Ostatnia aktualizacja :
25/03/2026
Antykoagulant   Bivalirudin  
Injekcje
Trwałość roztworów Trwałość w mieszaninie Czynnik wpływający na trwałość Zgodność Sposób podania Bibliografia pdf
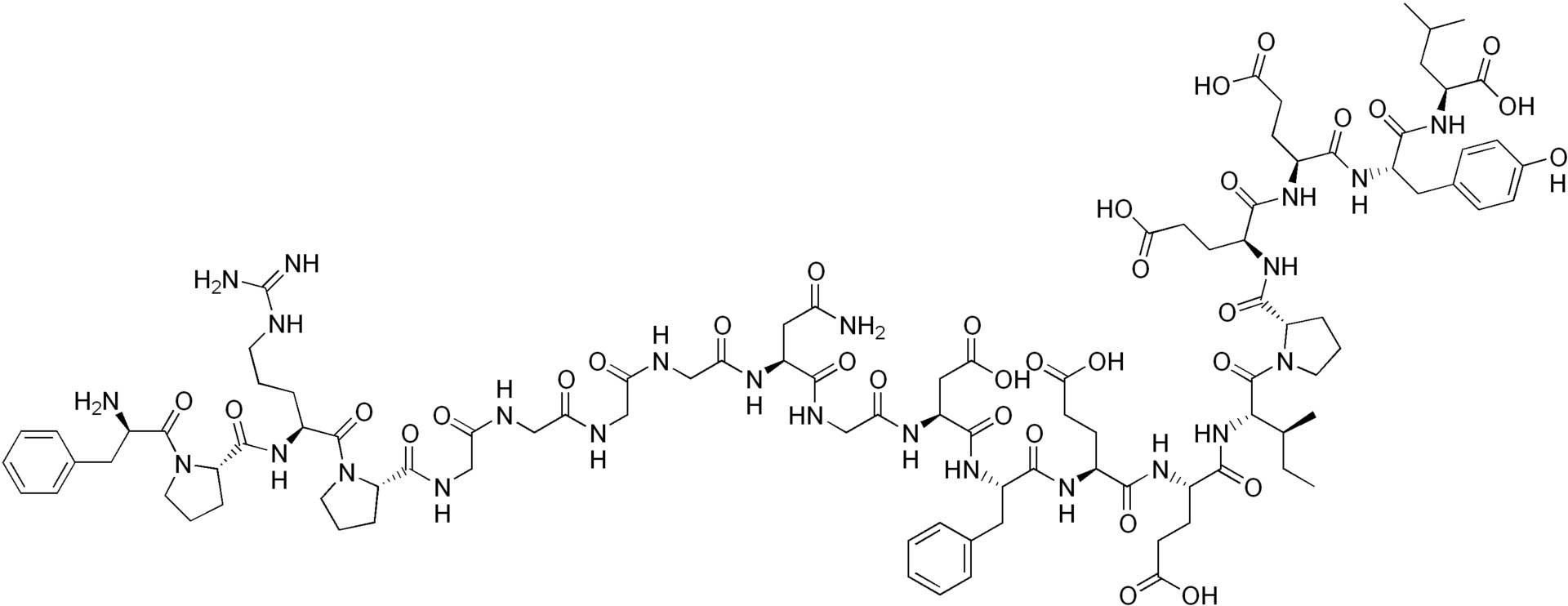
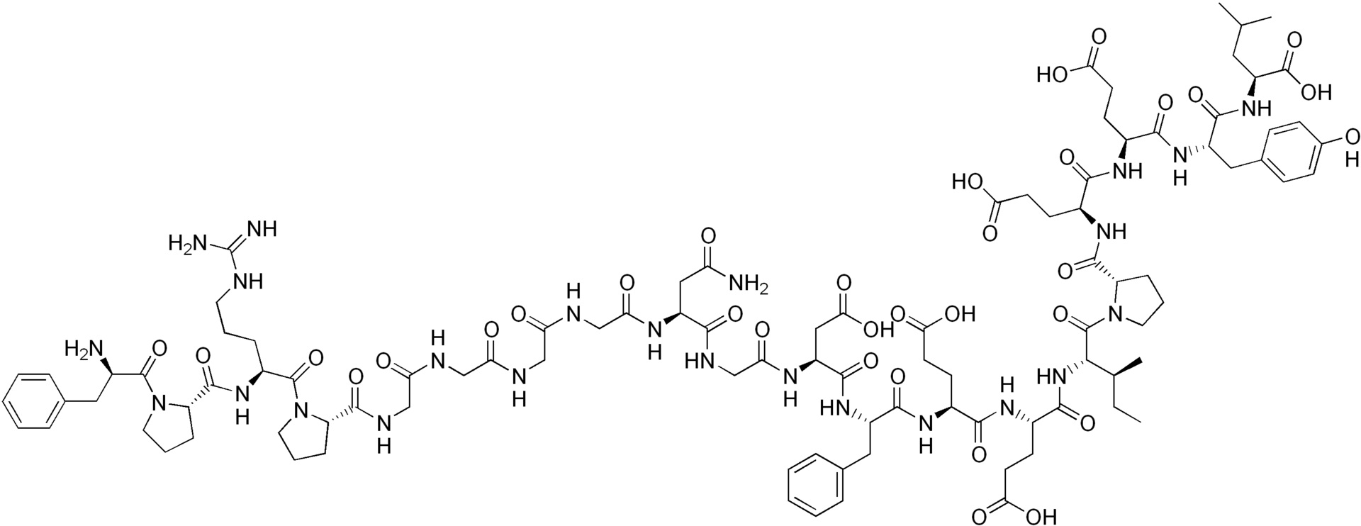
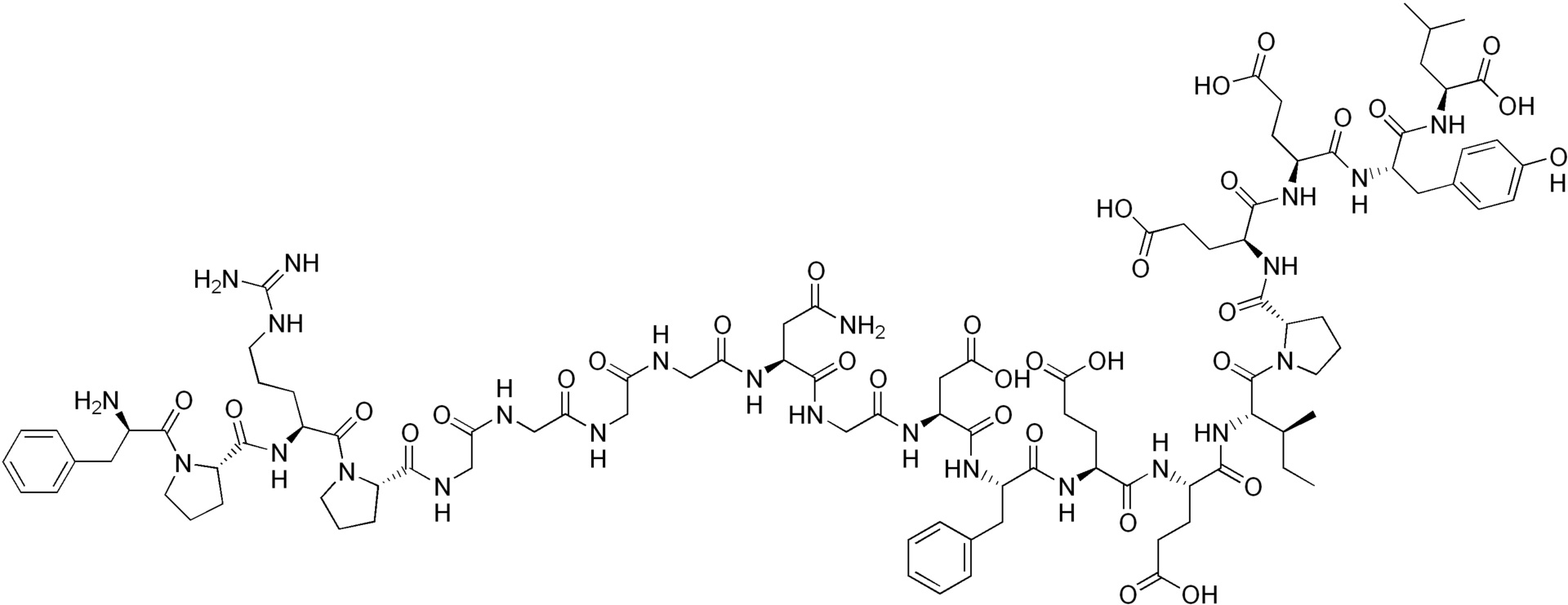
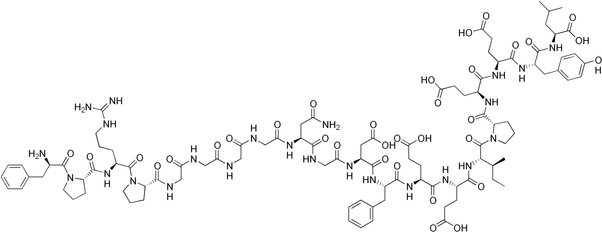
   Struktura chemiczna  

Nazwa handlowa   Nazwa handlowa     

Trade names are indicative and excipients composition can be different depending on the country and manufacturers

Amuprux Argentyna
Angiomax Australia, Chile, Kanada, nowa Zelandia, Peru, Stany Zjednoczone Ameryki, Wenezuela
Angiox Austria, Dania, Finlandia, Grecja, Hiszpania, Holandia, Islandia, Norwegia, Polska, Rumunia, Stany Zjednoczone Ameryki, Słowenia, Węgry, Wielka Brytania, Włochy
Bivalirudin Belgia, Dania, Finlandia, Niemcy, Szwecja, Słowenia, Wielka Brytania
Bivalirudina Hiszpania, Włochy
Zgodność   Injekcje   Zgodność : Bivalirudin              
Ekran ten wskazuje na kompatybilności lub niezgodności z, w tym przypadku, rodzajem niezgodności (strącanie, zmiana koloru, modyfikacja emulsji, itp.). Przedstawione tutaj kompatybilności są głównie fizyczne, a stabilność chemiczna każdej cząsteczki jest rzadko oceniana. Ocenę tych mieszanin badano w celu rozważenia możliwości podania pacjentowi w miejscu Y. Dane te nie mogą być wykorzystywane do sporządzania mieszanin z wyprzedzeniem w workach lub strzykawkach. Tego typu informacje są dostępne na ekranie „Stabilność w mieszaninie”.
Związek Rozpuszczalnik Bibliografia
Zgodny
Injekcje Bivalirudin 5 mg/ml
Injekcje Alfentanil hydrochloride 125 µg/ml
Glukoza 5% 1713
Natychmiastowe opady Niekompatybilny
Injekcje Bivalirudin 5 mg/ml
Injekcje Alteplase 1 mg/ml
Glukoza 5% 1713
