Zadnji put ažurirano :
25/03/2026
antikoagulant   Bivalirudin  
injekcija
Stabilizacija rješenja Stabilnost mješavine Stabilizacijski faktor Kompatibilnosti način davanja lijeka Bibliografija pdf
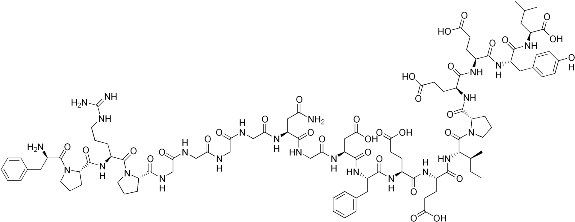
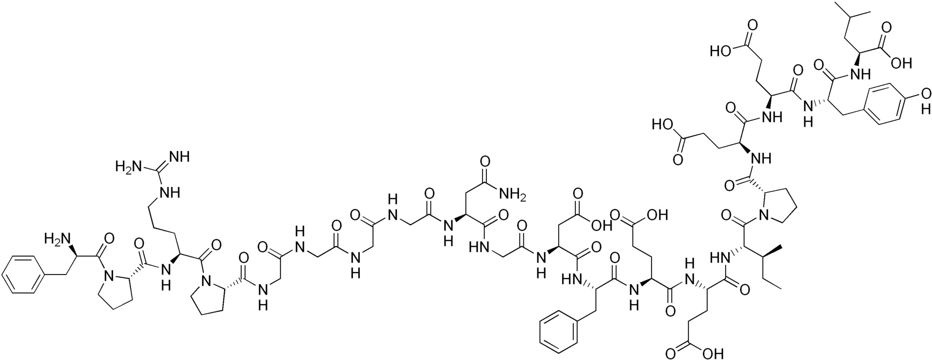
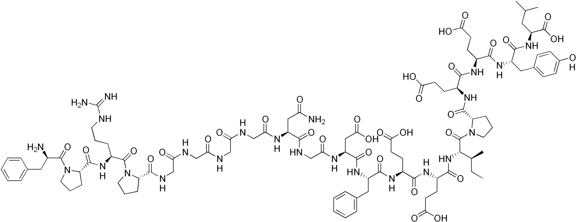
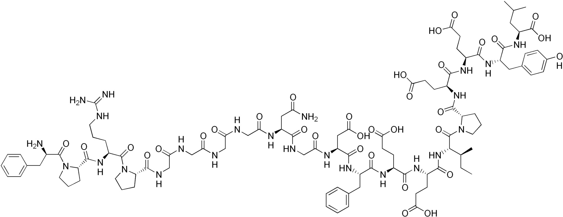
   Kemijska struktura  

Nekomercijalni   Nekomercijalni     

Zaštićeni nazivi su indikativni i sastav ekscipijensa može biti različit ovisno o državi i laboratorijima

Amuprux Argentina
Angiomax Australija, Čile, Kanada, novi Zeland, Peru, S A D, Venecuela
Angiox Austrija, Danska, Finska, Grčka, Island, Italija, Madžarska, Nizozemska, Norveška, Poljska, Rumunjska, S A D, Slovenija, Španjolska, Velika Britanija
Bivalirudin Belgija, Danska, Finska, Njemačka, Slovenija, Švedska, Velika Britanija
Bivalirudina Italija, Španjolska
Kompatibilnosti   injekcija   Kompatibilnosti : Bivalirudin              
Ovdje su prikazane kompatibilnosti ili nekompatibilnosti s tipom nekompatibilnosti (taloženje, promjena boje, modifikacija emulzije itd.) u ovom slučaju. Kompatibilnosti prikazane ovdje najčešće su fizikalne dok se kemijska stabilnost molekule rijetko procjenjuje. Procjena ovih mikstura je proučavana kako bi se razmotrila mogućnost primjene lijeka putem Y-mjesta. Ovi se podaci ne smiju koristiti za pripremu mikstura unaprijed u vrećicama ili štrcaljkama. Ova vrsta informacije se može pronaći u odjeljku « stabilnost u miksturama ».
