Seneste opdatering :
25/03/2026
Antikoagulant   Bivalirudin  
Injektion
Stabilitet i (vandige) opløsninger Stabilitet i blandinger Faktorer der påvirker stabiliteten Kompatibilitet Administrationsvej Bibliografi pdf
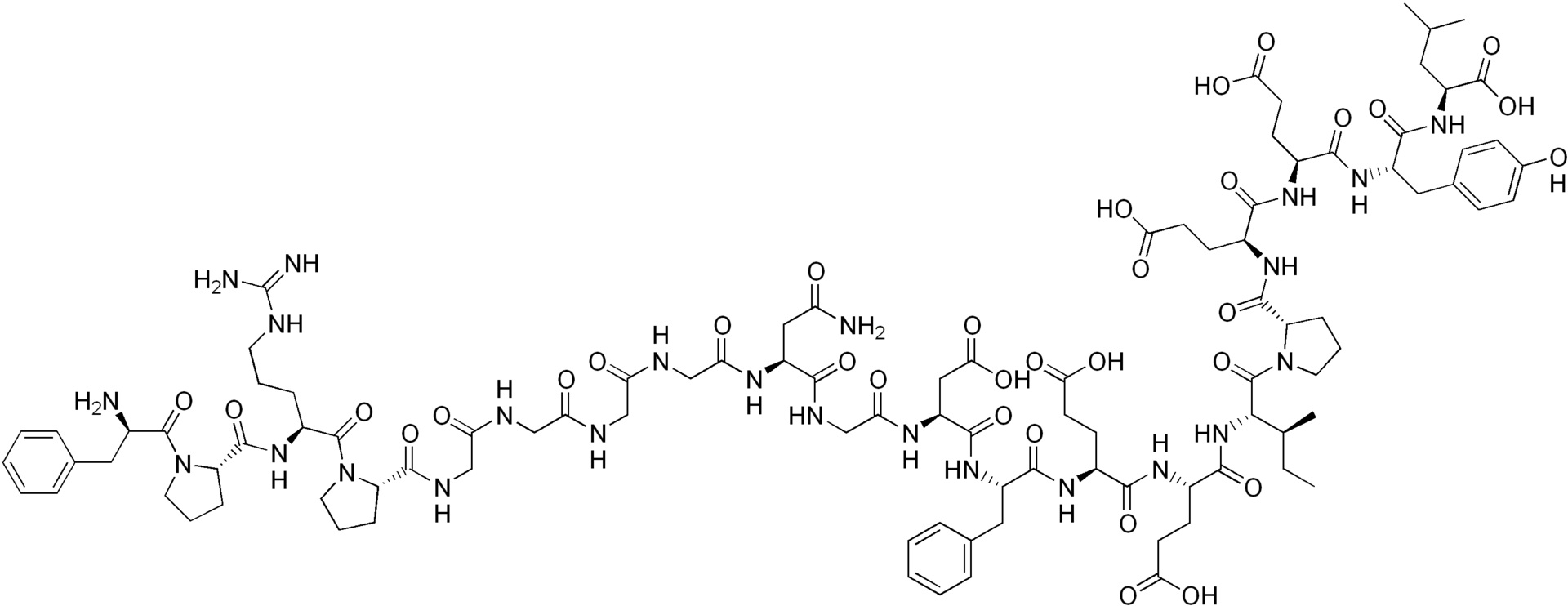
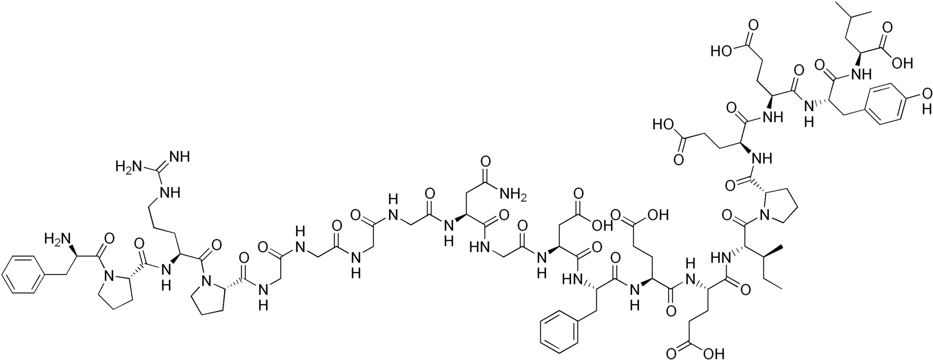
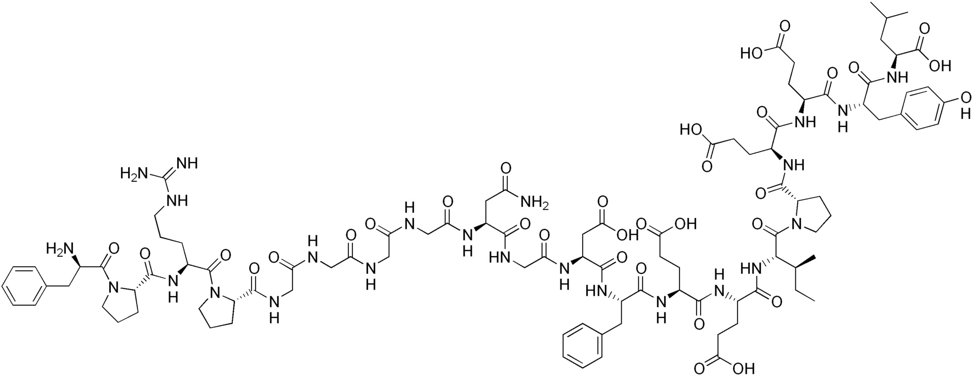
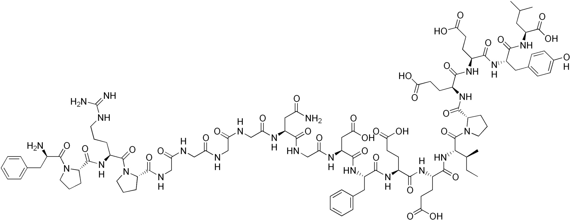
   Kemisk struktur  

Handelsnavn   Handelsnavn     

Handel navne er vejledende og hjælpestoffer sammensætning kan være forskellig afhængigt af landet og laboratorier

Amuprux Argentina
Angiomax Australien, Canada, Chile, Marokko, New Zealand, USA, Venezuela
Angiox Danmark, Finland, Grækenland, Holland, Island, Italien, Norge, Polen, Rumænien, Slovenien, Spanien, Storbritanien, Ungarn, USA, Østrig
Bivalirudin Belgien, Danmark, Finland, Slovenien, Storbritanien, Sverige, Tyskland
Bivalirudina Italien, Spanien
Kompatibilitet   Injektion   Kompatibilitet : Bivalirudin              
Denne skærm viser kompatibilitet eller uforenelighed med, i dette tilfælde typen af inkompatibilitet (udfældning, farveændring, ændring af en emulsion osv.). Kompatibiliteterne vist her er for det meste kun fysiske, idet den kemiske stabilitet af hvert molekyle sjældent vurderes. Evalueringen af disse blandinger blev undersøgt for at overveje muligheden for Y-sted-administration til patienten. Disse data kan ikke bruges til at fremstille blandinger på forhånd i poser eller sprøjter. Denne type information findes på skærmen "Stabilitet i blanding".