Natychmiastowe opady Niekompatybilny
Injekcje Bivalirudin
Injekcje Alteplase
3539
Zgodny
Injekcje Bivalirudin 5 mg/ml
Injekcje Amikacin sulfate 5 mg/ml
Glukoza 5% 1713
Zgodny
Injekcje Bivalirudin 5 mg/ml
Injekcje Aminophylline 2.5 mg/ml
Glukoza 5% 1713
Natychmiastowe opady Niekompatybilny
Injekcje Bivalirudin
Injekcje Amiodarone hydrochloride
3539
Natychmiastowe zmętnienie Niekompatybilny
Injekcje Bivalirudin 5 mg/ml
Injekcje Amiodarone hydrochloride 4 mg/ml
Glukoza 5% 1713
Natychmiastowe opady Niekompatybilny
Injekcje Bivalirudin
Injekcje Amphotericin B
3539
Natychmiastowe opady Niekompatybilny
Injekcje Bivalirudin 5 mg/ml
Injekcje Amphotericin B 0.6 mg/ml
Glukoza 5% 1713
Zgodny
Injekcje Bivalirudin 5 mg/ml
Injekcje Ampicillin sodium 20 mg/ml
Glukoza 5% 1713
Zgodny
Injekcje Bivalirudin 5 mg/ml
Injekcje Ampicillin sodium - sulbactam sodium 20/10 mg/ml
Glukoza 5% 1713
Zgodny
Injekcje Bivalirudin 5 mg/ml
Injekcje Atropine sulfate 0,4 mg/ml
Glukoza 5% 1944
Zgodny
Injekcje Bivalirudin 5 mg/ml
Injekcje Atropine sulfate 0,4 mg/ml
Chlorek sodu 0,9% 1944
Zgodny
Injekcje Bivalirudin 5 mg/ml
Injekcje Azithromycine 2 mg/ml
Glukoza 5% 1713
Zgodny
Injekcje Bivalirudin 5 mg/ml
Injekcje Aztreonam 40 mg/ml
Glukoza 5% 1713
Zgodny
Injekcje Bivalirudin 5 mg/ml
Injekcje Bretylium tosilate 50 mg/ml
Glukoza 5% 1713
Zgodny
Injekcje Bivalirudin 5 mg/ml
Injekcje Bumetanide 0.04 mg/ml
Glukoza 5% 1713
Zgodny
Injekcje Bivalirudin 5 mg/ml
Injekcje Butorphanol tartrate 0.04 mg/ml
Glukoza 5% 1713
Zgodny
Injekcje Bivalirudin 5 mg/ml
Injekcje Calcium gluconate 40 mg/ml
Glukoza 5% 1713
Zgodny
Injekcje Bivalirudin 5 mg/ml
Injekcje Cefazolin sodium 20 mg/ml
Glukoza 5% 1713
Zgodny
Injekcje Bivalirudin 5 mg/ml
Injekcje Cefepime dihydrochloride 20 mg/ml
Glukoza 5% 1713
Zgodny
Injekcje Bivalirudin 5 mg/ml
