Laatste update :
25/03/2026
Anticoagulans   Bivalirudin  
injecteerbaar geneesmiddel
Stabiliteit in oplossing Stabiliteit in mengsels Factoren die de stabiliteit beïnvloeden Verenigbaarheden Toedieningswijze Literatuur pdf
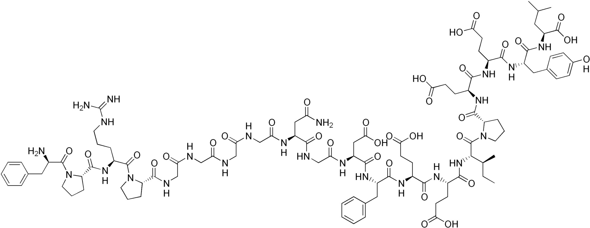
   Molecuulstructuur  

Merknamen in verschillende landen   Merknamen in verschillende landen     

Handelsnamen zijn slechts een indicatie; de samenstelling van hulpstoffen kan per land variëren afhankelijk van de fabrikant

Amuprux Argentinië
Angiomax Australië, Canada, Chili, nieuw Zeeland, Peru, USA, Venezuela
Angiox Denemarken, Finland, Griekenland, Groot Britannië, Hongarije, IJsland, Italië, Nederland, Noorwegen, Oostenrijk, Polen, Roemenië, Slovenië, Spanje, USA
Bivalirudin België, Denemarken, Duitsland, Finland, Groot Britannië, Slovenië, Zweden
Bivalirudina Italië, Spanje
Verenigbaarheden   injecteerbaar geneesmiddel   Verenigbaarheden : Bivalirudin              
In dit scherm worden de verenigbaarheden en onverenigbaarheden weergegeven. In het geval van een onverenigbaarheid wordt ook het type (neerslag, kleurverandering, modificatie van een emulsie, etc) weergegeven. De weergegeven verenigbaarheden zijn meestal alleen op uiterlijk beoordeeld, er heeft zelden een chemische beoordeling van iedere component plaatsgevonden. De verenigbaarheden betreffen gelijktijdige toediening aan de patient middels de Y-site. De data kan niet gebruikt worden in de beoordeling van verenigbaarheden van componenten in infuuszakken of spuiten. Die informatie is te vinden onder ‘stabiliteit in mengsels’.
Stof Oplosmiddel Literatuur
Verenigbaar
injecteerbaar geneesmiddel Bivalirudin 5 mg/ml
injecteerbaar geneesmiddel Alfentanil hydrochloride 125 µg/ml
Glucose 5% 1713
Onmiddellijke neerslag Onverenigbaar
injecteerbaar geneesmiddel Bivalirudin 5 mg/ml
injecteerbaar geneesmiddel Alteplase 1 mg/ml
Glucose 5% 1713
Onmiddellijke neerslag Onverenigbaar
injecteerbaar geneesmiddel Bivalirudin
injecteerbaar geneesmiddel Alteplase
3539
Verenigbaar
injecteerbaar geneesmiddel Bivalirudin 5 mg/ml
injecteerbaar geneesmiddel Amikacin sulfate 5 mg/ml
Glucose 5% 1713
Verenigbaar
injecteerbaar geneesmiddel Bivalirudin 5 mg/ml
injecteerbaar geneesmiddel Aminophylline 2.5 mg/ml
Glucose 5% 1713
Onmiddellijke neerslag Onverenigbaar
injecteerbaar geneesmiddel Bivalirudin
injecteerbaar geneesmiddel Amiodarone hydrochloride
3539
Onmiddellijke troebelheid Onverenigbaar
injecteerbaar geneesmiddel Bivalirudin 5 mg/ml
injecteerbaar geneesmiddel Amiodarone hydrochloride 4 mg/ml
Glucose 5% 1713
Onmiddellijke neerslag Onverenigbaar
injecteerbaar geneesmiddel Bivalirudin
injecteerbaar geneesmiddel Amphotericin B
3539
Onmiddellijke neerslag Onverenigbaar
injecteerbaar geneesmiddel Bivalirudin 5 mg/ml
injecteerbaar geneesmiddel Amphotericin B 0.6 mg/ml