Molekyle Opløsningsmiddel Bibliografi
Kompatibel
Injektion Bivalirudin 5 mg/ml
Injektion Alfentanil hydrochloride 125 µg/ml
5 % Glukose 1713
Umiddelbar nedbør Uforenelig
Injektion Bivalirudin 5 mg/ml
Injektion Alteplase 1 mg/ml
5 % Glukose 1713
Umiddelbar nedbør Uforenelig
Injektion Bivalirudin
Injektion Alteplase
3539
Kompatibel
Injektion Bivalirudin 5 mg/ml
Injektion Amikacin sulfate 5 mg/ml
5 % Glukose 1713
Kompatibel
Injektion Bivalirudin 5 mg/ml
Injektion Aminophylline 2.5 mg/ml
5 % Glukose 1713
Umiddelbar nedbør Uforenelig
Injektion Bivalirudin
Injektion Amiodarone hydrochloride
3539
Umiddelbar turbiditet Uforenelig
Injektion Bivalirudin 5 mg/ml
Injektion Amiodarone hydrochloride 4 mg/ml
5 % Glukose 1713
Umiddelbar nedbør Uforenelig
Injektion Bivalirudin
Injektion Amphotericin B
3539
Umiddelbar nedbør Uforenelig
Injektion Bivalirudin 5 mg/ml
Injektion Amphotericin B 0.6 mg/ml
5 % Glukose 1713
Kompatibel
Injektion Bivalirudin 5 mg/ml
Injektion Ampicillin sodium 20 mg/ml
5 % Glukose 1713
Kompatibel
Injektion Bivalirudin 5 mg/ml
Injektion Ampicillin sodium - sulbactam sodium 20/10 mg/ml
5 % Glukose 1713
Kompatibel
Injektion Bivalirudin 5 mg/ml
Injektion Atropine sulfate 0,4 mg/ml
5 % Glukose 1944
Kompatibel
Injektion Bivalirudin 5 mg/ml
Injektion Atropine sulfate 0,4 mg/ml
0,9 % Natriumklorid 1944
Kompatibel
Injektion Bivalirudin 5 mg/ml
Injektion Azithromycine 2 mg/ml
5 % Glukose 1713
Kompatibel
Injektion Bivalirudin 5 mg/ml
Injektion Aztreonam 40 mg/ml
5 % Glukose 1713
Kompatibel
Injektion Bivalirudin 5 mg/ml
Injektion Bretylium tosilate 50 mg/ml
5 % Glukose 1713
Kompatibel
Injektion Bivalirudin 5 mg/ml
Injektion Bumetanide 0.04 mg/ml
5 % Glukose 1713
Kompatibel
Injektion Bivalirudin 5 mg/ml
Injektion Butorphanol tartrate 0.04 mg/ml
5 % Glukose 1713
Kompatibel
Injektion Bivalirudin 5 mg/ml
Injektion Calcium gluconate 40 mg/ml
5 % Glukose 1713
Kompatibel
Injektion Bivalirudin 5 mg/ml
Injektion Cefazolin sodium 20 mg/ml
5 % Glukose 1713
Kompatibel
Injektion Bivalirudin 5 mg/ml
Injektion Cefepime dihydrochloride 20 mg/ml
5 % Glukose 1713
Kompatibel
Injektion Bivalirudin 5 mg/ml
Injektion Cefoperazone sodium 40 mg/ml
5 % Glukose 1713
Kompatibel
Injektion Bivalirudin 5 mg/ml
Injektion Cefotaxime sodium 20 mg/ml
5 % Glukose 1713
Kompatibel
Injektion Bivalirudin 5 mg/ml
Injektion Ceftazidime 40 mg/ml
5 % Glukose 1713
Umiddelbar nedbør Uforenelig
Injektion Bivalirudin
Injektion Chlorpromazine hydrochloride
3539
Kompatibel
Injektion Bivalirudin
5 % Glukose 3539
Kompatibel
Injektion Bivalirudin 5 mg/ml
Injektion Cefoxitin sodium 20 mg/ml
5 % Glukose 1713
Kompatibel
Injektion Bivalirudin 5 mg/ml
Injektion Ceftizoxime sodium 20 mg/ml