Injekcje Cefoperazone sodium 40 mg/ml
Glukoza 5% 1713
Zgodny
Injekcje Bivalirudin 5 mg/ml
Injekcje Cefotaxime sodium 20 mg/ml
Glukoza 5% 1713
Zgodny
Injekcje Bivalirudin 5 mg/ml
Injekcje Ceftazidime 40 mg/ml
Glukoza 5% 1713
Natychmiastowe opady Niekompatybilny
Injekcje Bivalirudin
Injekcje Chlorpromazine hydrochloride
3539
Zgodny
Injekcje Bivalirudin
Glukoza 5% 3539
Zgodny
Injekcje Bivalirudin 5 mg/ml
Injekcje Cefoxitin sodium 20 mg/ml
Glukoza 5% 1713
Zgodny
Injekcje Bivalirudin 5 mg/ml
Injekcje Ceftizoxime sodium 20 mg/ml
Glukoza 5% 1713
Zgodny
Injekcje Bivalirudin 5 mg/ml
Injekcje Ceftriaxone disodium 20 mg/ml
Glukoza 5% 1713
Zgodny
Injekcje Bivalirudin 5 mg/ml
Injekcje Cefuroxime sodium 30 mg/ml
Glukoza 5% 1713
Natychmiastowe opady Niekompatybilny
Injekcje Bivalirudin 5 mg/ml
Injekcje Chlorpromazine hydrochloride 2 mg/ml
Glukoza 5% 1713
Zgodny
Injekcje Bivalirudin 5 mg/ml
Injekcje Cimetidine hydrochloride 12 mg/ml
Glukoza 5% 1713
Zgodny
Injekcje Bivalirudin 5 mg/ml
Injekcje Ciprofloxacin lactate 2 mg/ml
Glukoza 5% 1713
Zgodny
Injekcje Bivalirudin 5 mg/ml
Injekcje Clindamycin phosphate 10 mg/ml
Glukoza 5% 1713
Zgodny
Injekcje Bivalirudin 5 mg/ml
Injekcje Co-trimoxazole 4/0.8 mg/ml
Glukoza 5% 1713
Zgodny
Injekcje Bivalirudin 5 mg/ml
Injekcje Dexamethasone sodium phosphate 1 mg/ml
Glukoza 5% 1713
Natychmiastowe opady Niekompatybilny
Injekcje Bivalirudin 5 mg/ml
Injekcje Diazepam 5 mg/ml
Glukoza 5% 1713
Natychmiastowe opady Niekompatybilny
Injekcje Bivalirudin
Injekcje Diazepam
3539
Zgodny
Injekcje Bivalirudin 5 mg/ml
Injekcje Digoxin 250 µg/ml
Glukoza 5% 1713
Zgodny
Injekcje Bivalirudin 5 mg/ml
Injekcje Diltiazem hydrochloride 5 mg/ml
Chlorek sodu 0,9% 1944
Zgodny
Injekcje Bivalirudin 5 mg/ml
Injekcje Diltiazem hydrochloride 5 mg/ml
