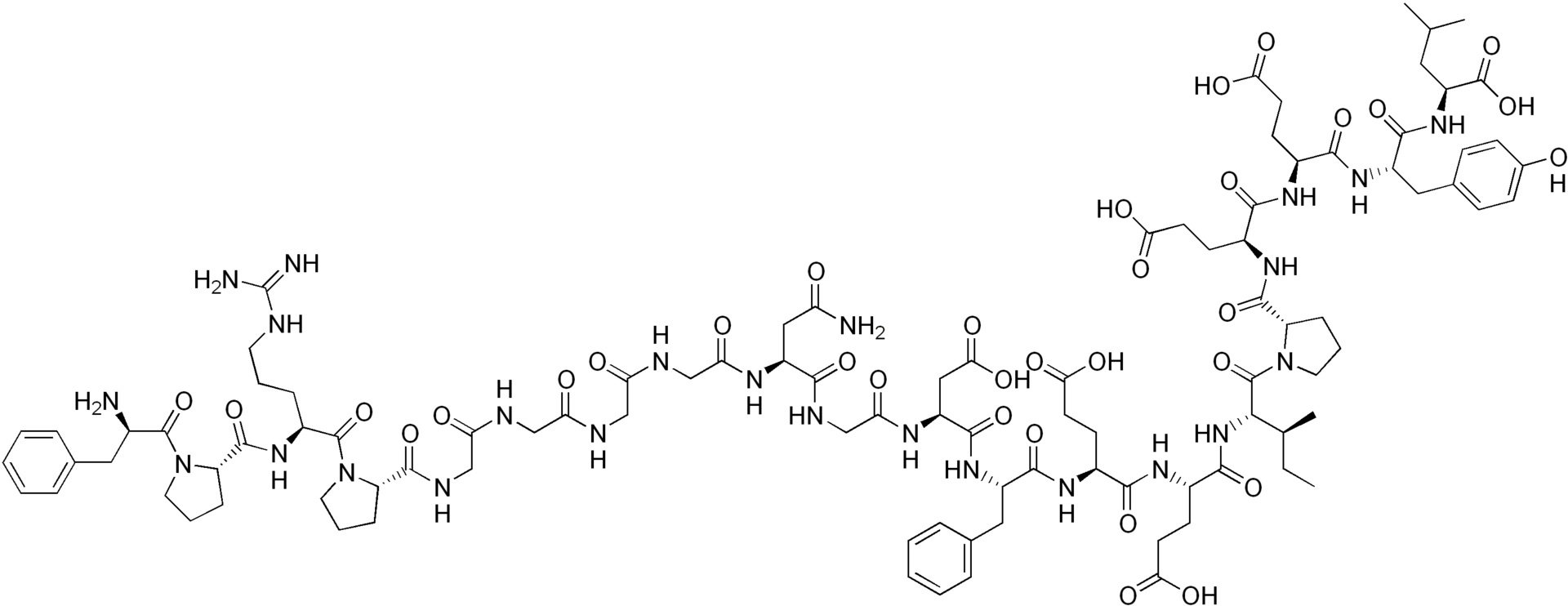
   Struttura chimica  

Nome commerciale   Nome commerciale     

Trade names are indicative and excipients composition can be different depending on the country and manufacturers

Amuprux Argentina
Angiomax Australia, Canada, Chile, nuova Zelanda, Perù, Stati Uniti d’America, Venezuela
Angiox Austria, Danimarca, Finlandia, Gran Bretagna, Grecia, Islanda, Italia, Norvegia, Paesi Bassi, Polonia, Romania, Slovenia, Spagna, Stati Uniti d’America, Ungheria
Bivalirudin Belgio, Danimarca, Finlandia, Germania, Gran Bretagna, Slovenia, Svezia
Bivalirudina Italia, Spagna
Compatibilità   Iniezione   Compatibilità : Bivalirudin              
explication_incompatibilite_molecules
Molecola Solvente Bibliografia
Compatibile
Iniezione Bivalirudin 5 mg/ml
Iniezione Alfentanil hydrochloride 125 µg/ml
Glucosio 5% 1713
Precipitazioni immediate Incompatibile
Iniezione Bivalirudin 5 mg/ml
Iniezione Alteplase 1 mg/ml
Glucosio 5% 1713
Precipitazioni immediate Incompatibile
Iniezione Bivalirudin
Iniezione Alteplase
3539
Compatibile
Iniezione Bivalirudin 5 mg/ml
Iniezione Amikacin sulfate 5 mg/ml
Glucosio 5% 1713
Compatibile
Iniezione Bivalirudin 5 mg/ml
Iniezione Aminophylline 2.5 mg/ml
Glucosio 5% 1713
Precipitazioni immediate Incompatibile
Iniezione Bivalirudin
Iniezione Amiodarone hydrochloride
3539
Torbidità immediata Incompatibile
Iniezione Bivalirudin 5 mg/ml
Iniezione Amiodarone hydrochloride 4 mg/ml
Glucosio 5% 1713
Precipitazioni immediate Incompatibile
Iniezione Bivalirudin
Iniezione Amphotericin B
3539
Precipitazioni immediate Incompatibile
Iniezione Bivalirudin 5 mg/ml
Iniezione Amphotericin B 0.6 mg/ml
Glucosio 5% 1713
Compatibile
Iniezione Bivalirudin 5 mg/ml
Iniezione Ampicillin sodium 20 mg/ml
Glucosio 5% 1713
Compatibile
Iniezione Bivalirudin 5 mg/ml
Iniezione Ampicillin sodium - sulbactam sodium 20/10 mg/ml
Glucosio 5% 1713
Compatibile
Iniezione Bivalirudin 5 mg/ml
Iniezione Atropine sulfate 0,4 mg/ml
Glucosio 5% 1944
Compatibile
Iniezione Bivalirudin 5 mg/ml
Iniezione Atropine sulfate 0,4 mg/ml
Cloruro di sodio 0,9% 1944
Compatibile
Iniezione Bivalirudin 5 mg/ml
Iniezione Azithromycine 2 mg/ml
Glucosio 5% 1713
Compatibile
Iniezione Bivalirudin 5 mg/ml
Iniezione Aztreonam 40 mg/ml
Glucosio 5% 1713
Compatibile
Iniezione Bivalirudin 5 mg/ml
Iniezione Bretylium tosilate 50 mg/ml
Glucosio 5% 1713
Compatibile
Iniezione Bivalirudin 5 mg/ml