5 % Glukose 1713
Kompatibel
Injektion Bivalirudin 5 mg/ml
Injektion Ceftriaxone disodium 20 mg/ml
5 % Glukose 1713
Kompatibel
Injektion Bivalirudin 5 mg/ml
Injektion Cefuroxime sodium 30 mg/ml
5 % Glukose 1713
Umiddelbar nedbør Uforenelig
Injektion Bivalirudin 5 mg/ml
Injektion Chlorpromazine hydrochloride 2 mg/ml
5 % Glukose 1713
Kompatibel
Injektion Bivalirudin 5 mg/ml
Injektion Cimetidine hydrochloride 12 mg/ml
5 % Glukose 1713
Kompatibel
Injektion Bivalirudin 5 mg/ml
Injektion Ciprofloxacin lactate 2 mg/ml
5 % Glukose 1713
Kompatibel
Injektion Bivalirudin 5 mg/ml
Injektion Clindamycin phosphate 10 mg/ml
5 % Glukose 1713
Kompatibel
Injektion Bivalirudin 5 mg/ml
Injektion Co-trimoxazole 4/0.8 mg/ml
5 % Glukose 1713
Kompatibel
Injektion Bivalirudin 5 mg/ml
Injektion Dexamethasone sodium phosphate 1 mg/ml
5 % Glukose 1713
Umiddelbar nedbør Uforenelig
Injektion Bivalirudin 5 mg/ml
Injektion Diazepam 5 mg/ml
5 % Glukose 1713
Umiddelbar nedbør Uforenelig
Injektion Bivalirudin
Injektion Diazepam
3539
Kompatibel
Injektion Bivalirudin 5 mg/ml
Injektion Digoxin 250 µg/ml
5 % Glukose 1713
Kompatibel
Injektion Bivalirudin 5 mg/ml
Injektion Diltiazem hydrochloride 5 mg/ml
0,9 % Natriumklorid 1944
Kompatibel
Injektion Bivalirudin 5 mg/ml
Injektion Diltiazem hydrochloride 5 mg/ml
5 % Glukose 1713
Kompatibel
Injektion Bivalirudin 5 mg/ml
Injektion Diltiazem hydrochloride 5 mg/ml
5 % Glukose 1944
Kompatibel
Injektion Bivalirudin 5 mg/ml
Injektion Diphenhydramine hydrochloride 2 mg/ml
5 % Glukose 1713
Kompatibel
Injektion Bivalirudin 5 mg/ml
Injektion Dobutamine hydrochloride 4 mg/ml
5 % Glukose 1713
Kompatibel
Injektion Bivalirudin
Injektion Dobutamine hydrochloride 4 mg/ml
3539
Umiddelbar nedbør Uforenelig
Injektion Bivalirudin 5 mg/ml
Injektion Dobutamine hydrochloride 12,5 mg/ml
5 % Glukose 1944
Uspecificeret inkompatibilitet Uforenelig
Injektion Bivalirudin
Injektion Dobutamine hydrochloride 12.5 mg/ml
3539
Umiddelbar nedbør Uforenelig
Injektion Bivalirudin 5 mg/ml
Injektion Dobutamine hydrochloride 12,5 mg/ml
0,9 % Natriumklorid 1944
Kompatibel
Injektion Bivalirudin 5 mg/ml
Injektion Dopamine hydrochloride 80 mg/ml
0,9 % Natriumklorid 1944
Kompatibel
Injektion Bivalirudin 5 mg/ml
Injektion Dopamine hydrochloride 80 mg/ml
5 % Glukose 1944
Kompatibel
Injektion Bivalirudin 5 mg/ml
Injektion Dopamine hydrochloride 3.2 mg/ml
5 % Glukose 1713
Kompatibel
Injektion Bivalirudin 5 mg/ml
Injektion Doxycycline hyclate 1 mg/ml
5 % Glukose 1713
Kompatibel
Injektion Bivalirudin 5 mg/ml
Injektion Droperidol 2.5 mg/ml
5 % Glukose 1713
Kompatibel
Injektion Bivalirudin 5 mg/ml
Injektion Enalaprilate 0.1 mg/ml
5 % Glukose 1713
Kompatibel