Glukoza 5% 1713
Zgodny
Injekcje Bivalirudin 5 mg/ml
Injekcje Diltiazem hydrochloride 5 mg/ml
Glukoza 5% 1944
Zgodny
Injekcje Bivalirudin 5 mg/ml
Injekcje Diphenhydramine hydrochloride 2 mg/ml
Glukoza 5% 1713
Zgodny
Injekcje Bivalirudin 5 mg/ml
Injekcje Dobutamine hydrochloride 4 mg/ml
Glukoza 5% 1713
Zgodny
Injekcje Bivalirudin
Injekcje Dobutamine hydrochloride 4 mg/ml
3539
Natychmiastowe opady Niekompatybilny
Injekcje Bivalirudin 5 mg/ml
Injekcje Dobutamine hydrochloride 12,5 mg/ml
Glukoza 5% 1944
Nieokreślona niezgodność Niekompatybilny
Injekcje Bivalirudin
Injekcje Dobutamine hydrochloride 12.5 mg/ml
3539
Natychmiastowe opady Niekompatybilny
Injekcje Bivalirudin 5 mg/ml
Injekcje Dobutamine hydrochloride 12,5 mg/ml
Chlorek sodu 0,9% 1944
Zgodny
Injekcje Bivalirudin 5 mg/ml
Injekcje Dopamine hydrochloride 80 mg/ml
Chlorek sodu 0,9% 1944
Zgodny
Injekcje Bivalirudin 5 mg/ml
Injekcje Dopamine hydrochloride 80 mg/ml
Glukoza 5% 1944
Zgodny
Injekcje Bivalirudin 5 mg/ml
Injekcje Dopamine hydrochloride 3.2 mg/ml
Glukoza 5% 1713
Zgodny
Injekcje Bivalirudin 5 mg/ml
Injekcje Doxycycline hyclate 1 mg/ml
Glukoza 5% 1713
Zgodny
Injekcje Bivalirudin 5 mg/ml
Injekcje Droperidol 2.5 mg/ml
Glukoza 5% 1713
Zgodny
Injekcje Bivalirudin 5 mg/ml
Injekcje Enalaprilate 0.1 mg/ml
Glukoza 5% 1713
Zgodny
Injekcje Bivalirudin 5 mg/ml
Injekcje Ephedrine hydrochloride 5 mg/ml
Glukoza 5% 1713
Zgodny
Injekcje Bivalirudin 5 mg/ml
Injekcje Epinephrine hydrochloride 50 µg/ml
Glukoza 5% 1713
Zgodny
Injekcje Bivalirudin 5 mg/ml
Injekcje Eptifibatide 2 mg/ml
Glukoza 5% 1713
Zgodny
Injekcje Bivalirudin 5 mg/ml
Injekcje Erythromycin lactobionate 5 mg/ml
Glukoza 5% 1713
Zgodny
Injekcje Bivalirudin 5 mg/ml
Injekcje Esmolol hydrochloride 10 mg/ml
Glukoza 5% 1713
Zgodny
Injekcje Bivalirudin