molekula sredstvo za rastapanje Bibliografija
Kompatibilan
injekcija Bivalirudin 5 mg/ml
injekcija Alfentanil hydrochloride 125 µg/ml
glukoza 5% 1713
Neposredne oborine inkompatibilan
injekcija Bivalirudin 5 mg/ml
injekcija Alteplase 1 mg/ml
glukoza 5% 1713
Neposredne oborine inkompatibilan
injekcija Bivalirudin
injekcija Alteplase
3539
Kompatibilan
injekcija Bivalirudin 5 mg/ml
injekcija Amikacin sulfate 5 mg/ml
glukoza 5% 1713
Kompatibilan
injekcija Bivalirudin 5 mg/ml
injekcija Aminophylline 2.5 mg/ml
glukoza 5% 1713
Neposredne oborine inkompatibilan
injekcija Bivalirudin
injekcija Amiodarone hydrochloride
3539
Neposredna zamućenost inkompatibilan
injekcija Bivalirudin 5 mg/ml
injekcija Amiodarone hydrochloride 4 mg/ml
glukoza 5% 1713
Neposredne oborine inkompatibilan
injekcija Bivalirudin
injekcija Amphotericin B
3539
Neposredne oborine inkompatibilan
injekcija Bivalirudin 5 mg/ml
injekcija Amphotericin B 0.6 mg/ml
glukoza 5% 1713
Kompatibilan
injekcija Bivalirudin 5 mg/ml
injekcija Ampicillin sodium 20 mg/ml
glukoza 5% 1713
Kompatibilan
injekcija Bivalirudin 5 mg/ml
injekcija Ampicillin sodium - sulbactam sodium 20/10 mg/ml
glukoza 5% 1713
Kompatibilan
injekcija Bivalirudin 5 mg/ml
injekcija Atropine sulfate 0,4 mg/ml
glukoza 5% 1944
Kompatibilan
injekcija Bivalirudin 5 mg/ml
injekcija Atropine sulfate 0,4 mg/ml
natrijumkorid 0,9% 1944
Kompatibilan
injekcija Bivalirudin 5 mg/ml
injekcija Azithromycine 2 mg/ml
glukoza 5% 1713
Kompatibilan
injekcija Bivalirudin 5 mg/ml
injekcija Aztreonam 40 mg/ml
glukoza 5% 1713
Kompatibilan
injekcija Bivalirudin 5 mg/ml
injekcija Bretylium tosilate 50 mg/ml
glukoza 5% 1713
Kompatibilan
injekcija Bivalirudin 5 mg/ml
injekcija Bumetanide 0.04 mg/ml
glukoza 5% 1713
Kompatibilan
injekcija Bivalirudin 5 mg/ml
injekcija Butorphanol tartrate 0.04 mg/ml
glukoza 5% 1713
Kompatibilan
injekcija Bivalirudin 5 mg/ml
injekcija Calcium gluconate 40 mg/ml
glukoza 5% 1713
Kompatibilan
injekcija Bivalirudin 5 mg/ml
injekcija Cefazolin sodium 20 mg/ml
glukoza 5% 1713
Kompatibilan
injekcija Bivalirudin 5 mg/ml
injekcija Cefepime dihydrochloride 20 mg/ml
glukoza 5% 1713
Kompatibilan
injekcija Bivalirudin 5 mg/ml
injekcija Cefoperazone sodium 40 mg/ml
glukoza 5% 1713
Kompatibilan
injekcija Bivalirudin 5 mg/ml
injekcija Cefotaxime sodium 20 mg/ml
glukoza 5% 1713
Kompatibilan
injekcija Bivalirudin 5 mg/ml
injekcija Ceftazidime 40 mg/ml
glukoza 5% 1713
Neposredne oborine inkompatibilan
injekcija Bivalirudin
injekcija Chlorpromazine hydrochloride
3539
Kompatibilan
injekcija Bivalirudin
glukoza 5% 3539
Kompatibilan
injekcija Bivalirudin 5 mg/ml
injekcija Cefoxitin sodium 20 mg/ml
glukoza 5% 1713
Kompatibilan
injekcija Bivalirudin 5 mg/ml