Iniezione Bumetanide 0.04 mg/ml
Glucosio 5% 1713
Compatibile
Iniezione Bivalirudin 5 mg/ml
Iniezione Butorphanol tartrate 0.04 mg/ml
Glucosio 5% 1713
Compatibile
Iniezione Bivalirudin 5 mg/ml
Iniezione Calcium gluconate 40 mg/ml
Glucosio 5% 1713
Compatibile
Iniezione Bivalirudin 5 mg/ml
Iniezione Cefazolin sodium 20 mg/ml
Glucosio 5% 1713
Compatibile
Iniezione Bivalirudin 5 mg/ml
Iniezione Cefepime dihydrochloride 20 mg/ml
Glucosio 5% 1713
Compatibile
Iniezione Bivalirudin 5 mg/ml
Iniezione Cefoperazone sodium 40 mg/ml
Glucosio 5% 1713
Compatibile
Iniezione Bivalirudin 5 mg/ml
Iniezione Cefotaxime sodium 20 mg/ml
Glucosio 5% 1713
Compatibile
Iniezione Bivalirudin 5 mg/ml
Iniezione Ceftazidime 40 mg/ml
Glucosio 5% 1713
Precipitazioni immediate Incompatibile
Iniezione Bivalirudin
Iniezione Chlorpromazine hydrochloride
3539
Compatibile
Iniezione Bivalirudin
Glucosio 5% 3539
Compatibile
Iniezione Bivalirudin 5 mg/ml
Iniezione Cefoxitin sodium 20 mg/ml
Glucosio 5% 1713
Compatibile
Iniezione Bivalirudin 5 mg/ml
Iniezione Ceftizoxime sodium 20 mg/ml
Glucosio 5% 1713
Compatibile
Iniezione Bivalirudin 5 mg/ml
Iniezione Ceftriaxone disodium 20 mg/ml
Glucosio 5% 1713
Compatibile
Iniezione Bivalirudin 5 mg/ml
Iniezione Cefuroxime sodium 30 mg/ml
Glucosio 5% 1713
Precipitazioni immediate Incompatibile
Iniezione Bivalirudin 5 mg/ml
Iniezione Chlorpromazine hydrochloride 2 mg/ml
Glucosio 5% 1713
Compatibile
Iniezione Bivalirudin 5 mg/ml
Iniezione Cimetidine hydrochloride 12 mg/ml
Glucosio 5% 1713
Compatibile
Iniezione Bivalirudin 5 mg/ml
Iniezione Ciprofloxacin lactate 2 mg/ml
Glucosio 5% 1713
Compatibile
Iniezione Bivalirudin 5 mg/ml
Iniezione Clindamycin phosphate 10 mg/ml
Glucosio 5% 1713
Compatibile
Iniezione Bivalirudin 5 mg/ml
Iniezione Co-trimoxazole 4/0.8 mg/ml
Glucosio 5% 1713
Compatibile
Iniezione Bivalirudin 5 mg/ml
Iniezione Dexamethasone sodium phosphate 1 mg/ml
Glucosio 5% 1713
Precipitazioni immediate Incompatibile
Iniezione Bivalirudin 5 mg/ml
Iniezione Diazepam 5 mg/ml
Glucosio 5% 1713
Precipitazioni immediate Incompatibile
Iniezione Bivalirudin
Iniezione Diazepam
3539
Compatibile
Iniezione Bivalirudin 5 mg/ml
Iniezione Digoxin 250 µg/ml
Glucosio 5% 1713
Compatibile
Iniezione Bivalirudin 5 mg/ml
Iniezione Diltiazem hydrochloride 5 mg/ml
Cloruro di sodio 0,9% 1944
Compatibile
Iniezione Bivalirudin 5 mg/ml
Iniezione Diltiazem hydrochloride 5 mg/ml
