Poslední aktualizace :
25/03/2026
Antikoagulans   Bivalirudin  
injekce
Stabilita roztoků Stabilita směsí Faktory ovlivňující stabilitu Kompatibilita Způsoby aplikace Odkazy pdf
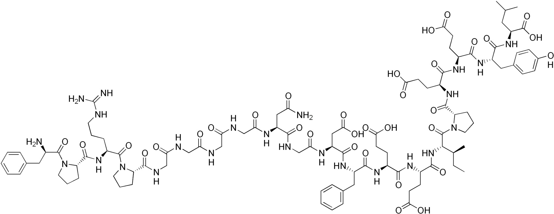
   Chemický vzorec  

Obchodní název   Obchodní název     

Trade names are indicative and excipients composition can be different depending on the country and manufacturers

Amuprux Argentina
Angiomax Austrálie, Chile, Kanada, nový Zéland, Peru, USA, Venezuela
Angiox äpanÏlsko, Dánsko, Finsko, Island, Itálie, MaÔarsko, Nizozemsko, Norsko, Polsko, Rakousko, Rumunsko, Slovinsko, USA, Velká Británie, ÿecko
Bivalirudin Belgie, Dánsko, Finsko, NÏmecko, Slovinsko, Švédsko, Velká Británie
Bivalirudina äpanÏlsko, Itálie
Kompatibilita   injekce   Kompatibilita : Bivalirudin              
Tato obrazovka ukazuje kompatibilitu nebo nekompatibilitu s, v tomto případě, typem nekompatibility (srážení, změna barvy, modifikace emulze atd.). Zde uvedené kompatibility jsou většinou pouze fyzikální, přičemž chemická stabilita každé molekuly je zřídka hodnocena. Hodnocení těchto směsí bylo studováno, aby se zvážila možnost podání Y-místa pacientovi. Tyto údaje nelze použít k přípravě směsí předem v pytlích nebo stříkačkách. Tento typ informací je k dispozici na obrazovce „Stabilita ve směsi“.
SlouËenina RozpouötÏdlo Odkazy
Kompatibilní
injekce Bivalirudin 5 mg/ml
injekce Alfentanil hydrochloride 125 µg/ml
GlukÛza 5% 1713
Okamžité srážení Nekompatibilní
injekce Bivalirudin 5 mg/ml
injekce Alteplase 1 mg/ml
GlukÛza 5% 1713
Okamžité srážení Nekompatibilní
injekce Bivalirudin
injekce Alteplase
3539
Kompatibilní
injekce Bivalirudin 5 mg/ml
injekce Amikacin sulfate 5 mg/ml
GlukÛza 5% 1713
Kompatibilní
injekce Bivalirudin 5 mg/ml
injekce Aminophylline 2.5 mg/ml
GlukÛza 5% 1713
Okamžité srážení Nekompatibilní
injekce Bivalirudin
injekce Amiodarone hydrochloride
3539
Okamžitá zákal Nekompatibilní
injekce Bivalirudin 5 mg/ml
injekce Amiodarone hydrochloride 4 mg/ml
GlukÛza 5% 1713
Okamžité srážení Nekompatibilní
injekce Bivalirudin
injekce Amphotericin B
3539
Okamžité srážení Nekompatibilní
injekce Bivalirudin 5 mg/ml
injekce Amphotericin B 0.6 mg/ml
GlukÛza 5% 1713
Kompatibilní
injekce Bivalirudin 5 mg/ml
injekce Ampicillin sodium 20 mg/ml
GlukÛza 5% 1713
Kompatibilní
injekce Bivalirudin 5 mg/ml
injekce Ampicillin sodium - sulbactam sodium 20/10 mg/ml
GlukÛza 5% 1713
Kompatibilní
injekce Bivalirudin 5 mg/ml
injekce Atropine sulfate 0,4 mg/ml
GlukÛza 5% 1944
Kompatibilní
injekce Bivalirudin 5 mg/ml
injekce Atropine sulfate 0,4 mg/ml
Chlorid sodný 0,9% 1944
Kompatibilní
injekce Bivalirudin 5 mg/ml
injekce Azithromycine 2 mg/ml
GlukÛza 5% 1713
Kompatibilní
injekce Bivalirudin 5 mg/ml
injekce Aztreonam 40 mg/ml
GlukÛza 5% 1713
Kompatibilní
injekce Bivalirudin 5 mg/ml
injekce Bretylium tosilate 50 mg/ml
GlukÛza 5% 1713
Kompatibilní
