Letztes “update” :
25/03/2026
Antikoagulans   Bivalirudin  
Injektion
Stabilität der Lösung Gemengestabilität Stabilitätbeeinflussende Faktoren Kompatibilitäten Applikationsart Literaturverzeichnis pdf
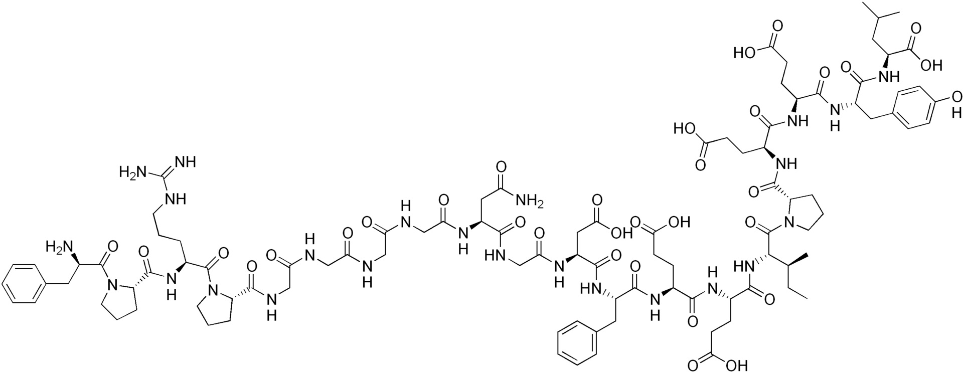
   Chemische Struktur  

Handelsmarke   Handelsmarke     

Handelsnamen sind als beispielhaft anzusehen. Sonstige Bestandteile können je nach Hersteller oder Land verschieden sein

Amuprux Argentinien
Angiomax Australien, Chile, Kanada, Neuseeland, Peru, Venezuela, Vereinigte Staaten von Amerika
Angiox Dänemark, Finnland, Griechenland, Großbritannien, Island, Italien, Niederlande, Norwegen, Österreich, Polen, Rumänien, Slowenien, Spanien, Ungarn, Vereinigte Staaten von Amerika
Bivalirudin Belgien, Dänemark, Deutschland, Finnland, Großbritannien, Schweden, Slowenien
Bivalirudina Italien, Spanien
Kompatibilitäten   Injektion   Kompatibilitäten : Bivalirudin              
Dieser Bildschirm zeigt die Kompatibilitäten oder Inkompatibilitäten mit der Art der Inkompatibilität (hier: Ausfällung, Farbänderung, Modifikation einer Emulsion usw.) an. Die hier gezeigten Kompatibilitäten sind meist nur physikalisch, wobei die chemische Stabilität jedes Moleküls selten bewertet wird. Die Bewertung dieser Gemische wurde untersucht, um die Möglichkeit einer Verabreichung über eine Y-Verbindung zu berücksichtigen. Diese Daten können daher nicht zur Herstellung von Mischungen im Voraus in Beuteln oder Spritzen verwendet werden. Sie finden diese Informationen auf dem Bildschirm "Stabilität in Mischung».