injekcija Ceftizoxime sodium 20 mg/ml
glukoza 5% 1713
Kompatibilan
injekcija Bivalirudin 5 mg/ml
injekcija Ceftriaxone disodium 20 mg/ml
glukoza 5% 1713
Kompatibilan
injekcija Bivalirudin 5 mg/ml
injekcija Cefuroxime sodium 30 mg/ml
glukoza 5% 1713
Neposredne oborine inkompatibilan
injekcija Bivalirudin 5 mg/ml
injekcija Chlorpromazine hydrochloride 2 mg/ml
glukoza 5% 1713
Kompatibilan
injekcija Bivalirudin 5 mg/ml
injekcija Cimetidine hydrochloride 12 mg/ml
glukoza 5% 1713
Kompatibilan
injekcija Bivalirudin 5 mg/ml
injekcija Ciprofloxacin lactate 2 mg/ml
glukoza 5% 1713
Kompatibilan
injekcija Bivalirudin 5 mg/ml
injekcija Clindamycin phosphate 10 mg/ml
glukoza 5% 1713
Kompatibilan
injekcija Bivalirudin 5 mg/ml
injekcija Co-trimoxazole 4/0.8 mg/ml
glukoza 5% 1713
Kompatibilan
injekcija Bivalirudin 5 mg/ml
injekcija Dexamethasone sodium phosphate 1 mg/ml
glukoza 5% 1713
Neposredne oborine inkompatibilan
injekcija Bivalirudin 5 mg/ml
injekcija Diazepam 5 mg/ml
glukoza 5% 1713
Neposredne oborine inkompatibilan
injekcija Bivalirudin
injekcija Diazepam
3539
Kompatibilan
injekcija Bivalirudin 5 mg/ml
injekcija Digoxin 250 µg/ml
glukoza 5% 1713
Kompatibilan
injekcija Bivalirudin 5 mg/ml
injekcija Diltiazem hydrochloride 5 mg/ml
natrijumkorid 0,9% 1944
Kompatibilan
injekcija Bivalirudin 5 mg/ml
injekcija Diltiazem hydrochloride 5 mg/ml
glukoza 5% 1713
Kompatibilan
injekcija Bivalirudin 5 mg/ml
injekcija Diltiazem hydrochloride 5 mg/ml
glukoza 5% 1944
Kompatibilan
injekcija Bivalirudin 5 mg/ml
injekcija Diphenhydramine hydrochloride 2 mg/ml
glukoza 5% 1713
Kompatibilan
injekcija Bivalirudin 5 mg/ml
injekcija Dobutamine hydrochloride 4 mg/ml
glukoza 5% 1713
Kompatibilan
injekcija Bivalirudin
injekcija Dobutamine hydrochloride 4 mg/ml
3539
Neposredne oborine inkompatibilan
injekcija Bivalirudin 5 mg/ml
injekcija Dobutamine hydrochloride 12,5 mg/ml
glukoza 5% 1944
Neodređena nespojivost inkompatibilan
injekcija Bivalirudin
injekcija Dobutamine hydrochloride 12.5 mg/ml
3539
Neposredne oborine inkompatibilan
injekcija Bivalirudin 5 mg/ml
injekcija Dobutamine hydrochloride 12,5 mg/ml
natrijumkorid 0,9% 1944
Kompatibilan
injekcija Bivalirudin 5 mg/ml
injekcija Dopamine hydrochloride 80 mg/ml
natrijumkorid 0,9% 1944
Kompatibilan
injekcija Bivalirudin 5 mg/ml
injekcija Dopamine hydrochloride 80 mg/ml
glukoza 5% 1944
Kompatibilan
injekcija Bivalirudin 5 mg/ml
injekcija Dopamine hydrochloride 3.2 mg/ml
glukoza 5% 1713
Kompatibilan
injekcija Bivalirudin 5 mg/ml
injekcija Doxycycline hyclate 1 mg/ml
glukoza 5% 1713
Kompatibilan
injekcija Bivalirudin 5 mg/ml
injekcija Droperidol 2.5 mg/ml
glukoza 5% 1713
Kompatibilan
injekcija Bivalirudin 5 mg/ml
injekcija Enalaprilate 0.1 mg/ml
glukoza 5% 1713