injekce Bivalirudin 5 mg/ml
injekce Bumetanide 0.04 mg/ml
GlukÛza 5% 1713
Kompatibilní
injekce Bivalirudin 5 mg/ml
injekce Butorphanol tartrate 0.04 mg/ml
GlukÛza 5% 1713
Kompatibilní
injekce Bivalirudin 5 mg/ml
injekce Calcium gluconate 40 mg/ml
GlukÛza 5% 1713
Kompatibilní
injekce Bivalirudin 5 mg/ml
injekce Cefazolin sodium 20 mg/ml
GlukÛza 5% 1713
Kompatibilní
injekce Bivalirudin 5 mg/ml
injekce Cefepime dihydrochloride 20 mg/ml
GlukÛza 5% 1713
Kompatibilní
injekce Bivalirudin 5 mg/ml
injekce Cefoperazone sodium 40 mg/ml
GlukÛza 5% 1713
Kompatibilní
injekce Bivalirudin 5 mg/ml
injekce Cefotaxime sodium 20 mg/ml
GlukÛza 5% 1713
Kompatibilní
injekce Bivalirudin 5 mg/ml
injekce Ceftazidime 40 mg/ml
GlukÛza 5% 1713
Okamžité srážení Nekompatibilní
injekce Bivalirudin
injekce Chlorpromazine hydrochloride
3539
Kompatibilní
injekce Bivalirudin
GlukÛza 5% 3539
Kompatibilní
injekce Bivalirudin 5 mg/ml
injekce Cefoxitin sodium 20 mg/ml
GlukÛza 5% 1713
Kompatibilní
injekce Bivalirudin 5 mg/ml
injekce Ceftizoxime sodium 20 mg/ml
GlukÛza 5% 1713
Kompatibilní
injekce Bivalirudin 5 mg/ml
injekce Ceftriaxone disodium 20 mg/ml
GlukÛza 5% 1713
Kompatibilní
injekce Bivalirudin 5 mg/ml
injekce Cefuroxime sodium 30 mg/ml
GlukÛza 5% 1713
Okamžité srážení Nekompatibilní
injekce Bivalirudin 5 mg/ml
injekce Chlorpromazine hydrochloride 2 mg/ml
GlukÛza 5% 1713
Kompatibilní
injekce Bivalirudin 5 mg/ml
injekce Cimetidine hydrochloride 12 mg/ml
GlukÛza 5% 1713
Kompatibilní
injekce Bivalirudin 5 mg/ml
injekce Ciprofloxacin lactate 2 mg/ml
GlukÛza 5% 1713
Kompatibilní
injekce Bivalirudin 5 mg/ml
injekce Clindamycin phosphate 10 mg/ml
GlukÛza 5% 1713
Kompatibilní
injekce Bivalirudin 5 mg/ml
injekce Co-trimoxazole 4/0.8 mg/ml
GlukÛza 5% 1713
Kompatibilní
injekce Bivalirudin 5 mg/ml
injekce Dexamethasone sodium phosphate 1 mg/ml
GlukÛza 5% 1713
Okamžité srážení Nekompatibilní
injekce Bivalirudin 5 mg/ml
injekce Diazepam 5 mg/ml
GlukÛza 5% 1713
Okamžité srážení Nekompatibilní
injekce Bivalirudin
injekce Diazepam
3539
Kompatibilní
injekce Bivalirudin 5 mg/ml
injekce Digoxin 250 µg/ml
GlukÛza 5% 1713
Kompatibilní
injekce Bivalirudin 5 mg/ml
injekce Diltiazem hydrochloride 5 mg/ml
Chlorid sodný 0,9% 1944
Kompatibilní
injekce Bivalirudin 5 mg/ml
injekce Diltiazem hydrochloride 5 mg/ml
GlukÛza 5% 1713
Kompatibilní
injekce Bivalirudin 5 mg/ml
injekce Diltiazem hydrochloride 5 mg/ml
GlukÛza 5% 1944
Kompatibilní
injekce Bivalirudin 5 mg/ml
injekce Diphenhydramine hydrochloride 2 mg/ml
GlukÛza 5% 1713
Kompatibilní
injekce Bivalirudin 5 mg/ml
injekce Dobutamine hydrochloride 4 mg/ml
GlukÛza 5% 1713
Kompatibilní
injekce Bivalirudin
injekce Dobutamine hydrochloride 4 mg/ml
3539
Okamžité srážení Nekompatibilní
injekce Bivalirudin 5 mg/ml
injekce Dobutamine hydrochloride 12,5 mg/ml
GlukÛza 5% 1944
Nespecifikovaná nekompatibilita Nekompatibilní