Molekül Lösungsmittel Literaturverzeichnis
kompatibel
Injektion Bivalirudin 5 mg/ml
Injektion Alfentanil hydrochloride 125 µg/ml
5% Glucose 1713
Sofortiger Niederschlag nicht kompatibel
Injektion Bivalirudin 5 mg/ml
Injektion Alteplase 1 mg/ml
5% Glucose 1713
Sofortiger Niederschlag nicht kompatibel
Injektion Bivalirudin
Injektion Alteplase
3539
kompatibel
Injektion Bivalirudin 5 mg/ml
Injektion Amikacin sulfate 5 mg/ml
5% Glucose 1713
kompatibel
Injektion Bivalirudin 5 mg/ml
Injektion Aminophylline 2.5 mg/ml
5% Glucose 1713
Sofortiger Niederschlag nicht kompatibel
Injektion Bivalirudin
Injektion Amiodarone hydrochloride
3539
Sofortige Trübung nicht kompatibel
Injektion Bivalirudin 5 mg/ml
Injektion Amiodarone hydrochloride 4 mg/ml
5% Glucose 1713
Sofortiger Niederschlag nicht kompatibel
Injektion Bivalirudin
Injektion Amphotericin B
3539
Sofortiger Niederschlag nicht kompatibel
Injektion Bivalirudin 5 mg/ml
Injektion Amphotericin B 0.6 mg/ml
5% Glucose 1713
kompatibel
Injektion Bivalirudin 5 mg/ml
Injektion Ampicillin sodium 20 mg/ml
5% Glucose 1713
kompatibel
Injektion Bivalirudin 5 mg/ml
Injektion Ampicillin sodium - sulbactam sodium 20/10 mg/ml
5% Glucose 1713
kompatibel
Injektion Bivalirudin 5 mg/ml
Injektion Atropine sulfate 0,4 mg/ml
5% Glucose 1944
kompatibel
Injektion Bivalirudin 5 mg/ml
Injektion Atropine sulfate 0,4 mg/ml
0,9% Natriumchlorid 1944
kompatibel
Injektion Bivalirudin 5 mg/ml
Injektion Azithromycine 2 mg/ml
5% Glucose 1713
kompatibel
Injektion Bivalirudin 5 mg/ml
Injektion Aztreonam 40 mg/ml
5% Glucose 1713
kompatibel
Injektion Bivalirudin 5 mg/ml
Injektion Bretylium tosilate 50 mg/ml
5% Glucose 1713
kompatibel
Injektion Bivalirudin 5 mg/ml
Injektion Bumetanide 0.04 mg/ml
5% Glucose 1713
kompatibel
Injektion Bivalirudin 5 mg/ml
Injektion Butorphanol tartrate 0.04 mg/ml
5% Glucose 1713
kompatibel
Injektion Bivalirudin 5 mg/ml
Injektion Calcium gluconate 40 mg/ml
5% Glucose 1713
kompatibel
Injektion Bivalirudin 5 mg/ml
Injektion Cefazolin sodium 20 mg/ml
5% Glucose 1713
kompatibel
Injektion Bivalirudin 5 mg/ml
Injektion Cefepime dihydrochloride 20 mg/ml
5% Glucose 1713
kompatibel
Injektion Bivalirudin 5 mg/ml
Injektion Cefoperazone sodium 40 mg/ml
5% Glucose 1713
kompatibel
Injektion Bivalirudin 5 mg/ml
Injektion Cefotaxime sodium 20 mg/ml
5% Glucose 1713
kompatibel
Injektion Bivalirudin 5 mg/ml
Injektion Ceftazidime 40 mg/ml
5% Glucose 1713
Sofortiger Niederschlag nicht kompatibel
Injektion Bivalirudin
Injektion Chlorpromazine hydrochloride
3539
kompatibel
Injektion Bivalirudin
5% Glucose 3539
kompatibel
Injektion Bivalirudin 5 mg/ml
Injektion Cefoxitin sodium 20 mg/ml
5% Glucose 1713
kompatibel
Injektion Bivalirudin 5 mg/ml
