Última actualización :
06/02/2026
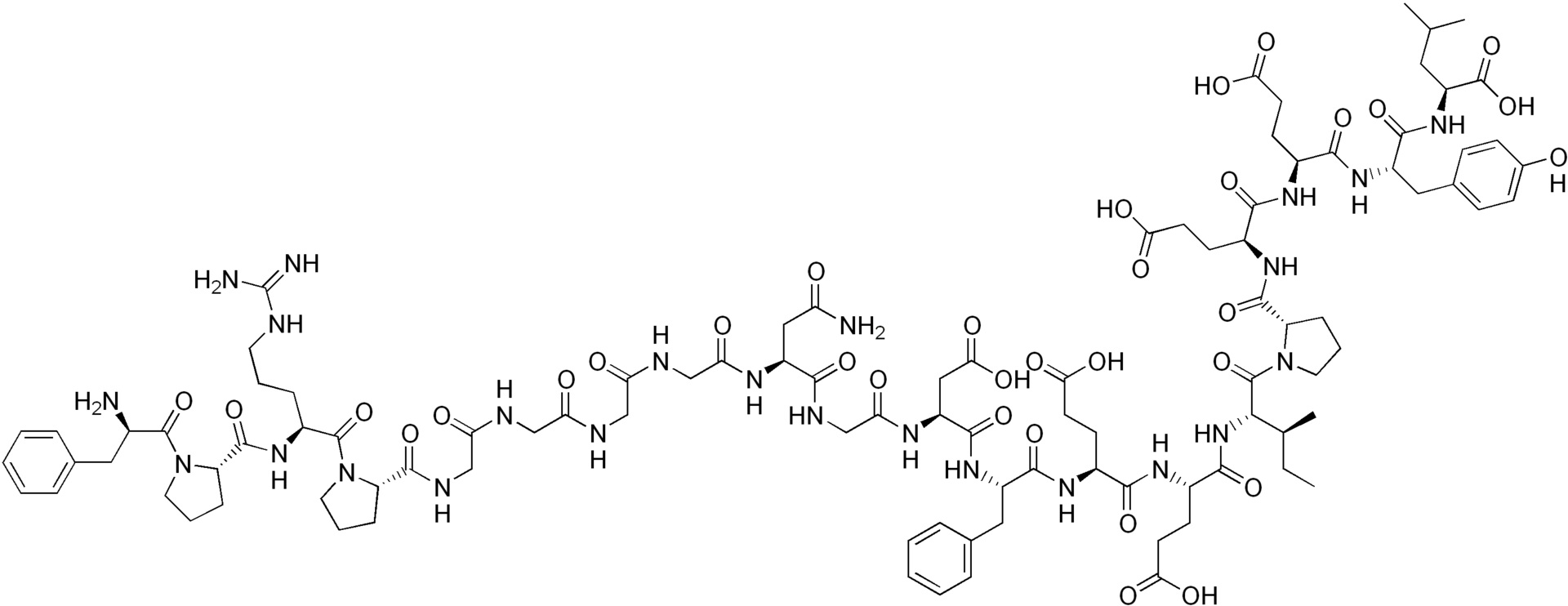
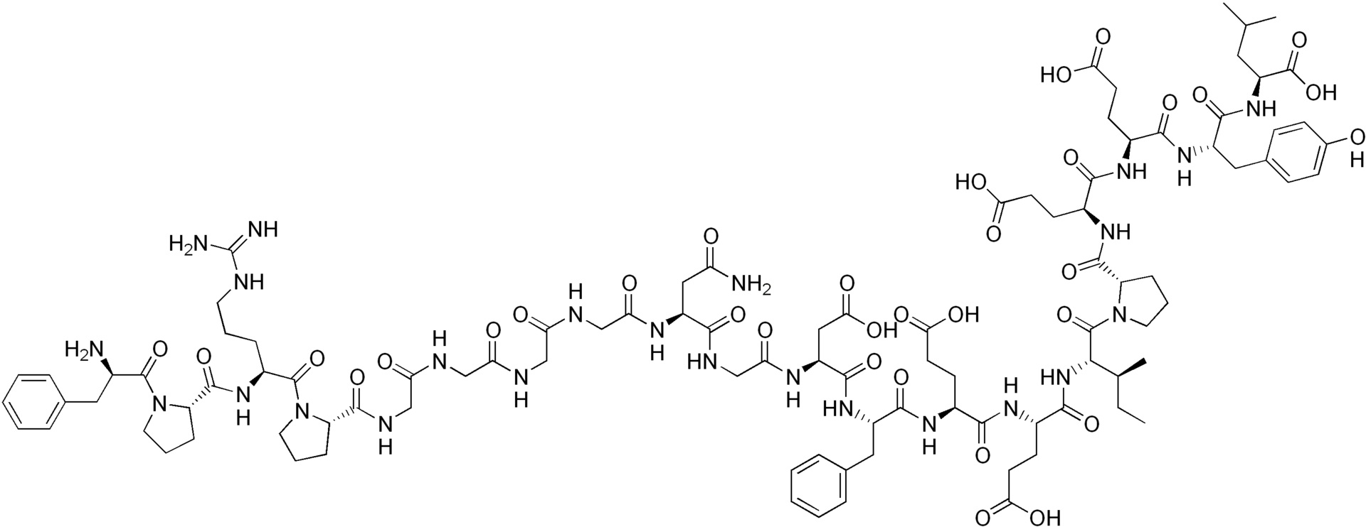
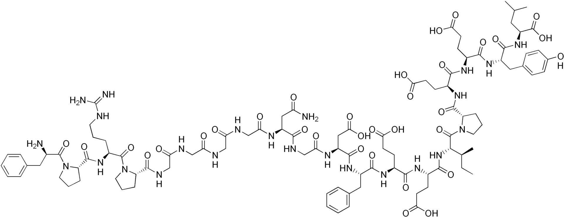
Anticoagulante   Bivalirudin  
Inyectables
Estabilidad en solucion Estabilidad en mezcla Factores que influyen sobre la estabilidad Compatibilidades método de inyección Bibliografía pdf
   Estructura química  

Nombre comercial   Nombre comercial     

Los nombres comerciales son orientativos y los excipientes de la formulación pueden ser distintos dependiendo del país y del laboratorio fabricante.

Amuprux Argentina
Angiomax Australia, Canadá, Chile, Estados Unidos de América, Marruecos, Nueva Zelanda, Venezuela
Angiox Austria, Dinamarca, Eslovenia, España, Estados Unidos de América, Finlandia, Gran Bretaña, Grecia, Hungría, Islandia, Italia, Noruega, Países Bajos, Polonia, Rumania
Bivalirudin Alemania, Bélgica, Dinamarca, Eslovenia, Finlandia, Gran Bretaña, Suecia
Bivalirudina España, Italia

Factores que influyen sobre la estabilidad   Inyectables   Factores que influyen sobre la estabilidad : Bivalirudin        
Ausencia de datos

  Mentions Légales