injekce Bivalirudin
injekce Dobutamine hydrochloride 12.5 mg/ml
3539
Okamžité srážení Nekompatibilní
injekce Bivalirudin 5 mg/ml
injekce Dobutamine hydrochloride 12,5 mg/ml
Chlorid sodný 0,9% 1944
Kompatibilní
injekce Bivalirudin 5 mg/ml
injekce Dopamine hydrochloride 80 mg/ml
Chlorid sodný 0,9% 1944
Kompatibilní
injekce Bivalirudin 5 mg/ml
injekce Dopamine hydrochloride 80 mg/ml
GlukÛza 5% 1944
Kompatibilní
injekce Bivalirudin 5 mg/ml
injekce Dopamine hydrochloride 3.2 mg/ml
GlukÛza 5% 1713
Kompatibilní
injekce Bivalirudin 5 mg/ml
injekce Doxycycline hyclate 1 mg/ml
GlukÛza 5% 1713
Kompatibilní
injekce Bivalirudin 5 mg/ml
injekce Droperidol 2.5 mg/ml
GlukÛza 5% 1713
Kompatibilní
injekce Bivalirudin 5 mg/ml
injekce Enalaprilate 0.1 mg/ml
GlukÛza 5% 1713
Kompatibilní
injekce Bivalirudin 5 mg/ml
injekce Ephedrine hydrochloride 5 mg/ml
GlukÛza 5% 1713
Kompatibilní
injekce Bivalirudin 5 mg/ml
injekce Epinephrine hydrochloride 50 µg/ml
GlukÛza 5% 1713
Kompatibilní
injekce Bivalirudin 5 mg/ml
injekce Eptifibatide 2 mg/ml
GlukÛza 5% 1713
Kompatibilní
injekce Bivalirudin 5 mg/ml
injekce Erythromycin lactobionate 5 mg/ml
GlukÛza 5% 1713
Kompatibilní
injekce Bivalirudin 5 mg/ml
injekce Esmolol hydrochloride 10 mg/ml
GlukÛza 5% 1713
Kompatibilní
injekce Bivalirudin
injekce Famotidine 2 mg/ml
3539
Nespecifikovaná nekompatibilita Nekompatibilní
injekce Bivalirudin
injekce Famotidine 10 mg/ml
3539
Kompatibilní
injekce Bivalirudin 5 mg/ml
injekce Famotidine 2 mg/ml
GlukÛza 5% 1713
Kompatibilní
injekce Bivalirudin 5 mg/ml
injekce Fentanyl citrate 50 µg/ml
Chlorid sodný 0,9% 1944
Kompatibilní
injekce Bivalirudin 5 mg/ml
injekce Fentanyl citrate 50 µg/ml
GlukÛza 5% 1944
Kompatibilní
injekce Bivalirudin 5 mg/ml
injekce Fentanyl citrate 50 µg/ml
GlukÛza 5% 1713
Kompatibilní
injekce Bivalirudin 5 mg/ml
injekce Fluconazole 2 mg/ml
GlukÛza 5% 1713
Kompatibilní
injekce Bivalirudin 5 mg/ml
injekce Furosemide 3 mg/ml
GlukÛza 5% 1713
Kompatibilní
injekce Bivalirudin 5 mg/ml
injekce Gentamicin sulfate 5 mg/ml
GlukÛza 5% 1713
Kompatibilní
injekce Bivalirudin
injekce Haloperidol lactate 0.2 mg/ml
3539
Kompatibilní
injekce Bivalirudin 5 mg/ml
injekce Haloperidol lactate 0.2 mg/ml
GlukÛza 5% 1713
Nespecifikovaná nekompatibilita Nekompatibilní
injekce Bivalirudin
injekce Haloperidol lactate 5 mg/ml
3539
Kompatibilní
injekce Bivalirudin 5 mg/ml
injekce Heparin sodium 100 UI/ml
GlukÛza 5% 1713
Kompatibilní
injekce Bivalirudin 5 mg/ml
injekce Hydrocortisone sodium succinate 50 mg/ml
Chlorid sodný 0,9% 1944
Kompatibilní
injekce Bivalirudin 5 mg/ml
injekce Hydrocortisone sodium succinate 50 mg/ml
GlukÛza 5% 1944
Kompatibilní
injekce Bivalirudin 5 mg/ml
injekce Hydrocortisone sodium succinate 1 mg/ml
GlukÛza 5% 1713
Kompatibilní
injekce Bivalirudin 5 mg/ml
injekce Hydromorphone hydrochloride 0.5 mg/ml
GlukÛza 5% 1713
Kompatibilní
injekce Bivalirudin 5 mg/ml