Injektion Ceftizoxime sodium 20 mg/ml
5% Glucose 1713
kompatibel
Injektion Bivalirudin 5 mg/ml
Injektion Ceftriaxone disodium 20 mg/ml
5% Glucose 1713
kompatibel
Injektion Bivalirudin 5 mg/ml
Injektion Cefuroxime sodium 30 mg/ml
5% Glucose 1713
Sofortiger Niederschlag nicht kompatibel
Injektion Bivalirudin 5 mg/ml
Injektion Chlorpromazine hydrochloride 2 mg/ml
5% Glucose 1713
kompatibel
Injektion Bivalirudin 5 mg/ml
Injektion Cimetidine hydrochloride 12 mg/ml
5% Glucose 1713
kompatibel
Injektion Bivalirudin 5 mg/ml
Injektion Ciprofloxacin lactate 2 mg/ml
5% Glucose 1713
kompatibel
Injektion Bivalirudin 5 mg/ml
Injektion Clindamycin phosphate 10 mg/ml
5% Glucose 1713
kompatibel
Injektion Bivalirudin 5 mg/ml
Injektion Co-trimoxazole 4/0.8 mg/ml
5% Glucose 1713
kompatibel
Injektion Bivalirudin 5 mg/ml
Injektion Dexamethasone sodium phosphate 1 mg/ml
5% Glucose 1713
Sofortiger Niederschlag nicht kompatibel
Injektion Bivalirudin 5 mg/ml
Injektion Diazepam 5 mg/ml
5% Glucose 1713
Sofortiger Niederschlag nicht kompatibel
Injektion Bivalirudin
Injektion Diazepam
3539
kompatibel
Injektion Bivalirudin 5 mg/ml
Injektion Digoxin 250 µg/ml
5% Glucose 1713
kompatibel
Injektion Bivalirudin 5 mg/ml
Injektion Diltiazem hydrochloride 5 mg/ml
0,9% Natriumchlorid 1944
kompatibel
Injektion Bivalirudin 5 mg/ml
Injektion Diltiazem hydrochloride 5 mg/ml
5% Glucose 1713
kompatibel
Injektion Bivalirudin 5 mg/ml
Injektion Diltiazem hydrochloride 5 mg/ml
5% Glucose 1944
kompatibel
Injektion Bivalirudin 5 mg/ml
Injektion Diphenhydramine hydrochloride 2 mg/ml
5% Glucose 1713
kompatibel
Injektion Bivalirudin 5 mg/ml
Injektion Dobutamine hydrochloride 4 mg/ml
5% Glucose 1713
kompatibel
Injektion Bivalirudin
Injektion Dobutamine hydrochloride 4 mg/ml
3539
Sofortiger Niederschlag nicht kompatibel
Injektion Bivalirudin 5 mg/ml
Injektion Dobutamine hydrochloride 12,5 mg/ml
5% Glucose 1944
Nicht spezifizierte Inkompatibilität nicht kompatibel
Injektion Bivalirudin
Injektion Dobutamine hydrochloride 12.5 mg/ml
3539
Sofortiger Niederschlag nicht kompatibel
Injektion Bivalirudin 5 mg/ml
Injektion Dobutamine hydrochloride 12,5 mg/ml
0,9% Natriumchlorid 1944
kompatibel
Injektion Bivalirudin 5 mg/ml
Injektion Dopamine hydrochloride 80 mg/ml
0,9% Natriumchlorid 1944
kompatibel
Injektion Bivalirudin 5 mg/ml
Injektion Dopamine hydrochloride 80 mg/ml
5% Glucose 1944
kompatibel
Injektion Bivalirudin 5 mg/ml
Injektion Dopamine hydrochloride 3.2 mg/ml
5% Glucose 1713
kompatibel
Injektion Bivalirudin 5 mg/ml
Injektion Doxycycline hyclate 1 mg/ml
5% Glucose 1713
kompatibel
Injektion Bivalirudin 5 mg/ml
Injektion Droperidol 2.5 mg/ml
5% Glucose 1713
kompatibel
Injektion Bivalirudin 5 mg/ml
Injektion Enalaprilate 0.1 mg/ml