Kompatibilan
injekcija Bivalirudin 5 mg/ml
injekcija Ephedrine hydrochloride 5 mg/ml
glukoza 5% 1713
Kompatibilan
injekcija Bivalirudin 5 mg/ml
injekcija Epinephrine hydrochloride 50 µg/ml
glukoza 5% 1713
Kompatibilan
injekcija Bivalirudin 5 mg/ml
injekcija Eptifibatide 2 mg/ml
glukoza 5% 1713
Kompatibilan
injekcija Bivalirudin 5 mg/ml
injekcija Erythromycin lactobionate 5 mg/ml
glukoza 5% 1713
Kompatibilan
injekcija Bivalirudin 5 mg/ml
injekcija Esmolol hydrochloride 10 mg/ml
glukoza 5% 1713
Kompatibilan
injekcija Bivalirudin
injekcija Famotidine 2 mg/ml
3539
Neodređena nespojivost inkompatibilan
injekcija Bivalirudin
injekcija Famotidine 10 mg/ml
3539
Kompatibilan
injekcija Bivalirudin 5 mg/ml
injekcija Famotidine 2 mg/ml
glukoza 5% 1713
Kompatibilan
injekcija Bivalirudin 5 mg/ml
injekcija Fentanyl citrate 50 µg/ml
natrijumkorid 0,9% 1944
Kompatibilan
injekcija Bivalirudin 5 mg/ml
injekcija Fentanyl citrate 50 µg/ml
glukoza 5% 1944
Kompatibilan
injekcija Bivalirudin 5 mg/ml
injekcija Fentanyl citrate 50 µg/ml
glukoza 5% 1713
Kompatibilan
injekcija Bivalirudin 5 mg/ml
injekcija Fluconazole 2 mg/ml
glukoza 5% 1713
Kompatibilan
injekcija Bivalirudin 5 mg/ml
injekcija Furosemide 3 mg/ml
glukoza 5% 1713
Kompatibilan
injekcija Bivalirudin 5 mg/ml
injekcija Gentamicin sulfate 5 mg/ml
glukoza 5% 1713
Kompatibilan
injekcija Bivalirudin
injekcija Haloperidol lactate 0.2 mg/ml
3539
Kompatibilan
injekcija Bivalirudin 5 mg/ml
injekcija Haloperidol lactate 0.2 mg/ml
glukoza 5% 1713
Neodređena nespojivost inkompatibilan
injekcija Bivalirudin
injekcija Haloperidol lactate 5 mg/ml
3539
Kompatibilan
injekcija Bivalirudin 5 mg/ml
injekcija Heparin sodium 100 UI/ml
glukoza 5% 1713
Kompatibilan
injekcija Bivalirudin 5 mg/ml
injekcija Hydrocortisone sodium succinate 50 mg/ml
natrijumkorid 0,9% 1944
Kompatibilan
injekcija Bivalirudin 5 mg/ml
injekcija Hydrocortisone sodium succinate 50 mg/ml
glukoza 5% 1944
Kompatibilan
injekcija Bivalirudin 5 mg/ml
injekcija Hydrocortisone sodium succinate 1 mg/ml
glukoza 5% 1713
Kompatibilan
injekcija Bivalirudin 5 mg/ml
injekcija Hydromorphone hydrochloride 0.5 mg/ml
glukoza 5% 1713
Kompatibilan
injekcija Bivalirudin 5 mg/ml
injekcija Isoprenaline hydrochloride 0.02 mg/ml
glukoza 5% 1713
Neodređena nespojivost inkompatibilan
injekcija Bivalirudin
injekcija Labetalol hydrochloride 5 mg/ml
3539
Kompatibilan
injekcija Bivalirudin 5 mg/ml
injekcija Labetalol hydrochloride 2 mg/ml
glukoza 5% 1713
Kompatibilan
injekcija Bivalirudin
injekcija Labetalol hydrochloride 2 mg/ml
3539
Kompatibilan
injekcija Bivalirudin 5 mg/ml
injekcija Levofloxacine 5 mg/ml
glukoza 5% 1713
Kompatibilan
injekcija Bivalirudin 5 mg/ml
injekcija Lidocaine hydrochloride 10 mg/ml