injekce Isoprenaline hydrochloride 0.02 mg/ml
GlukÛza 5% 1713
Nespecifikovaná nekompatibilita Nekompatibilní
injekce Bivalirudin
injekce Labetalol hydrochloride 5 mg/ml
3539
Kompatibilní
injekce Bivalirudin 5 mg/ml
injekce Labetalol hydrochloride 2 mg/ml
GlukÛza 5% 1713
Kompatibilní
injekce Bivalirudin
injekce Labetalol hydrochloride 2 mg/ml
3539
Kompatibilní
injekce Bivalirudin 5 mg/ml
injekce Levofloxacine 5 mg/ml
GlukÛza 5% 1713
Kompatibilní
injekce Bivalirudin 5 mg/ml
injekce Lidocaine hydrochloride 10 mg/ml
GlukÛza 5% 1713
Nespecifikovaná nekompatibilita Nekompatibilní
injekce Bivalirudin
injekce Lorazepam 2 mg/ml
3539
Kompatibilní
injekce Bivalirudin
injekce Lorazepam 0.5 mg/ml
3539
Kompatibilní
injekce Bivalirudin 5 mg/ml
injekce Lorazepam 0.5 mg/ml
GlukÛza 5% 1713
Kompatibilní
injekce Bivalirudin 5 mg/ml
injekce Magnesium sulfate 100 mg/ml
GlukÛza 5% 1713
Kompatibilní
injekce Bivalirudin 5 mg/ml
injekce Mannitol 150 mg/ml
GlukÛza 5% 1713
Kompatibilní
injekce Bivalirudin 5 mg/ml
injekce Methylprednisolone sodium succinate 5 mg/ml
GlukÛza 5% 1713
Kompatibilní
injekce Bivalirudin 5 mg/ml
injekce Metoclopramide hydrochloride 5 mg/ml
GlukÛza 5% 1713
Kompatibilní
injekce Bivalirudin 5 mg/ml
injekce Metoprolol tartrate 1 mg/ml
Chlorid sodný 0,9% 1944
Kompatibilní
injekce Bivalirudin 5 mg/ml
injekce Metoprolol tartrate 1 mg/ml
GlukÛza 5% 1944
Kompatibilní
injekce Bivalirudin 5 mg/ml
injekce Metronidazole 5 mg/ml
GlukÛza 5% 1713
Kompatibilní
injekce Bivalirudin 5 mg/ml
injekce Midazolam hydrochloride 2 mg/ml
GlukÛza 5% 1944
Kompatibilní
injekce Bivalirudin 5 mg/ml
injekce Midazolam hydrochloride 1 mg/ml
GlukÛza 5% 1713
Kompatibilní
injekce Bivalirudin 5 mg/ml
injekce Midazolam hydrochloride 2 mg/ml
Chlorid sodný 0,9% 1944
Kompatibilní
injekce Bivalirudin 5 mg/ml
injekce Milrinone lactate 0.2 mg/ml
GlukÛza 5% 1713
Kompatibilní
injekce Bivalirudin 5 mg/ml
injekce Morphine sulfate 10 mg/ml
Chlorid sodný 0,9% 1944
Kompatibilní
injekce Bivalirudin 5 mg/ml
injekce Morphine sulfate 10 mg/ml
GlukÛza 5% 1944
Kompatibilní
injekce Bivalirudin 5 mg/ml
injekce Morphine sulfate 1 mg/ml
GlukÛza 5% 1713
Kompatibilní
injekce Bivalirudin 5 mg/ml
injekce Nalbuphine hydrochloride 10 mg/ml
GlukÛza 5% 1713
Kompatibilní
injekce Bivalirudin 5 mg/ml
injekce Nitroprusside sodium 2 mg/ml
GlukÛza 5% 1713
Kompatibilní
injekce Bivalirudin
Chlorid sodný 0,9% 3539
Kompatibilní
injekce Bivalirudin 5 mg/ml
injekce Nitroglycerin 0.4 mg/ml
GlukÛza 5% 1713
Kompatibilní
injekce Bivalirudin 5 mg/ml
injekce Norepinephrine bitartrate 0.12 mg/ml
GlukÛza 5% 1713
Kompatibilní
injekce Bivalirudin 5 mg/ml
injekce Ofloxacin 4 mg/ml
GlukÛza 5% 1713
Kompatibilní
injekce Bivalirudin 5 mg/ml
injekce Pethidine hydrochloride 10 mg/ml
GlukÛza 5% 1713
Kompatibilní
injekce Bivalirudin 5 mg/ml
injekce Phenylephrine hydrochloride 10 mg/ml
GlukÛza 5% 1944