5% Glucose 1713
kompatibel
Injektion Bivalirudin 5 mg/ml
Injektion Ephedrine hydrochloride 5 mg/ml
5% Glucose 1713
kompatibel
Injektion Bivalirudin 5 mg/ml
Injektion Epinephrine hydrochloride 50 µg/ml
5% Glucose 1713
kompatibel
Injektion Bivalirudin 5 mg/ml
Injektion Eptifibatide 2 mg/ml
5% Glucose 1713
kompatibel
Injektion Bivalirudin 5 mg/ml
Injektion Erythromycin lactobionate 5 mg/ml
5% Glucose 1713
kompatibel
Injektion Bivalirudin 5 mg/ml
Injektion Esmolol hydrochloride 10 mg/ml
5% Glucose 1713
kompatibel
Injektion Bivalirudin
Injektion Famotidine 2 mg/ml
3539
Nicht spezifizierte Inkompatibilität nicht kompatibel
Injektion Bivalirudin
Injektion Famotidine 10 mg/ml
3539
kompatibel
Injektion Bivalirudin 5 mg/ml
Injektion Famotidine 2 mg/ml
5% Glucose 1713
kompatibel
Injektion Bivalirudin 5 mg/ml
Injektion Fentanyl citrate 50 µg/ml
0,9% Natriumchlorid 1944
kompatibel
Injektion Bivalirudin 5 mg/ml
Injektion Fentanyl citrate 50 µg/ml
5% Glucose 1944
kompatibel
Injektion Bivalirudin 5 mg/ml
Injektion Fentanyl citrate 50 µg/ml
5% Glucose 1713
kompatibel
Injektion Bivalirudin 5 mg/ml
Injektion Fluconazole 2 mg/ml
5% Glucose 1713
kompatibel
Injektion Bivalirudin 5 mg/ml
Injektion Furosemide 3 mg/ml
5% Glucose 1713
kompatibel
Injektion Bivalirudin 5 mg/ml
Injektion Gentamicin sulfate 5 mg/ml
5% Glucose 1713
kompatibel
Injektion Bivalirudin
Injektion Haloperidol lactate 0.2 mg/ml
3539
kompatibel
Injektion Bivalirudin 5 mg/ml
Injektion Haloperidol lactate 0.2 mg/ml
5% Glucose 1713
Nicht spezifizierte Inkompatibilität nicht kompatibel
Injektion Bivalirudin
Injektion Haloperidol lactate 5 mg/ml
3539
kompatibel
Injektion Bivalirudin 5 mg/ml
Injektion Heparin sodium 100 UI/ml
5% Glucose 1713
kompatibel
Injektion Bivalirudin 5 mg/ml
Injektion Hydrocortisone sodium succinate 50 mg/ml
0,9% Natriumchlorid 1944
kompatibel
Injektion Bivalirudin 5 mg/ml
Injektion Hydrocortisone sodium succinate 50 mg/ml
5% Glucose 1944
kompatibel
Injektion Bivalirudin 5 mg/ml
Injektion Hydrocortisone sodium succinate 1 mg/ml
5% Glucose 1713
kompatibel
Injektion Bivalirudin 5 mg/ml
Injektion Hydromorphone hydrochloride 0.5 mg/ml
5% Glucose 1713
kompatibel
Injektion Bivalirudin 5 mg/ml
Injektion Isoprenaline hydrochloride 0.02 mg/ml
5% Glucose 1713
Nicht spezifizierte Inkompatibilität nicht kompatibel
Injektion Bivalirudin
Injektion Labetalol hydrochloride 5 mg/ml
3539
kompatibel
Injektion Bivalirudin 5 mg/ml
Injektion Labetalol hydrochloride 2 mg/ml
5% Glucose 1713
kompatibel
Injektion Bivalirudin
Injektion Labetalol hydrochloride 2 mg/ml
3539
kompatibel
Injektion Bivalirudin 5 mg/ml
Injektion Levofloxacine 5 mg/ml
5% Glucose 1713
kompatibel
Injektion Bivalirudin 5 mg/ml
Injektion Lidocaine hydrochloride 10 mg/ml