glukoza 5% 1713
Neodređena nespojivost inkompatibilan
injekcija Bivalirudin
injekcija Lorazepam 2 mg/ml
3539
Kompatibilan
injekcija Bivalirudin
injekcija Lorazepam 0.5 mg/ml
3539
Kompatibilan
injekcija Bivalirudin 5 mg/ml
injekcija Lorazepam 0.5 mg/ml
glukoza 5% 1713
Kompatibilan
injekcija Bivalirudin 5 mg/ml
injekcija Magnesium sulfate 100 mg/ml
glukoza 5% 1713
Kompatibilan
injekcija Bivalirudin 5 mg/ml
injekcija Mannitol 150 mg/ml
glukoza 5% 1713
Kompatibilan
injekcija Bivalirudin 5 mg/ml
injekcija Methylprednisolone sodium succinate 5 mg/ml
glukoza 5% 1713
Kompatibilan
injekcija Bivalirudin 5 mg/ml
injekcija Metoclopramide hydrochloride 5 mg/ml
glukoza 5% 1713
Kompatibilan
injekcija Bivalirudin 5 mg/ml
injekcija Metoprolol tartrate 1 mg/ml
natrijumkorid 0,9% 1944
Kompatibilan
injekcija Bivalirudin 5 mg/ml
injekcija Metoprolol tartrate 1 mg/ml
glukoza 5% 1944
Kompatibilan
injekcija Bivalirudin 5 mg/ml
injekcija Metronidazole 5 mg/ml
glukoza 5% 1713
Kompatibilan
injekcija Bivalirudin 5 mg/ml
injekcija Midazolam hydrochloride 2 mg/ml
glukoza 5% 1944
Kompatibilan
injekcija Bivalirudin 5 mg/ml
injekcija Midazolam hydrochloride 1 mg/ml
glukoza 5% 1713
Kompatibilan
injekcija Bivalirudin 5 mg/ml
injekcija Midazolam hydrochloride 2 mg/ml
natrijumkorid 0,9% 1944
Kompatibilan
injekcija Bivalirudin 5 mg/ml
injekcija Milrinone lactate 0.2 mg/ml
glukoza 5% 1713
Kompatibilan
injekcija Bivalirudin 5 mg/ml
injekcija Morphine sulfate 10 mg/ml
natrijumkorid 0,9% 1944
Kompatibilan
injekcija Bivalirudin 5 mg/ml
injekcija Morphine sulfate 10 mg/ml
glukoza 5% 1944
Kompatibilan
injekcija Bivalirudin 5 mg/ml
injekcija Morphine sulfate 1 mg/ml
glukoza 5% 1713
Kompatibilan
injekcija Bivalirudin 5 mg/ml
injekcija Nalbuphine hydrochloride 10 mg/ml
glukoza 5% 1713
Kompatibilan
injekcija Bivalirudin 5 mg/ml
injekcija Nitroprusside sodium 2 mg/ml
glukoza 5% 1713
Kompatibilan
injekcija Bivalirudin
natrijumkorid 0,9% 3539
Kompatibilan
injekcija Bivalirudin 5 mg/ml
injekcija Nitroglycerin 0.4 mg/ml
glukoza 5% 1713
Kompatibilan
injekcija Bivalirudin 5 mg/ml
injekcija Norepinephrine bitartrate 0.12 mg/ml
glukoza 5% 1713
Kompatibilan
injekcija Bivalirudin 5 mg/ml
injekcija Ofloxacin 4 mg/ml
glukoza 5% 1713
Kompatibilan
injekcija Bivalirudin 5 mg/ml
injekcija Pethidine hydrochloride 10 mg/ml
glukoza 5% 1713
Kompatibilan
injekcija Bivalirudin 5 mg/ml
injekcija Phenylephrine hydrochloride 10 mg/ml
glukoza 5% 1944
Kompatibilan
injekcija Bivalirudin 5 mg/ml
injekcija Phenylephrine hydrochloride 1 mg/ml
glukoza 5% 1713
Kompatibilan
injekcija Bivalirudin 5 mg/ml
injekcija Phenylephrine hydrochloride 10 mg/ml
natrijumkorid 0,9% 1944
Kompatibilan
injekcija Bivalirudin 5 mg/ml