Glucose 5% 1713
Verenigbaar
injecteerbaar geneesmiddel Bivalirudin 5 mg/ml
injecteerbaar geneesmiddel Ampicillin sodium 20 mg/ml
Glucose 5% 1713
Verenigbaar
injecteerbaar geneesmiddel Bivalirudin 5 mg/ml
injecteerbaar geneesmiddel Ampicillin sodium - sulbactam sodium 20/10 mg/ml
Glucose 5% 1713
Verenigbaar
injecteerbaar geneesmiddel Bivalirudin 5 mg/ml
injecteerbaar geneesmiddel Atropine sulfate 0,4 mg/ml
Glucose 5% 1944
Verenigbaar
injecteerbaar geneesmiddel Bivalirudin 5 mg/ml
injecteerbaar geneesmiddel Atropine sulfate 0,4 mg/ml
Natriumchloride 0,9% 1944
Verenigbaar
injecteerbaar geneesmiddel Bivalirudin 5 mg/ml
injecteerbaar geneesmiddel Azithromycine 2 mg/ml
Glucose 5% 1713
Verenigbaar
injecteerbaar geneesmiddel Bivalirudin 5 mg/ml
injecteerbaar geneesmiddel Aztreonam 40 mg/ml
Glucose 5% 1713
Verenigbaar
injecteerbaar geneesmiddel Bivalirudin 5 mg/ml
injecteerbaar geneesmiddel Bretylium tosilate 50 mg/ml
Glucose 5% 1713
Verenigbaar
injecteerbaar geneesmiddel Bivalirudin 5 mg/ml
injecteerbaar geneesmiddel Bumetanide 0.04 mg/ml
Glucose 5% 1713
Verenigbaar
injecteerbaar geneesmiddel Bivalirudin 5 mg/ml
injecteerbaar geneesmiddel Butorphanol tartrate 0.04 mg/ml
Glucose 5% 1713
Verenigbaar
injecteerbaar geneesmiddel Bivalirudin 5 mg/ml
injecteerbaar geneesmiddel Calcium gluconate 40 mg/ml
Glucose 5% 1713
Verenigbaar
injecteerbaar geneesmiddel Bivalirudin 5 mg/ml
injecteerbaar geneesmiddel Cefazolin sodium 20 mg/ml
Glucose 5% 1713
Verenigbaar
injecteerbaar geneesmiddel Bivalirudin 5 mg/ml
injecteerbaar geneesmiddel Cefepime dihydrochloride 20 mg/ml
Glucose 5% 1713
Verenigbaar
injecteerbaar geneesmiddel Bivalirudin 5 mg/ml
injecteerbaar geneesmiddel Cefoperazone sodium 40 mg/ml
Glucose 5% 1713
Verenigbaar
injecteerbaar geneesmiddel Bivalirudin 5 mg/ml
injecteerbaar geneesmiddel Cefotaxime sodium 20 mg/ml
Glucose 5% 1713
Verenigbaar
injecteerbaar geneesmiddel Bivalirudin 5 mg/ml
injecteerbaar geneesmiddel Ceftazidime 40 mg/ml
Glucose 5% 1713
Onmiddellijke neerslag Onverenigbaar
injecteerbaar geneesmiddel Bivalirudin
injecteerbaar geneesmiddel Chlorpromazine hydrochloride
3539
Verenigbaar
injecteerbaar geneesmiddel Bivalirudin
Glucose 5% 3539
Verenigbaar
injecteerbaar geneesmiddel Bivalirudin 5 mg/ml
injecteerbaar geneesmiddel Cefoxitin sodium 20 mg/ml
Glucose 5% 1713
Verenigbaar
injecteerbaar geneesmiddel Bivalirudin 5 mg/ml
injecteerbaar geneesmiddel Ceftizoxime sodium 20 mg/ml
Glucose 5% 1713
Verenigbaar
injecteerbaar geneesmiddel Bivalirudin 5 mg/ml
injecteerbaar geneesmiddel Ceftriaxone disodium 20 mg/ml
Glucose 5% 1713
Verenigbaar
injecteerbaar geneesmiddel Bivalirudin 5 mg/ml
injecteerbaar geneesmiddel Cefuroxime sodium 30 mg/ml
Glucose 5% 1713
Onmiddellijke neerslag Onverenigbaar
injecteerbaar geneesmiddel Bivalirudin 5 mg/ml
injecteerbaar geneesmiddel Chlorpromazine hydrochloride 2 mg/ml