Injektion Bivalirudin 5 mg/ml
Injektion Ephedrine hydrochloride 5 mg/ml
5 % Glukose 1713
Kompatibel
Injektion Bivalirudin 5 mg/ml
Injektion Epinephrine hydrochloride 50 µg/ml
5 % Glukose 1713
Kompatibel
Injektion Bivalirudin 5 mg/ml
Injektion Eptifibatide 2 mg/ml
5 % Glukose 1713
Kompatibel
Injektion Bivalirudin 5 mg/ml
Injektion Erythromycin lactobionate 5 mg/ml
5 % Glukose 1713
Kompatibel
Injektion Bivalirudin 5 mg/ml
Injektion Esmolol hydrochloride 10 mg/ml
5 % Glukose 1713
Kompatibel
Injektion Bivalirudin
Injektion Famotidine 2 mg/ml
3539
Uspecificeret inkompatibilitet Uforenelig
Injektion Bivalirudin
Injektion Famotidine 10 mg/ml
3539
Kompatibel
Injektion Bivalirudin 5 mg/ml
Injektion Famotidine 2 mg/ml
5 % Glukose 1713
Kompatibel
Injektion Bivalirudin 5 mg/ml
Injektion Fentanyl citrate 50 µg/ml
0,9 % Natriumklorid 1944
Kompatibel
Injektion Bivalirudin 5 mg/ml
Injektion Fentanyl citrate 50 µg/ml
5 % Glukose 1944
Kompatibel
Injektion Bivalirudin 5 mg/ml
Injektion Fentanyl citrate 50 µg/ml
5 % Glukose 1713
Kompatibel
Injektion Bivalirudin 5 mg/ml
Injektion Fluconazole 2 mg/ml
5 % Glukose 1713
Kompatibel
Injektion Bivalirudin 5 mg/ml
Injektion Furosemide 3 mg/ml
5 % Glukose 1713
Kompatibel
Injektion Bivalirudin 5 mg/ml
Injektion Gentamicin sulfate 5 mg/ml
5 % Glukose 1713
Kompatibel
Injektion Bivalirudin
Injektion Haloperidol lactate 0.2 mg/ml
3539
Kompatibel
Injektion Bivalirudin 5 mg/ml
Injektion Haloperidol lactate 0.2 mg/ml
5 % Glukose 1713
Uspecificeret inkompatibilitet Uforenelig
Injektion Bivalirudin
Injektion Haloperidol lactate 5 mg/ml
3539
Kompatibel
Injektion Bivalirudin 5 mg/ml
Injektion Heparin sodium 100 UI/ml
5 % Glukose 1713
Kompatibel
Injektion Bivalirudin 5 mg/ml
Injektion Hydrocortisone sodium succinate 50 mg/ml
0,9 % Natriumklorid 1944
Kompatibel
Injektion Bivalirudin 5 mg/ml
Injektion Hydrocortisone sodium succinate 50 mg/ml
5 % Glukose 1944
Kompatibel
Injektion Bivalirudin 5 mg/ml
Injektion Hydrocortisone sodium succinate 1 mg/ml
5 % Glukose 1713
Kompatibel
Injektion Bivalirudin 5 mg/ml
Injektion Hydromorphone hydrochloride 0.5 mg/ml
5 % Glukose 1713
Kompatibel
Injektion Bivalirudin 5 mg/ml
Injektion Isoprenaline hydrochloride 0.02 mg/ml
5 % Glukose 1713
Uspecificeret inkompatibilitet Uforenelig
Injektion Bivalirudin
Injektion Labetalol hydrochloride 5 mg/ml
3539
Kompatibel
Injektion Bivalirudin 5 mg/ml
Injektion Labetalol hydrochloride 2 mg/ml
5 % Glukose 1713
Kompatibel
Injektion Bivalirudin
Injektion Labetalol hydrochloride 2 mg/ml
3539
Kompatibel
Injektion Bivalirudin 5 mg/ml
Injektion Levofloxacine 5 mg/ml
5 % Glukose 1713
Kompatibel
Injektion Bivalirudin 5 mg/ml
Injektion Lidocaine hydrochloride 10 mg/ml