5% Glucose 1713
Nicht spezifizierte Inkompatibilität nicht kompatibel
Injektion Bivalirudin
Injektion Lorazepam 2 mg/ml
3539
kompatibel
Injektion Bivalirudin
Injektion Lorazepam 0.5 mg/ml
3539
kompatibel
Injektion Bivalirudin 5 mg/ml
Injektion Lorazepam 0.5 mg/ml
5% Glucose 1713
kompatibel
Injektion Bivalirudin 5 mg/ml
Injektion Magnesium sulfate 100 mg/ml
5% Glucose 1713
kompatibel
Injektion Bivalirudin 5 mg/ml
Injektion Mannitol 150 mg/ml
5% Glucose 1713
kompatibel
Injektion Bivalirudin 5 mg/ml
Injektion Methylprednisolone sodium succinate 5 mg/ml
5% Glucose 1713
kompatibel
Injektion Bivalirudin 5 mg/ml
Injektion Metoclopramide hydrochloride 5 mg/ml
5% Glucose 1713
kompatibel
Injektion Bivalirudin 5 mg/ml
Injektion Metoprolol tartrate 1 mg/ml
0,9% Natriumchlorid 1944
kompatibel
Injektion Bivalirudin 5 mg/ml
Injektion Metoprolol tartrate 1 mg/ml
5% Glucose 1944
kompatibel
Injektion Bivalirudin 5 mg/ml
Injektion Metronidazole 5 mg/ml
5% Glucose 1713
kompatibel
Injektion Bivalirudin 5 mg/ml
Injektion Midazolam hydrochloride 2 mg/ml
5% Glucose 1944
kompatibel
Injektion Bivalirudin 5 mg/ml
Injektion Midazolam hydrochloride 1 mg/ml
5% Glucose 1713
kompatibel
Injektion Bivalirudin 5 mg/ml
Injektion Midazolam hydrochloride 2 mg/ml
0,9% Natriumchlorid 1944
kompatibel
Injektion Bivalirudin 5 mg/ml
Injektion Milrinone lactate 0.2 mg/ml
5% Glucose 1713
kompatibel
Injektion Bivalirudin 5 mg/ml
Injektion Morphine sulfate 10 mg/ml
0,9% Natriumchlorid 1944
kompatibel
Injektion Bivalirudin 5 mg/ml
Injektion Morphine sulfate 10 mg/ml
5% Glucose 1944
kompatibel
Injektion Bivalirudin 5 mg/ml
Injektion Morphine sulfate 1 mg/ml
5% Glucose 1713
kompatibel
Injektion Bivalirudin 5 mg/ml
Injektion Nalbuphine hydrochloride 10 mg/ml
5% Glucose 1713
kompatibel
Injektion Bivalirudin 5 mg/ml
Injektion Nitroprusside sodium 2 mg/ml
5% Glucose 1713
kompatibel
Injektion Bivalirudin
0,9% Natriumchlorid 3539
kompatibel
Injektion Bivalirudin 5 mg/ml
Injektion Nitroglycerin 0.4 mg/ml
5% Glucose 1713
kompatibel
Injektion Bivalirudin 5 mg/ml
Injektion Norepinephrine bitartrate 0.12 mg/ml
5% Glucose 1713
kompatibel
Injektion Bivalirudin 5 mg/ml
Injektion Ofloxacin 4 mg/ml
5% Glucose 1713
kompatibel
Injektion Bivalirudin 5 mg/ml
Injektion Pethidine hydrochloride 10 mg/ml
5% Glucose 1713
kompatibel
Injektion Bivalirudin 5 mg/ml
Injektion Phenylephrine hydrochloride 10 mg/ml
5% Glucose 1944
kompatibel
Injektion Bivalirudin 5 mg/ml
Injektion Phenylephrine hydrochloride 1 mg/ml
5% Glucose 1713
kompatibel
Injektion Bivalirudin 5 mg/ml
Injektion Phenylephrine hydrochloride 10 mg/ml
0,9% Natriumchlorid 1944
kompatibel
Injektion Bivalirudin 5 mg/ml
Injektion Piperacillin sodium 40 mg/ml
5% Glucose 1713