Glucosio 5% 1713
Compatibile
Iniezione Bivalirudin 5 mg/ml
Iniezione Diltiazem hydrochloride 5 mg/ml
Glucosio 5% 1944
Compatibile
Iniezione Bivalirudin 5 mg/ml
Iniezione Diphenhydramine hydrochloride 2 mg/ml
Glucosio 5% 1713
Compatibile
Iniezione Bivalirudin 5 mg/ml
Iniezione Dobutamine hydrochloride 4 mg/ml
Glucosio 5% 1713
Compatibile
Iniezione Bivalirudin
Iniezione Dobutamine hydrochloride 4 mg/ml
3539
Precipitazioni immediate Incompatibile
Iniezione Bivalirudin 5 mg/ml
Iniezione Dobutamine hydrochloride 12,5 mg/ml
Glucosio 5% 1944
Incompatibilità non specificata Incompatibile
Iniezione Bivalirudin
Iniezione Dobutamine hydrochloride 12.5 mg/ml
3539
Precipitazioni immediate Incompatibile
Iniezione Bivalirudin 5 mg/ml
Iniezione Dobutamine hydrochloride 12,5 mg/ml
Cloruro di sodio 0,9% 1944
Compatibile
Iniezione Bivalirudin 5 mg/ml
Iniezione Dopamine hydrochloride 80 mg/ml
Cloruro di sodio 0,9% 1944
Compatibile
Iniezione Bivalirudin 5 mg/ml
Iniezione Dopamine hydrochloride 80 mg/ml
Glucosio 5% 1944
Compatibile
Iniezione Bivalirudin 5 mg/ml
Iniezione Dopamine hydrochloride 3.2 mg/ml
Glucosio 5% 1713
Compatibile
Iniezione Bivalirudin 5 mg/ml
Iniezione Doxycycline hyclate 1 mg/ml
Glucosio 5% 1713
Compatibile
Iniezione Bivalirudin 5 mg/ml
Iniezione Droperidol 2.5 mg/ml
Glucosio 5% 1713
Compatibile
Iniezione Bivalirudin 5 mg/ml
Iniezione Enalaprilate 0.1 mg/ml
Glucosio 5% 1713
Compatibile
Iniezione Bivalirudin 5 mg/ml
Iniezione Ephedrine hydrochloride 5 mg/ml
Glucosio 5% 1713
Compatibile
Iniezione Bivalirudin 5 mg/ml
Iniezione Epinephrine hydrochloride 50 µg/ml
Glucosio 5% 1713
Compatibile
Iniezione Bivalirudin 5 mg/ml
Iniezione Eptifibatide 2 mg/ml
Glucosio 5% 1713
Compatibile
Iniezione Bivalirudin 5 mg/ml
Iniezione Erythromycin lactobionate 5 mg/ml
Glucosio 5% 1713
Compatibile
Iniezione Bivalirudin 5 mg/ml
Iniezione Esmolol hydrochloride 10 mg/ml
Glucosio 5% 1713
Compatibile
Iniezione Bivalirudin
Iniezione Famotidine 2 mg/ml
3539
Incompatibilità non specificata Incompatibile
Iniezione Bivalirudin
Iniezione Famotidine 10 mg/ml
3539
Compatibile
Iniezione Bivalirudin 5 mg/ml
Iniezione Famotidine 2 mg/ml
Glucosio 5% 1713
Compatibile
Iniezione Bivalirudin 5 mg/ml
Iniezione Fentanyl citrate 50 µg/ml
Cloruro di sodio 0,9% 1944
Compatibile
Iniezione Bivalirudin 5 mg/ml
Iniezione Fentanyl citrate 50 µg/ml
Glucosio 5% 1944
Compatibile
Iniezione Bivalirudin 5 mg/ml