Glucose 5% 1713
Verenigbaar
injecteerbaar geneesmiddel Bivalirudin 5 mg/ml
injecteerbaar geneesmiddel Cimetidine hydrochloride 12 mg/ml
Glucose 5% 1713
Verenigbaar
injecteerbaar geneesmiddel Bivalirudin 5 mg/ml
injecteerbaar geneesmiddel Ciprofloxacin lactate 2 mg/ml
Glucose 5% 1713
Verenigbaar
injecteerbaar geneesmiddel Bivalirudin 5 mg/ml
injecteerbaar geneesmiddel Clindamycin phosphate 10 mg/ml
Glucose 5% 1713
Verenigbaar
injecteerbaar geneesmiddel Bivalirudin 5 mg/ml
injecteerbaar geneesmiddel Co-trimoxazole 4/0.8 mg/ml
Glucose 5% 1713
Verenigbaar
injecteerbaar geneesmiddel Bivalirudin 5 mg/ml
injecteerbaar geneesmiddel Dexamethasone sodium phosphate 1 mg/ml
Glucose 5% 1713
Onmiddellijke neerslag Onverenigbaar
injecteerbaar geneesmiddel Bivalirudin 5 mg/ml
injecteerbaar geneesmiddel Diazepam 5 mg/ml
Glucose 5% 1713
Onmiddellijke neerslag Onverenigbaar
injecteerbaar geneesmiddel Bivalirudin
injecteerbaar geneesmiddel Diazepam
3539
Verenigbaar
injecteerbaar geneesmiddel Bivalirudin 5 mg/ml
injecteerbaar geneesmiddel Digoxin 250 µg/ml
Glucose 5% 1713
Verenigbaar
injecteerbaar geneesmiddel Bivalirudin 5 mg/ml
injecteerbaar geneesmiddel Diltiazem hydrochloride 5 mg/ml
Natriumchloride 0,9% 1944
Verenigbaar
injecteerbaar geneesmiddel Bivalirudin 5 mg/ml
injecteerbaar geneesmiddel Diltiazem hydrochloride 5 mg/ml
Glucose 5% 1713
Verenigbaar
injecteerbaar geneesmiddel Bivalirudin 5 mg/ml
injecteerbaar geneesmiddel Diltiazem hydrochloride 5 mg/ml
Glucose 5% 1944
Verenigbaar
injecteerbaar geneesmiddel Bivalirudin 5 mg/ml
injecteerbaar geneesmiddel Diphenhydramine hydrochloride 2 mg/ml
Glucose 5% 1713
Verenigbaar
injecteerbaar geneesmiddel Bivalirudin 5 mg/ml
injecteerbaar geneesmiddel Dobutamine hydrochloride 4 mg/ml
Glucose 5% 1713
Verenigbaar
injecteerbaar geneesmiddel Bivalirudin
injecteerbaar geneesmiddel Dobutamine hydrochloride 4 mg/ml
3539
Onmiddellijke neerslag Onverenigbaar
injecteerbaar geneesmiddel Bivalirudin 5 mg/ml
injecteerbaar geneesmiddel Dobutamine hydrochloride 12,5 mg/ml
Glucose 5% 1944
Niet-gespecificeerde incompatibiliteit Onverenigbaar
injecteerbaar geneesmiddel Bivalirudin
injecteerbaar geneesmiddel Dobutamine hydrochloride 12.5 mg/ml
3539
Onmiddellijke neerslag Onverenigbaar
injecteerbaar geneesmiddel Bivalirudin 5 mg/ml
injecteerbaar geneesmiddel Dobutamine hydrochloride 12,5 mg/ml
Natriumchloride 0,9% 1944
Verenigbaar
injecteerbaar geneesmiddel Bivalirudin 5 mg/ml
injecteerbaar geneesmiddel Dopamine hydrochloride 80 mg/ml
Natriumchloride 0,9% 1944
Verenigbaar
injecteerbaar geneesmiddel Bivalirudin 5 mg/ml
injecteerbaar geneesmiddel Dopamine hydrochloride 80 mg/ml
Glucose 5% 1944
Verenigbaar
injecteerbaar geneesmiddel Bivalirudin 5 mg/ml
injecteerbaar geneesmiddel Dopamine hydrochloride 3.2 mg/ml
Glucose 5% 1713
Verenigbaar