Injekcje Famotidine 2 mg/ml
3539
Nieokreślona niezgodność Niekompatybilny
Injekcje Bivalirudin
Injekcje Famotidine 10 mg/ml
3539
Zgodny
Injekcje Bivalirudin 5 mg/ml
Injekcje Famotidine 2 mg/ml
Glukoza 5% 1713
Zgodny
Injekcje Bivalirudin 5 mg/ml
Injekcje Fentanyl citrate 50 µg/ml
Chlorek sodu 0,9% 1944
Zgodny
Injekcje Bivalirudin 5 mg/ml
Injekcje Fentanyl citrate 50 µg/ml
Glukoza 5% 1944
Zgodny
Injekcje Bivalirudin 5 mg/ml
Injekcje Fentanyl citrate 50 µg/ml
Glukoza 5% 1713
Zgodny
Injekcje Bivalirudin 5 mg/ml
Injekcje Fluconazole 2 mg/ml
Glukoza 5% 1713
Zgodny
Injekcje Bivalirudin 5 mg/ml
Injekcje Furosemide 3 mg/ml
Glukoza 5% 1713
Zgodny
Injekcje Bivalirudin 5 mg/ml
Injekcje Gentamicin sulfate 5 mg/ml
Glukoza 5% 1713
Zgodny
Injekcje Bivalirudin
Injekcje Haloperidol lactate 0.2 mg/ml
3539
Zgodny
Injekcje Bivalirudin 5 mg/ml
Injekcje Haloperidol lactate 0.2 mg/ml
Glukoza 5% 1713
Nieokreślona niezgodność Niekompatybilny
Injekcje Bivalirudin
Injekcje Haloperidol lactate 5 mg/ml
3539
Zgodny
Injekcje Bivalirudin 5 mg/ml
Injekcje Heparin sodium 100 UI/ml
Glukoza 5% 1713
Zgodny
Injekcje Bivalirudin 5 mg/ml
Injekcje Hydrocortisone sodium succinate 50 mg/ml
Chlorek sodu 0,9% 1944
Zgodny
Injekcje Bivalirudin 5 mg/ml
Injekcje Hydrocortisone sodium succinate 50 mg/ml
Glukoza 5% 1944
Zgodny
Injekcje Bivalirudin 5 mg/ml
Injekcje Hydrocortisone sodium succinate 1 mg/ml
Glukoza 5% 1713
Zgodny
Injekcje Bivalirudin 5 mg/ml
Injekcje Hydromorphone hydrochloride 0.5 mg/ml
Glukoza 5% 1713
Zgodny
Injekcje Bivalirudin 5 mg/ml
Injekcje Isoprenaline hydrochloride 0.02 mg/ml
Glukoza 5% 1713
Nieokreślona niezgodność Niekompatybilny
Injekcje Bivalirudin
Injekcje Labetalol hydrochloride 5 mg/ml
3539
Zgodny
Injekcje Bivalirudin 5 mg/ml
Injekcje Labetalol hydrochloride 2 mg/ml