Iniezione Fentanyl citrate 50 µg/ml
Glucosio 5% 1713
Compatibile
Iniezione Bivalirudin 5 mg/ml
Iniezione Fluconazole 2 mg/ml
Glucosio 5% 1713
Compatibile
Iniezione Bivalirudin 5 mg/ml
Iniezione Furosemide 3 mg/ml
Glucosio 5% 1713
Compatibile
Iniezione Bivalirudin 5 mg/ml
Iniezione Gentamicin sulfate 5 mg/ml
Glucosio 5% 1713
Compatibile
Iniezione Bivalirudin
Iniezione Haloperidol lactate 0.2 mg/ml
3539
Compatibile
Iniezione Bivalirudin 5 mg/ml
Iniezione Haloperidol lactate 0.2 mg/ml
Glucosio 5% 1713
Incompatibilità non specificata Incompatibile
Iniezione Bivalirudin
Iniezione Haloperidol lactate 5 mg/ml
3539
Compatibile
Iniezione Bivalirudin 5 mg/ml
Iniezione Heparin sodium 100 UI/ml
Glucosio 5% 1713
Compatibile
Iniezione Bivalirudin 5 mg/ml
Iniezione Hydrocortisone sodium succinate 50 mg/ml
Cloruro di sodio 0,9% 1944
Compatibile
Iniezione Bivalirudin 5 mg/ml
Iniezione Hydrocortisone sodium succinate 50 mg/ml
Glucosio 5% 1944
Compatibile
Iniezione Bivalirudin 5 mg/ml
Iniezione Hydrocortisone sodium succinate 1 mg/ml
Glucosio 5% 1713
Compatibile
Iniezione Bivalirudin 5 mg/ml
Iniezione Hydromorphone hydrochloride 0.5 mg/ml
Glucosio 5% 1713
Compatibile
Iniezione Bivalirudin 5 mg/ml
Iniezione Isoprenaline hydrochloride 0.02 mg/ml
Glucosio 5% 1713
Incompatibilità non specificata Incompatibile
Iniezione Bivalirudin
Iniezione Labetalol hydrochloride 5 mg/ml
3539
Compatibile
Iniezione Bivalirudin 5 mg/ml
Iniezione Labetalol hydrochloride 2 mg/ml
Glucosio 5% 1713
Compatibile
Iniezione Bivalirudin
Iniezione Labetalol hydrochloride 2 mg/ml
3539
Compatibile
Iniezione Bivalirudin 5 mg/ml
Iniezione Levofloxacine 5 mg/ml
Glucosio 5% 1713
Compatibile
Iniezione Bivalirudin 5 mg/ml
Iniezione Lidocaine hydrochloride 10 mg/ml
Glucosio 5% 1713
Incompatibilità non specificata Incompatibile
Iniezione Bivalirudin
Iniezione Lorazepam 2 mg/ml
3539
Compatibile
Iniezione Bivalirudin
Iniezione Lorazepam 0.5 mg/ml
3539
Compatibile
Iniezione Bivalirudin 5 mg/ml
Iniezione Lorazepam 0.5 mg/ml
Glucosio 5% 1713
Compatibile
Iniezione Bivalirudin 5 mg/ml
Iniezione Magnesium sulfate 100 mg/ml
Glucosio 5% 1713
Compatibile
Iniezione Bivalirudin 5 mg/ml
Iniezione Mannitol 150 mg/ml
Glucosio 5% 1713
Compatibile
Iniezione Bivalirudin 5 mg/ml
Iniezione Methylprednisolone sodium succinate 5 mg/ml
Glucosio 5% 1713
Compatibile
Iniezione Bivalirudin 5 mg/ml
Iniezione Metoclopramide hydrochloride 5 mg/ml
Glucosio 5% 1713