kompatibel
Injektion Bivalirudin 5 mg/ml
Injektion Piperacillin sodium / tazobactam 40/5 mg/ml
5% Glucose 1713
kompatibel
Injektion Bivalirudin 5 mg/ml
Injektion Potassium chloride 100 mEq/l
5% Glucose 1713
kompatibel
Injektion Bivalirudin 5 mg/ml
Injektion Procainamide hydrochloride 10 mg/ml
5% Glucose 1713
Sofortiger Niederschlag nicht kompatibel
Injektion Bivalirudin
Injektion Prochlorperazine edysilate 25 mg/ml
3539
Sofortiger Niederschlag nicht kompatibel
Injektion Bivalirudin 5 mg/ml
Injektion Prochlorperazine edysilate 0.5 mg/ml
5% Glucose 1713
kompatibel
Injektion Bivalirudin
Injektion Promethazine hydrochloride 2 mg/ml
3539
Nicht spezifizierte Inkompatibilität nicht kompatibel
Injektion Bivalirudin
Injektion Promethazine hydrochloride 25 mg/ml
3539
kompatibel
Injektion Bivalirudin 5 mg/ml
Injektion Promethazine hydrochloride 2 mg/ml
5% Glucose 1713
kompatibel
Injektion Bivalirudin 5 mg/ml
Injektion Ranitidine hydrochloride 2 mg/ml
5% Glucose 1713
Sofortiger Niederschlag nicht kompatibel
Injektion Bivalirudin 5 mg/ml
Injektion Reteplase 1 UI/ml
5% Glucose 1713
Sofortiger Niederschlag nicht kompatibel
Injektion Bivalirudin
Injektion Reteplase
3539
kompatibel
Injektion Bivalirudin 5 mg/ml
Injektion Sodium bicarbonate 84 mg/ml
5% Glucose 1713
Sofortiger Niederschlag nicht kompatibel
Injektion Bivalirudin 5 mg/ml
Injektion Streptokinase 30000 UI/ml
5% Glucose 1713
Sofortiger Niederschlag nicht kompatibel
Injektion Bivalirudin
Injektion Streptokinase
3539
kompatibel
Injektion Bivalirudin 5 mg/ml
Injektion Sufentanil citrate 0.05 mg/ml
5% Glucose 1713
kompatibel
Injektion Bivalirudin 5 mg/ml
Injektion Theophylline 4 mg/ml
5% Glucose 1713
kompatibel
Injektion Bivalirudin 5 mg/ml
Injektion Thiopental sodium 25 mg/ml
5% Glucose 1713
kompatibel
Injektion Bivalirudin 5 mg/ml
Injektion Ticarcillin / clavulanic acid 31 mg/ml
5% Glucose 1713
kompatibel
Injektion Bivalirudin 5 mg/ml
Injektion Tirofiban 50 µg/ml
5% Glucose 1713
kompatibel
Injektion Bivalirudin 5 mg/ml
Injektion Tobramycin sulfate 5 mg/ml
5% Glucose 1713
Sofortiger Niederschlag nicht kompatibel
Injektion Bivalirudin 5 mg/ml
Injektion Vancomycin hydrochloride 10 mg/ml
5% Glucose 1713
Sofortiger Niederschlag nicht kompatibel
Injektion Bivalirudin
Injektion Vancomycin hydrochloride
3539
kompatibel
Injektion Bivalirudin 5 mg/ml
Injektion Verapamil hydrochloride 2,5 mg/ml
0,9% Natriumchlorid 1944
kompatibel
Injektion Bivalirudin 5 mg/ml
Injektion Verapamil hydrochloride 2,5 mg/ml
5% Glucose 1944
kompatibel
Injektion Bivalirudin 5 mg/ml
Injektion Verapamil hydrochloride 1.25 mg/ml
5% Glucose 1713
kompatibel
Injektion Bivalirudin 5 mg/ml
Injektion Warfarin sodium 2 mg/ml
5% Glucose 1713

  Mentions Légales