injekcija Piperacillin sodium 40 mg/ml
glukoza 5% 1713
Kompatibilan
injekcija Bivalirudin 5 mg/ml
injekcija Piperacillin sodium / tazobactam 40/5 mg/ml
glukoza 5% 1713
Kompatibilan
injekcija Bivalirudin 5 mg/ml
injekcija Potassium chloride 100 mEq/l
glukoza 5% 1713
Kompatibilan
injekcija Bivalirudin 5 mg/ml
injekcija Procainamide hydrochloride 10 mg/ml
glukoza 5% 1713
Neposredne oborine inkompatibilan
injekcija Bivalirudin
injekcija Prochlorperazine edysilate 25 mg/ml
3539
Neposredne oborine inkompatibilan
injekcija Bivalirudin 5 mg/ml
injekcija Prochlorperazine edysilate 0.5 mg/ml
glukoza 5% 1713
Kompatibilan
injekcija Bivalirudin
injekcija Promethazine hydrochloride 2 mg/ml
3539
Neodređena nespojivost inkompatibilan
injekcija Bivalirudin
injekcija Promethazine hydrochloride 25 mg/ml
3539
Kompatibilan
injekcija Bivalirudin 5 mg/ml
injekcija Promethazine hydrochloride 2 mg/ml
glukoza 5% 1713
Kompatibilan
injekcija Bivalirudin 5 mg/ml
injekcija Ranitidine hydrochloride 2 mg/ml
glukoza 5% 1713
Neposredne oborine inkompatibilan
injekcija Bivalirudin 5 mg/ml
injekcija Reteplase 1 UI/ml
glukoza 5% 1713
Neposredne oborine inkompatibilan
injekcija Bivalirudin
injekcija Reteplase
3539
Kompatibilan
injekcija Bivalirudin 5 mg/ml
injekcija Sodium bicarbonate 84 mg/ml
glukoza 5% 1713
Neposredne oborine inkompatibilan
injekcija Bivalirudin 5 mg/ml
injekcija Streptokinase 30000 UI/ml
glukoza 5% 1713
Neposredne oborine inkompatibilan
injekcija Bivalirudin
injekcija Streptokinase
3539
Kompatibilan
injekcija Bivalirudin 5 mg/ml
injekcija Sufentanil citrate 0.05 mg/ml
glukoza 5% 1713
Kompatibilan
injekcija Bivalirudin 5 mg/ml
injekcija Theophylline 4 mg/ml
glukoza 5% 1713
Kompatibilan
injekcija Bivalirudin 5 mg/ml
injekcija Thiopental sodium 25 mg/ml
glukoza 5% 1713
Kompatibilan
injekcija Bivalirudin 5 mg/ml
injekcija Ticarcillin / clavulanic acid 31 mg/ml
glukoza 5% 1713
Kompatibilan
injekcija Bivalirudin 5 mg/ml
injekcija Tirofiban 50 µg/ml
glukoza 5% 1713
Kompatibilan
injekcija Bivalirudin 5 mg/ml
injekcija Tobramycin sulfate 5 mg/ml
glukoza 5% 1713
Neposredne oborine inkompatibilan
injekcija Bivalirudin 5 mg/ml
injekcija Vancomycin hydrochloride 10 mg/ml
glukoza 5% 1713
Neposredne oborine inkompatibilan
injekcija Bivalirudin
injekcija Vancomycin hydrochloride
3539
Kompatibilan
injekcija Bivalirudin 5 mg/ml
injekcija Verapamil hydrochloride 2,5 mg/ml
natrijumkorid 0,9% 1944
Kompatibilan
injekcija Bivalirudin 5 mg/ml
injekcija Verapamil hydrochloride 2,5 mg/ml
glukoza 5% 1944
Kompatibilan
injekcija Bivalirudin 5 mg/ml
injekcija Verapamil hydrochloride 1.25 mg/ml
glukoza 5% 1713
Kompatibilan
injekcija Bivalirudin 5 mg/ml
injekcija Warfarin sodium 2 mg/ml
glukoza 5% 1713

  Mentions Légales