Compatibile
Iniezione Bivalirudin 5 mg/ml
Iniezione Metoprolol tartrate 1 mg/ml
Cloruro di sodio 0,9% 1944
Compatibile
Iniezione Bivalirudin 5 mg/ml
Iniezione Metoprolol tartrate 1 mg/ml
Glucosio 5% 1944
Compatibile
Iniezione Bivalirudin 5 mg/ml
Iniezione Metronidazole 5 mg/ml
Glucosio 5% 1713
Compatibile
Iniezione Bivalirudin 5 mg/ml
Iniezione Midazolam hydrochloride 2 mg/ml
Glucosio 5% 1944
Compatibile
Iniezione Bivalirudin 5 mg/ml
Iniezione Midazolam hydrochloride 1 mg/ml
Glucosio 5% 1713
Compatibile
Iniezione Bivalirudin 5 mg/ml
Iniezione Midazolam hydrochloride 2 mg/ml
Cloruro di sodio 0,9% 1944
Compatibile
Iniezione Bivalirudin 5 mg/ml
Iniezione Milrinone lactate 0.2 mg/ml
Glucosio 5% 1713
Compatibile
Iniezione Bivalirudin 5 mg/ml
Iniezione Morphine sulfate 10 mg/ml
Cloruro di sodio 0,9% 1944
Compatibile
Iniezione Bivalirudin 5 mg/ml
Iniezione Morphine sulfate 10 mg/ml
Glucosio 5% 1944
Compatibile
Iniezione Bivalirudin 5 mg/ml
Iniezione Morphine sulfate 1 mg/ml
Glucosio 5% 1713
Compatibile
Iniezione Bivalirudin 5 mg/ml
Iniezione Nalbuphine hydrochloride 10 mg/ml
Glucosio 5% 1713
Compatibile
Iniezione Bivalirudin 5 mg/ml
Iniezione Nitroprusside sodium 2 mg/ml
Glucosio 5% 1713
Compatibile
Iniezione Bivalirudin
Cloruro di sodio 0,9% 3539
Compatibile
Iniezione Bivalirudin 5 mg/ml
Iniezione Nitroglycerin 0.4 mg/ml
Glucosio 5% 1713
Compatibile
Iniezione Bivalirudin 5 mg/ml
Iniezione Norepinephrine bitartrate 0.12 mg/ml
Glucosio 5% 1713
Compatibile
Iniezione Bivalirudin 5 mg/ml
Iniezione Ofloxacin 4 mg/ml
Glucosio 5% 1713
Compatibile
Iniezione Bivalirudin 5 mg/ml
Iniezione Pethidine hydrochloride 10 mg/ml
Glucosio 5% 1713
Compatibile
Iniezione Bivalirudin 5 mg/ml
Iniezione Phenylephrine hydrochloride 10 mg/ml
Glucosio 5% 1944
Compatibile
Iniezione Bivalirudin 5 mg/ml
Iniezione Phenylephrine hydrochloride 1 mg/ml
Glucosio 5% 1713
Compatibile
Iniezione Bivalirudin 5 mg/ml
Iniezione Phenylephrine hydrochloride 10 mg/ml
Cloruro di sodio 0,9% 1944
Compatibile
Iniezione Bivalirudin 5 mg/ml
Iniezione Piperacillin sodium 40 mg/ml
Glucosio 5% 1713
Compatibile
Iniezione Bivalirudin 5 mg/ml
Iniezione Piperacillin sodium / tazobactam 40/5 mg/ml
Glucosio 5% 1713
Compatibile
Iniezione Bivalirudin 5 mg/ml
Iniezione Potassium chloride 100 mEq/l
Glucosio 5% 1713
Compatibile
Iniezione Bivalirudin 5 mg/ml
Iniezione Procainamide hydrochloride 10 mg/ml
Glucosio 5% 1713