Glukoza 5% 1713
Zgodny
Injekcje Bivalirudin
Injekcje Labetalol hydrochloride 2 mg/ml
3539
Zgodny
Injekcje Bivalirudin 5 mg/ml
Injekcje Levofloxacine 5 mg/ml
Glukoza 5% 1713
Zgodny
Injekcje Bivalirudin 5 mg/ml
Injekcje Lidocaine hydrochloride 10 mg/ml
Glukoza 5% 1713
Nieokreślona niezgodność Niekompatybilny
Injekcje Bivalirudin
Injekcje Lorazepam 2 mg/ml
3539
Zgodny
Injekcje Bivalirudin
Injekcje Lorazepam 0.5 mg/ml
3539
Zgodny
Injekcje Bivalirudin 5 mg/ml
Injekcje Lorazepam 0.5 mg/ml
Glukoza 5% 1713
Zgodny
Injekcje Bivalirudin 5 mg/ml
Injekcje Magnesium sulfate 100 mg/ml
Glukoza 5% 1713
Zgodny
Injekcje Bivalirudin 5 mg/ml
Injekcje Mannitol 150 mg/ml
Glukoza 5% 1713
Zgodny
Injekcje Bivalirudin 5 mg/ml
Injekcje Methylprednisolone sodium succinate 5 mg/ml
Glukoza 5% 1713
Zgodny
Injekcje Bivalirudin 5 mg/ml
Injekcje Metoclopramide hydrochloride 5 mg/ml
Glukoza 5% 1713
Zgodny
Injekcje Bivalirudin 5 mg/ml
Injekcje Metoprolol tartrate 1 mg/ml
Chlorek sodu 0,9% 1944
Zgodny
Injekcje Bivalirudin 5 mg/ml
Injekcje Metoprolol tartrate 1 mg/ml
Glukoza 5% 1944
Zgodny
Injekcje Bivalirudin 5 mg/ml
Injekcje Metronidazole 5 mg/ml
Glukoza 5% 1713
Zgodny
Injekcje Bivalirudin 5 mg/ml
Injekcje Midazolam hydrochloride 2 mg/ml
Glukoza 5% 1944
Zgodny
Injekcje Bivalirudin 5 mg/ml
Injekcje Midazolam hydrochloride 1 mg/ml
Glukoza 5% 1713
Zgodny
Injekcje Bivalirudin 5 mg/ml
Injekcje Midazolam hydrochloride 2 mg/ml
Chlorek sodu 0,9% 1944
Zgodny
Injekcje Bivalirudin 5 mg/ml
Injekcje Milrinone lactate 0.2 mg/ml
Glukoza 5% 1713
Zgodny
Injekcje Bivalirudin 5 mg/ml
Injekcje Morphine sulfate 10 mg/ml
Chlorek sodu 0,9% 1944
Zgodny
Injekcje Bivalirudin 5 mg/ml
Injekcje Morphine sulfate 10 mg/ml
Glukoza 5% 1944
Zgodny
Injekcje Bivalirudin 5 mg/ml
Injekcje Morphine sulfate 1 mg/ml