injecteerbaar geneesmiddel Bivalirudin 5 mg/ml
injecteerbaar geneesmiddel Doxycycline hyclate 1 mg/ml
Glucose 5% 1713
Verenigbaar
injecteerbaar geneesmiddel Bivalirudin 5 mg/ml
injecteerbaar geneesmiddel Droperidol 2.5 mg/ml
Glucose 5% 1713
Verenigbaar
injecteerbaar geneesmiddel Bivalirudin 5 mg/ml
injecteerbaar geneesmiddel Enalaprilate 0.1 mg/ml
Glucose 5% 1713
Verenigbaar
injecteerbaar geneesmiddel Bivalirudin 5 mg/ml
injecteerbaar geneesmiddel Ephedrine hydrochloride 5 mg/ml
Glucose 5% 1713
Verenigbaar
injecteerbaar geneesmiddel Bivalirudin 5 mg/ml
injecteerbaar geneesmiddel Epinephrine hydrochloride 50 µg/ml
Glucose 5% 1713
Verenigbaar
injecteerbaar geneesmiddel Bivalirudin 5 mg/ml
injecteerbaar geneesmiddel Eptifibatide 2 mg/ml
Glucose 5% 1713
Verenigbaar
injecteerbaar geneesmiddel Bivalirudin 5 mg/ml
injecteerbaar geneesmiddel Erythromycin lactobionate 5 mg/ml
Glucose 5% 1713
Verenigbaar
injecteerbaar geneesmiddel Bivalirudin 5 mg/ml
injecteerbaar geneesmiddel Esmolol hydrochloride 10 mg/ml
Glucose 5% 1713
Verenigbaar
injecteerbaar geneesmiddel Bivalirudin
injecteerbaar geneesmiddel Famotidine 2 mg/ml
3539
Niet-gespecificeerde incompatibiliteit Onverenigbaar
injecteerbaar geneesmiddel Bivalirudin
injecteerbaar geneesmiddel Famotidine 10 mg/ml
3539
Verenigbaar
injecteerbaar geneesmiddel Bivalirudin 5 mg/ml
injecteerbaar geneesmiddel Famotidine 2 mg/ml
Glucose 5% 1713
Verenigbaar
injecteerbaar geneesmiddel Bivalirudin 5 mg/ml
injecteerbaar geneesmiddel Fentanyl citrate 50 µg/ml
Natriumchloride 0,9% 1944
Verenigbaar
injecteerbaar geneesmiddel Bivalirudin 5 mg/ml
injecteerbaar geneesmiddel Fentanyl citrate 50 µg/ml
Glucose 5% 1944
Verenigbaar
injecteerbaar geneesmiddel Bivalirudin 5 mg/ml
injecteerbaar geneesmiddel Fentanyl citrate 50 µg/ml
Glucose 5% 1713
Verenigbaar
injecteerbaar geneesmiddel Bivalirudin 5 mg/ml
injecteerbaar geneesmiddel Fluconazole 2 mg/ml
Glucose 5% 1713
Verenigbaar
injecteerbaar geneesmiddel Bivalirudin 5 mg/ml
injecteerbaar geneesmiddel Furosemide 3 mg/ml
Glucose 5% 1713
Verenigbaar
injecteerbaar geneesmiddel Bivalirudin 5 mg/ml
injecteerbaar geneesmiddel Gentamicin sulfate 5 mg/ml
Glucose 5% 1713
Verenigbaar
injecteerbaar geneesmiddel Bivalirudin
injecteerbaar geneesmiddel Haloperidol lactate 0.2 mg/ml
3539
Verenigbaar
injecteerbaar geneesmiddel Bivalirudin 5 mg/ml
injecteerbaar geneesmiddel Haloperidol lactate 0.2 mg/ml
Glucose 5% 1713
Niet-gespecificeerde incompatibiliteit Onverenigbaar
injecteerbaar geneesmiddel Bivalirudin
injecteerbaar geneesmiddel Haloperidol lactate 5 mg/ml
3539
Verenigbaar
injecteerbaar geneesmiddel Bivalirudin 5 mg/ml
injecteerbaar geneesmiddel Heparin sodium 100 UI/ml
Glucose 5% 1713
Verenigbaar
injecteerbaar geneesmiddel Bivalirudin 5 mg/ml
injecteerbaar geneesmiddel Hydrocortisone sodium succinate 50 mg/ml
Natriumchloride 0,9% 1944