Precipitazioni immediate Incompatibile
Iniezione Bivalirudin
Iniezione Prochlorperazine edysilate 25 mg/ml
3539
Precipitazioni immediate Incompatibile
Iniezione Bivalirudin 5 mg/ml
Iniezione Prochlorperazine edysilate 0.5 mg/ml
Glucosio 5% 1713
Compatibile
Iniezione Bivalirudin
Iniezione Promethazine hydrochloride 2 mg/ml
3539
Incompatibilità non specificata Incompatibile
Iniezione Bivalirudin
Iniezione Promethazine hydrochloride 25 mg/ml
3539
Compatibile
Iniezione Bivalirudin 5 mg/ml
Iniezione Promethazine hydrochloride 2 mg/ml
Glucosio 5% 1713
Compatibile
Iniezione Bivalirudin 5 mg/ml
Iniezione Ranitidine hydrochloride 2 mg/ml
Glucosio 5% 1713
Precipitazioni immediate Incompatibile
Iniezione Bivalirudin 5 mg/ml
Iniezione Reteplase 1 UI/ml
Glucosio 5% 1713
Precipitazioni immediate Incompatibile
Iniezione Bivalirudin
Iniezione Reteplase
3539
Compatibile
Iniezione Bivalirudin 5 mg/ml
Iniezione Sodium bicarbonate 84 mg/ml
Glucosio 5% 1713
Precipitazioni immediate Incompatibile
Iniezione Bivalirudin 5 mg/ml
Iniezione Streptokinase 30000 UI/ml
Glucosio 5% 1713
Precipitazioni immediate Incompatibile
Iniezione Bivalirudin
Iniezione Streptokinase
3539
Compatibile
Iniezione Bivalirudin 5 mg/ml
Iniezione Sufentanil citrate 0.05 mg/ml
Glucosio 5% 1713
Compatibile
Iniezione Bivalirudin 5 mg/ml
Iniezione Theophylline 4 mg/ml
Glucosio 5% 1713
Compatibile
Iniezione Bivalirudin 5 mg/ml
Iniezione Thiopental sodium 25 mg/ml
Glucosio 5% 1713
Compatibile
Iniezione Bivalirudin 5 mg/ml
Iniezione Ticarcillin / clavulanic acid 31 mg/ml
Glucosio 5% 1713
Compatibile
Iniezione Bivalirudin 5 mg/ml
Iniezione Tirofiban 50 µg/ml
Glucosio 5% 1713
Compatibile
Iniezione Bivalirudin 5 mg/ml
Iniezione Tobramycin sulfate 5 mg/ml
Glucosio 5% 1713
Precipitazioni immediate Incompatibile
Iniezione Bivalirudin 5 mg/ml
Iniezione Vancomycin hydrochloride 10 mg/ml
Glucosio 5% 1713
Precipitazioni immediate Incompatibile
Iniezione Bivalirudin
Iniezione Vancomycin hydrochloride
3539
Compatibile
Iniezione Bivalirudin 5 mg/ml
Iniezione Verapamil hydrochloride 2,5 mg/ml
Cloruro di sodio 0,9% 1944
Compatibile
Iniezione Bivalirudin 5 mg/ml
Iniezione Verapamil hydrochloride 2,5 mg/ml
Glucosio 5% 1944
Compatibile
Iniezione Bivalirudin 5 mg/ml
Iniezione Verapamil hydrochloride 1.25 mg/ml
Glucosio 5% 1713
Compatibile
Iniezione Bivalirudin 5 mg/ml
Iniezione Warfarin sodium 2 mg/ml
Glucosio 5% 1713

  Mentions Légales