5 % Glukose 1713
Uspecificeret inkompatibilitet Uforenelig
Injektion Bivalirudin
Injektion Lorazepam 2 mg/ml
3539
Kompatibel
Injektion Bivalirudin
Injektion Lorazepam 0.5 mg/ml
3539
Kompatibel
Injektion Bivalirudin 5 mg/ml
Injektion Lorazepam 0.5 mg/ml
5 % Glukose 1713
Kompatibel
Injektion Bivalirudin 5 mg/ml
Injektion Magnesium sulfate 100 mg/ml
5 % Glukose 1713
Kompatibel
Injektion Bivalirudin 5 mg/ml
Injektion Mannitol 150 mg/ml
5 % Glukose 1713
Kompatibel
Injektion Bivalirudin 5 mg/ml
Injektion Methylprednisolone sodium succinate 5 mg/ml
5 % Glukose 1713
Kompatibel
Injektion Bivalirudin 5 mg/ml
Injektion Metoclopramide hydrochloride 5 mg/ml
5 % Glukose 1713
Kompatibel
Injektion Bivalirudin 5 mg/ml
Injektion Metoprolol tartrate 1 mg/ml
0,9 % Natriumklorid 1944
Kompatibel
Injektion Bivalirudin 5 mg/ml
Injektion Metoprolol tartrate 1 mg/ml
5 % Glukose 1944
Kompatibel
Injektion Bivalirudin 5 mg/ml
Injektion Metronidazole 5 mg/ml
5 % Glukose 1713
Kompatibel
Injektion Bivalirudin 5 mg/ml
Injektion Midazolam hydrochloride 2 mg/ml
5 % Glukose 1944
Kompatibel
Injektion Bivalirudin 5 mg/ml
Injektion Midazolam hydrochloride 1 mg/ml
5 % Glukose 1713
Kompatibel
Injektion Bivalirudin 5 mg/ml
Injektion Midazolam hydrochloride 2 mg/ml
0,9 % Natriumklorid 1944
Kompatibel
Injektion Bivalirudin 5 mg/ml
Injektion Milrinone lactate 0.2 mg/ml
5 % Glukose 1713
Kompatibel
Injektion Bivalirudin 5 mg/ml
Injektion Morphine sulfate 10 mg/ml
0,9 % Natriumklorid 1944
Kompatibel
Injektion Bivalirudin 5 mg/ml
Injektion Morphine sulfate 10 mg/ml
5 % Glukose 1944
Kompatibel
Injektion Bivalirudin 5 mg/ml
Injektion Morphine sulfate 1 mg/ml
5 % Glukose 1713
Kompatibel
Injektion Bivalirudin 5 mg/ml
Injektion Nalbuphine hydrochloride 10 mg/ml
5 % Glukose 1713
Kompatibel
Injektion Bivalirudin 5 mg/ml
Injektion Nitroprusside sodium 2 mg/ml
5 % Glukose 1713
Kompatibel
Injektion Bivalirudin
0,9 % Natriumklorid 3539
Kompatibel
Injektion Bivalirudin 5 mg/ml
Injektion Nitroglycerin 0.4 mg/ml
5 % Glukose 1713
Kompatibel
Injektion Bivalirudin 5 mg/ml
Injektion Norepinephrine bitartrate 0.12 mg/ml
5 % Glukose 1713
Kompatibel
Injektion Bivalirudin 5 mg/ml
Injektion Ofloxacin 4 mg/ml
5 % Glukose 1713
Kompatibel
Injektion Bivalirudin 5 mg/ml
Injektion Pethidine hydrochloride 10 mg/ml
5 % Glukose 1713
Kompatibel
Injektion Bivalirudin 5 mg/ml
Injektion Phenylephrine hydrochloride 10 mg/ml
5 % Glukose 1944
Kompatibel
Injektion Bivalirudin 5 mg/ml
Injektion Phenylephrine hydrochloride 1 mg/ml
5 % Glukose 1713
Kompatibel
Injektion Bivalirudin 5 mg/ml
Injektion Phenylephrine hydrochloride 10 mg/ml
0,9 % Natriumklorid 1944
Kompatibel
Injektion Bivalirudin 5 mg/ml