Verenigbaar
injecteerbaar geneesmiddel Bivalirudin 5 mg/ml
injecteerbaar geneesmiddel Hydrocortisone sodium succinate 50 mg/ml
Glucose 5% 1944
Verenigbaar
injecteerbaar geneesmiddel Bivalirudin 5 mg/ml
injecteerbaar geneesmiddel Hydrocortisone sodium succinate 1 mg/ml
Glucose 5% 1713
Verenigbaar
injecteerbaar geneesmiddel Bivalirudin 5 mg/ml
injecteerbaar geneesmiddel Hydromorphone hydrochloride 0.5 mg/ml
Glucose 5% 1713
Verenigbaar
injecteerbaar geneesmiddel Bivalirudin 5 mg/ml
injecteerbaar geneesmiddel Isoprenaline hydrochloride 0.02 mg/ml
Glucose 5% 1713
Niet-gespecificeerde incompatibiliteit Onverenigbaar
injecteerbaar geneesmiddel Bivalirudin
injecteerbaar geneesmiddel Labetalol hydrochloride 5 mg/ml
3539
Verenigbaar
injecteerbaar geneesmiddel Bivalirudin 5 mg/ml
injecteerbaar geneesmiddel Labetalol hydrochloride 2 mg/ml
Glucose 5% 1713
Verenigbaar
injecteerbaar geneesmiddel Bivalirudin
injecteerbaar geneesmiddel Labetalol hydrochloride 2 mg/ml
3539
Verenigbaar
injecteerbaar geneesmiddel Bivalirudin 5 mg/ml
injecteerbaar geneesmiddel Levofloxacine 5 mg/ml
Glucose 5% 1713
Verenigbaar
injecteerbaar geneesmiddel Bivalirudin 5 mg/ml
injecteerbaar geneesmiddel Lidocaine hydrochloride 10 mg/ml
Glucose 5% 1713
Niet-gespecificeerde incompatibiliteit Onverenigbaar
injecteerbaar geneesmiddel Bivalirudin
injecteerbaar geneesmiddel Lorazepam 2 mg/ml
3539
Verenigbaar
injecteerbaar geneesmiddel Bivalirudin
injecteerbaar geneesmiddel Lorazepam 0.5 mg/ml
3539
Verenigbaar
injecteerbaar geneesmiddel Bivalirudin 5 mg/ml
injecteerbaar geneesmiddel Lorazepam 0.5 mg/ml
Glucose 5% 1713
Verenigbaar
injecteerbaar geneesmiddel Bivalirudin 5 mg/ml
injecteerbaar geneesmiddel Magnesium sulfate 100 mg/ml
Glucose 5% 1713
Verenigbaar
injecteerbaar geneesmiddel Bivalirudin 5 mg/ml
injecteerbaar geneesmiddel Mannitol 150 mg/ml
Glucose 5% 1713
Verenigbaar
injecteerbaar geneesmiddel Bivalirudin 5 mg/ml
injecteerbaar geneesmiddel Methylprednisolone sodium succinate 5 mg/ml
Glucose 5% 1713
Verenigbaar
injecteerbaar geneesmiddel Bivalirudin 5 mg/ml
injecteerbaar geneesmiddel Metoclopramide hydrochloride 5 mg/ml
Glucose 5% 1713
Verenigbaar
injecteerbaar geneesmiddel Bivalirudin 5 mg/ml
injecteerbaar geneesmiddel Metoprolol tartrate 1 mg/ml
Natriumchloride 0,9% 1944
Verenigbaar
injecteerbaar geneesmiddel Bivalirudin 5 mg/ml
injecteerbaar geneesmiddel Metoprolol tartrate 1 mg/ml
Glucose 5% 1944
Verenigbaar
injecteerbaar geneesmiddel Bivalirudin 5 mg/ml
injecteerbaar geneesmiddel Metronidazole 5 mg/ml
Glucose 5% 1713
Verenigbaar
injecteerbaar geneesmiddel Bivalirudin 5 mg/ml
injecteerbaar geneesmiddel Midazolam hydrochloride 2 mg/ml
Glucose 5% 1944
Verenigbaar
injecteerbaar geneesmiddel Bivalirudin 5 mg/ml
injecteerbaar geneesmiddel Midazolam hydrochloride 1 mg/ml
Glucose 5% 1713
Verenigbaar