Glukoza 5% 1713
Zgodny
Injekcje Bivalirudin 5 mg/ml
Injekcje Nalbuphine hydrochloride 10 mg/ml
Glukoza 5% 1713
Zgodny
Injekcje Bivalirudin 5 mg/ml
Injekcje Nitroprusside sodium 2 mg/ml
Glukoza 5% 1713
Zgodny
Injekcje Bivalirudin
Chlorek sodu 0,9% 3539
Zgodny
Injekcje Bivalirudin 5 mg/ml
Injekcje Nitroglycerin 0.4 mg/ml
Glukoza 5% 1713
Zgodny
Injekcje Bivalirudin 5 mg/ml
Injekcje Norepinephrine bitartrate 0.12 mg/ml
Glukoza 5% 1713
Zgodny
Injekcje Bivalirudin 5 mg/ml
Injekcje Ofloxacin 4 mg/ml
Glukoza 5% 1713
Zgodny
Injekcje Bivalirudin 5 mg/ml
Injekcje Pethidine hydrochloride 10 mg/ml
Glukoza 5% 1713
Zgodny
Injekcje Bivalirudin 5 mg/ml
Injekcje Phenylephrine hydrochloride 10 mg/ml
Glukoza 5% 1944
Zgodny
Injekcje Bivalirudin 5 mg/ml
Injekcje Phenylephrine hydrochloride 1 mg/ml
Glukoza 5% 1713
Zgodny
Injekcje Bivalirudin 5 mg/ml
Injekcje Phenylephrine hydrochloride 10 mg/ml
Chlorek sodu 0,9% 1944
Zgodny
Injekcje Bivalirudin 5 mg/ml
Injekcje Piperacillin sodium 40 mg/ml
Glukoza 5% 1713
Zgodny
Injekcje Bivalirudin 5 mg/ml
Injekcje Piperacillin sodium / tazobactam 40/5 mg/ml
Glukoza 5% 1713
Zgodny
Injekcje Bivalirudin 5 mg/ml
Injekcje Potassium chloride 100 mEq/l
Glukoza 5% 1713
Zgodny
Injekcje Bivalirudin 5 mg/ml
Injekcje Procainamide hydrochloride 10 mg/ml
Glukoza 5% 1713
Natychmiastowe opady Niekompatybilny
Injekcje Bivalirudin
Injekcje Prochlorperazine edysilate 25 mg/ml
3539
Natychmiastowe opady Niekompatybilny
Injekcje Bivalirudin 5 mg/ml
Injekcje Prochlorperazine edysilate 0.5 mg/ml
Glukoza 5% 1713
Zgodny
Injekcje Bivalirudin
Injekcje Promethazine hydrochloride 2 mg/ml
3539
Nieokreślona niezgodność Niekompatybilny
Injekcje Bivalirudin
Injekcje Promethazine hydrochloride 25 mg/ml
3539
Zgodny
Injekcje Bivalirudin 5 mg/ml