Injektion Piperacillin sodium 40 mg/ml
5 % Glukose 1713
Kompatibel
Injektion Bivalirudin 5 mg/ml
Injektion Piperacillin sodium / tazobactam 40/5 mg/ml
5 % Glukose 1713
Kompatibel
Injektion Bivalirudin 5 mg/ml
Injektion Potassium chloride 100 mEq/l
5 % Glukose 1713
Kompatibel
Injektion Bivalirudin 5 mg/ml
Injektion Procainamide hydrochloride 10 mg/ml
5 % Glukose 1713
Umiddelbar nedbør Uforenelig
Injektion Bivalirudin
Injektion Prochlorperazine edysilate 25 mg/ml
3539
Umiddelbar nedbør Uforenelig
Injektion Bivalirudin 5 mg/ml
Injektion Prochlorperazine edysilate 0.5 mg/ml
5 % Glukose 1713
Kompatibel
Injektion Bivalirudin
Injektion Promethazine hydrochloride 2 mg/ml
3539
Uspecificeret inkompatibilitet Uforenelig
Injektion Bivalirudin
Injektion Promethazine hydrochloride 25 mg/ml
3539
Kompatibel
Injektion Bivalirudin 5 mg/ml
Injektion Promethazine hydrochloride 2 mg/ml
5 % Glukose 1713
Kompatibel
Injektion Bivalirudin 5 mg/ml
Injektion Ranitidine hydrochloride 2 mg/ml
5 % Glukose 1713
Umiddelbar nedbør Uforenelig
Injektion Bivalirudin 5 mg/ml
Injektion Reteplase 1 UI/ml
5 % Glukose 1713
Umiddelbar nedbør Uforenelig
Injektion Bivalirudin
Injektion Reteplase
3539
Kompatibel
Injektion Bivalirudin 5 mg/ml
Injektion Sodium bicarbonate 84 mg/ml
5 % Glukose 1713
Umiddelbar nedbør Uforenelig
Injektion Bivalirudin 5 mg/ml
Injektion Streptokinase 30000 UI/ml
5 % Glukose 1713
Umiddelbar nedbør Uforenelig
Injektion Bivalirudin
Injektion Streptokinase
3539
Kompatibel
Injektion Bivalirudin 5 mg/ml
Injektion Sufentanil citrate 0.05 mg/ml
5 % Glukose 1713
Kompatibel
Injektion Bivalirudin 5 mg/ml
Injektion Theophylline 4 mg/ml
5 % Glukose 1713
Kompatibel
Injektion Bivalirudin 5 mg/ml
Injektion Thiopental sodium 25 mg/ml
5 % Glukose 1713
Kompatibel
Injektion Bivalirudin 5 mg/ml
Injektion Ticarcillin / clavulanic acid 31 mg/ml
5 % Glukose 1713
Kompatibel
Injektion Bivalirudin 5 mg/ml
Injektion Tirofiban 50 µg/ml
5 % Glukose 1713
Kompatibel
Injektion Bivalirudin 5 mg/ml
Injektion Tobramycin sulfate 5 mg/ml
5 % Glukose 1713
Umiddelbar nedbør Uforenelig
Injektion Bivalirudin 5 mg/ml
Injektion Vancomycin hydrochloride 10 mg/ml
5 % Glukose 1713
Umiddelbar nedbør Uforenelig
Injektion Bivalirudin
Injektion Vancomycin hydrochloride
3539
Kompatibel
Injektion Bivalirudin 5 mg/ml
Injektion Verapamil hydrochloride 2,5 mg/ml
0,9 % Natriumklorid 1944
Kompatibel
Injektion Bivalirudin 5 mg/ml
Injektion Verapamil hydrochloride 2,5 mg/ml
5 % Glukose 1944
Kompatibel
Injektion Bivalirudin 5 mg/ml
Injektion Verapamil hydrochloride 1.25 mg/ml
5 % Glukose 1713
Kompatibel
Injektion Bivalirudin 5 mg/ml
Injektion Warfarin sodium 2 mg/ml
5 % Glukose 1713

  Mentions Légales