injecteerbaar geneesmiddel Bivalirudin 5 mg/ml
injecteerbaar geneesmiddel Midazolam hydrochloride 2 mg/ml
Natriumchloride 0,9% 1944
Verenigbaar
injecteerbaar geneesmiddel Bivalirudin 5 mg/ml
injecteerbaar geneesmiddel Milrinone lactate 0.2 mg/ml
Glucose 5% 1713
Verenigbaar
injecteerbaar geneesmiddel Bivalirudin 5 mg/ml
injecteerbaar geneesmiddel Morphine sulfate 10 mg/ml
Natriumchloride 0,9% 1944
Verenigbaar
injecteerbaar geneesmiddel Bivalirudin 5 mg/ml
injecteerbaar geneesmiddel Morphine sulfate 10 mg/ml
Glucose 5% 1944
Verenigbaar
injecteerbaar geneesmiddel Bivalirudin 5 mg/ml
injecteerbaar geneesmiddel Morphine sulfate 1 mg/ml
Glucose 5% 1713
Verenigbaar
injecteerbaar geneesmiddel Bivalirudin 5 mg/ml
injecteerbaar geneesmiddel Nalbuphine hydrochloride 10 mg/ml
Glucose 5% 1713
Verenigbaar
injecteerbaar geneesmiddel Bivalirudin 5 mg/ml
injecteerbaar geneesmiddel Nitroprusside sodium 2 mg/ml
Glucose 5% 1713
Verenigbaar
injecteerbaar geneesmiddel Bivalirudin
Natriumchloride 0,9% 3539
Verenigbaar
injecteerbaar geneesmiddel Bivalirudin 5 mg/ml
injecteerbaar geneesmiddel Nitroglycerin 0.4 mg/ml
Glucose 5% 1713
Verenigbaar
injecteerbaar geneesmiddel Bivalirudin 5 mg/ml
injecteerbaar geneesmiddel Norepinephrine bitartrate 0.12 mg/ml
Glucose 5% 1713
Verenigbaar
injecteerbaar geneesmiddel Bivalirudin 5 mg/ml
injecteerbaar geneesmiddel Ofloxacin 4 mg/ml
Glucose 5% 1713
Verenigbaar
injecteerbaar geneesmiddel Bivalirudin 5 mg/ml
injecteerbaar geneesmiddel Pethidine hydrochloride 10 mg/ml
Glucose 5% 1713
Verenigbaar
injecteerbaar geneesmiddel Bivalirudin 5 mg/ml
injecteerbaar geneesmiddel Phenylephrine hydrochloride 10 mg/ml
Glucose 5% 1944
Verenigbaar
injecteerbaar geneesmiddel Bivalirudin 5 mg/ml
injecteerbaar geneesmiddel Phenylephrine hydrochloride 1 mg/ml
Glucose 5% 1713
Verenigbaar
injecteerbaar geneesmiddel Bivalirudin 5 mg/ml
injecteerbaar geneesmiddel Phenylephrine hydrochloride 10 mg/ml
Natriumchloride 0,9% 1944
Verenigbaar
injecteerbaar geneesmiddel Bivalirudin 5 mg/ml
injecteerbaar geneesmiddel Piperacillin sodium 40 mg/ml
Glucose 5% 1713
Verenigbaar
injecteerbaar geneesmiddel Bivalirudin 5 mg/ml
injecteerbaar geneesmiddel Piperacillin sodium / tazobactam 40/5 mg/ml
Glucose 5% 1713
Verenigbaar
injecteerbaar geneesmiddel Bivalirudin 5 mg/ml
injecteerbaar geneesmiddel Potassium chloride 100 mEq/l
Glucose 5% 1713
Verenigbaar
injecteerbaar geneesmiddel Bivalirudin 5 mg/ml
injecteerbaar geneesmiddel Procainamide hydrochloride 10 mg/ml
Glucose 5% 1713
Onmiddellijke neerslag Onverenigbaar
injecteerbaar geneesmiddel Bivalirudin
injecteerbaar geneesmiddel Prochlorperazine edysilate 25 mg/ml
3539
Onmiddellijke neerslag Onverenigbaar
injecteerbaar geneesmiddel Bivalirudin 5 mg/ml
injecteerbaar geneesmiddel Prochlorperazine edysilate 0.5 mg/ml
Glucose 5% 1713
Verenigbaar