Injekcje Promethazine hydrochloride 2 mg/ml
Glukoza 5% 1713
Zgodny
Injekcje Bivalirudin 5 mg/ml
Injekcje Ranitidine hydrochloride 2 mg/ml
Glukoza 5% 1713
Natychmiastowe opady Niekompatybilny
Injekcje Bivalirudin 5 mg/ml
Injekcje Reteplase 1 UI/ml
Glukoza 5% 1713
Natychmiastowe opady Niekompatybilny
Injekcje Bivalirudin
Injekcje Reteplase
3539
Zgodny
Injekcje Bivalirudin 5 mg/ml
Injekcje Sodium bicarbonate 84 mg/ml
Glukoza 5% 1713
Natychmiastowe opady Niekompatybilny
Injekcje Bivalirudin 5 mg/ml
Injekcje Streptokinase 30000 UI/ml
Glukoza 5% 1713
Natychmiastowe opady Niekompatybilny
Injekcje Bivalirudin
Injekcje Streptokinase
3539
Zgodny
Injekcje Bivalirudin 5 mg/ml
Injekcje Sufentanil citrate 0.05 mg/ml
Glukoza 5% 1713
Zgodny
Injekcje Bivalirudin 5 mg/ml
Injekcje Theophylline 4 mg/ml
Glukoza 5% 1713
Zgodny
Injekcje Bivalirudin 5 mg/ml
Injekcje Thiopental sodium 25 mg/ml
Glukoza 5% 1713
Zgodny
Injekcje Bivalirudin 5 mg/ml
Injekcje Ticarcillin / clavulanic acid 31 mg/ml
Glukoza 5% 1713
Zgodny
Injekcje Bivalirudin 5 mg/ml
Injekcje Tirofiban 50 µg/ml
Glukoza 5% 1713
Zgodny
Injekcje Bivalirudin 5 mg/ml
Injekcje Tobramycin sulfate 5 mg/ml
Glukoza 5% 1713
Natychmiastowe opady Niekompatybilny
Injekcje Bivalirudin 5 mg/ml
Injekcje Vancomycin hydrochloride 10 mg/ml
Glukoza 5% 1713
Natychmiastowe opady Niekompatybilny
Injekcje Bivalirudin
Injekcje Vancomycin hydrochloride
3539
Zgodny
Injekcje Bivalirudin 5 mg/ml
Injekcje Verapamil hydrochloride 2,5 mg/ml
Chlorek sodu 0,9% 1944
Zgodny
Injekcje Bivalirudin 5 mg/ml
Injekcje Verapamil hydrochloride 2,5 mg/ml
Glukoza 5% 1944
Zgodny
Injekcje Bivalirudin 5 mg/ml
Injekcje Verapamil hydrochloride 1.25 mg/ml
Glukoza 5% 1713
Zgodny
Injekcje Bivalirudin 5 mg/ml
Injekcje Warfarin sodium 2 mg/ml
Glukoza 5% 1713

  Mentions Légales