Kompatibilní
injekce Bivalirudin 5 mg/ml
injekce Phenylephrine hydrochloride 1 mg/ml
GlukÛza 5% 1713
Kompatibilní
injekce Bivalirudin 5 mg/ml
injekce Phenylephrine hydrochloride 10 mg/ml
Chlorid sodný 0,9% 1944
Kompatibilní
injekce Bivalirudin 5 mg/ml
injekce Piperacillin sodium 40 mg/ml
GlukÛza 5% 1713
Kompatibilní
injekce Bivalirudin 5 mg/ml
injekce Piperacillin sodium / tazobactam 40/5 mg/ml
GlukÛza 5% 1713
Kompatibilní
injekce Bivalirudin 5 mg/ml
injekce Potassium chloride 100 mEq/l
GlukÛza 5% 1713
Kompatibilní
injekce Bivalirudin 5 mg/ml
injekce Procainamide hydrochloride 10 mg/ml
GlukÛza 5% 1713
Okamžité srážení Nekompatibilní
injekce Bivalirudin
injekce Prochlorperazine edysilate 25 mg/ml
3539
Okamžité srážení Nekompatibilní
injekce Bivalirudin 5 mg/ml
injekce Prochlorperazine edysilate 0.5 mg/ml
GlukÛza 5% 1713
Kompatibilní
injekce Bivalirudin
injekce Promethazine hydrochloride 2 mg/ml
3539
Nespecifikovaná nekompatibilita Nekompatibilní
injekce Bivalirudin
injekce Promethazine hydrochloride 25 mg/ml
3539
Kompatibilní
injekce Bivalirudin 5 mg/ml
injekce Promethazine hydrochloride 2 mg/ml
GlukÛza 5% 1713
Kompatibilní
injekce Bivalirudin 5 mg/ml
injekce Ranitidine hydrochloride 2 mg/ml
GlukÛza 5% 1713
Okamžité srážení Nekompatibilní
injekce Bivalirudin 5 mg/ml
injekce Reteplase 1 UI/ml
GlukÛza 5% 1713
Okamžité srážení Nekompatibilní
injekce Bivalirudin
injekce Reteplase
3539
Kompatibilní
injekce Bivalirudin 5 mg/ml
injekce Sodium bicarbonate 84 mg/ml
GlukÛza 5% 1713
Okamžité srážení Nekompatibilní
injekce Bivalirudin 5 mg/ml
injekce Streptokinase 30000 UI/ml
GlukÛza 5% 1713
Okamžité srážení Nekompatibilní
injekce Bivalirudin
injekce Streptokinase
3539
Kompatibilní
injekce Bivalirudin 5 mg/ml
injekce Sufentanil citrate 0.05 mg/ml
GlukÛza 5% 1713
Kompatibilní
injekce Bivalirudin 5 mg/ml
injekce Theophylline 4 mg/ml
GlukÛza 5% 1713
Kompatibilní
injekce Bivalirudin 5 mg/ml
injekce Thiopental sodium 25 mg/ml
GlukÛza 5% 1713
Kompatibilní
injekce Bivalirudin 5 mg/ml
injekce Ticarcillin / clavulanic acid 31 mg/ml
GlukÛza 5% 1713
Kompatibilní
injekce Bivalirudin 5 mg/ml
injekce Tirofiban 50 µg/ml
GlukÛza 5% 1713
Kompatibilní
injekce Bivalirudin 5 mg/ml
injekce Tobramycin sulfate 5 mg/ml
GlukÛza 5% 1713
Okamžité srážení Nekompatibilní
injekce Bivalirudin 5 mg/ml
injekce Vancomycin hydrochloride 10 mg/ml
GlukÛza 5% 1713
Okamžité srážení Nekompatibilní
injekce Bivalirudin
injekce Vancomycin hydrochloride
3539
Kompatibilní
injekce Bivalirudin 5 mg/ml
injekce Verapamil hydrochloride 2,5 mg/ml
Chlorid sodný 0,9% 1944
Kompatibilní
injekce Bivalirudin 5 mg/ml
injekce Verapamil hydrochloride 2,5 mg/ml
GlukÛza 5% 1944
Kompatibilní
injekce Bivalirudin 5 mg/ml
injekce Verapamil hydrochloride 1.25 mg/ml
GlukÛza 5% 1713
Kompatibilní
injekce Bivalirudin 5 mg/ml
injekce Warfarin sodium 2 mg/ml
GlukÛza 5% 1713

  Mentions Légales