injecteerbaar geneesmiddel Bivalirudin
injecteerbaar geneesmiddel Promethazine hydrochloride 2 mg/ml
3539
Niet-gespecificeerde incompatibiliteit Onverenigbaar
injecteerbaar geneesmiddel Bivalirudin
injecteerbaar geneesmiddel Promethazine hydrochloride 25 mg/ml
3539
Verenigbaar
injecteerbaar geneesmiddel Bivalirudin 5 mg/ml
injecteerbaar geneesmiddel Promethazine hydrochloride 2 mg/ml
Glucose 5% 1713
Verenigbaar
injecteerbaar geneesmiddel Bivalirudin 5 mg/ml
injecteerbaar geneesmiddel Ranitidine hydrochloride 2 mg/ml
Glucose 5% 1713
Onmiddellijke neerslag Onverenigbaar
injecteerbaar geneesmiddel Bivalirudin 5 mg/ml
injecteerbaar geneesmiddel Reteplase 1 UI/ml
Glucose 5% 1713
Onmiddellijke neerslag Onverenigbaar
injecteerbaar geneesmiddel Bivalirudin
injecteerbaar geneesmiddel Reteplase
3539
Verenigbaar
injecteerbaar geneesmiddel Bivalirudin 5 mg/ml
injecteerbaar geneesmiddel Sodium bicarbonate 84 mg/ml
Glucose 5% 1713
Onmiddellijke neerslag Onverenigbaar
injecteerbaar geneesmiddel Bivalirudin 5 mg/ml
injecteerbaar geneesmiddel Streptokinase 30000 UI/ml
Glucose 5% 1713
Onmiddellijke neerslag Onverenigbaar
injecteerbaar geneesmiddel Bivalirudin
injecteerbaar geneesmiddel Streptokinase
3539
Verenigbaar
injecteerbaar geneesmiddel Bivalirudin 5 mg/ml
injecteerbaar geneesmiddel Sufentanil citrate 0.05 mg/ml
Glucose 5% 1713
Verenigbaar
injecteerbaar geneesmiddel Bivalirudin 5 mg/ml
injecteerbaar geneesmiddel Theophylline 4 mg/ml
Glucose 5% 1713
Verenigbaar
injecteerbaar geneesmiddel Bivalirudin 5 mg/ml
injecteerbaar geneesmiddel Thiopental sodium 25 mg/ml
Glucose 5% 1713
Verenigbaar
injecteerbaar geneesmiddel Bivalirudin 5 mg/ml
injecteerbaar geneesmiddel Ticarcillin / clavulanic acid 31 mg/ml
Glucose 5% 1713
Verenigbaar
injecteerbaar geneesmiddel Bivalirudin 5 mg/ml
injecteerbaar geneesmiddel Tirofiban 50 µg/ml
Glucose 5% 1713
Verenigbaar
injecteerbaar geneesmiddel Bivalirudin 5 mg/ml
injecteerbaar geneesmiddel Tobramycin sulfate 5 mg/ml
Glucose 5% 1713
Onmiddellijke neerslag Onverenigbaar
injecteerbaar geneesmiddel Bivalirudin 5 mg/ml
injecteerbaar geneesmiddel Vancomycin hydrochloride 10 mg/ml
Glucose 5% 1713
Onmiddellijke neerslag Onverenigbaar
injecteerbaar geneesmiddel Bivalirudin
injecteerbaar geneesmiddel Vancomycin hydrochloride
3539
Verenigbaar
injecteerbaar geneesmiddel Bivalirudin 5 mg/ml
injecteerbaar geneesmiddel Verapamil hydrochloride 2,5 mg/ml
Natriumchloride 0,9% 1944
Verenigbaar
injecteerbaar geneesmiddel Bivalirudin 5 mg/ml
injecteerbaar geneesmiddel Verapamil hydrochloride 2,5 mg/ml
Glucose 5% 1944
Verenigbaar
injecteerbaar geneesmiddel Bivalirudin 5 mg/ml
injecteerbaar geneesmiddel Verapamil hydrochloride 1.25 mg/ml
Glucose 5% 1713
Verenigbaar
injecteerbaar geneesmiddel Bivalirudin 5 mg/ml
injecteerbaar geneesmiddel Warfarin sodium 2 mg/ml
Glucose 5% 1713

  Mentions Légales