Останнє оновлення :
31/03/2026
Антикоагулянти   Bivalirudin  
ін'єкція
Стійкість в розчинах Стійкість сумішей Фактори, що впливають на стабільність Сумісність Шлях введення Список літератури pdf
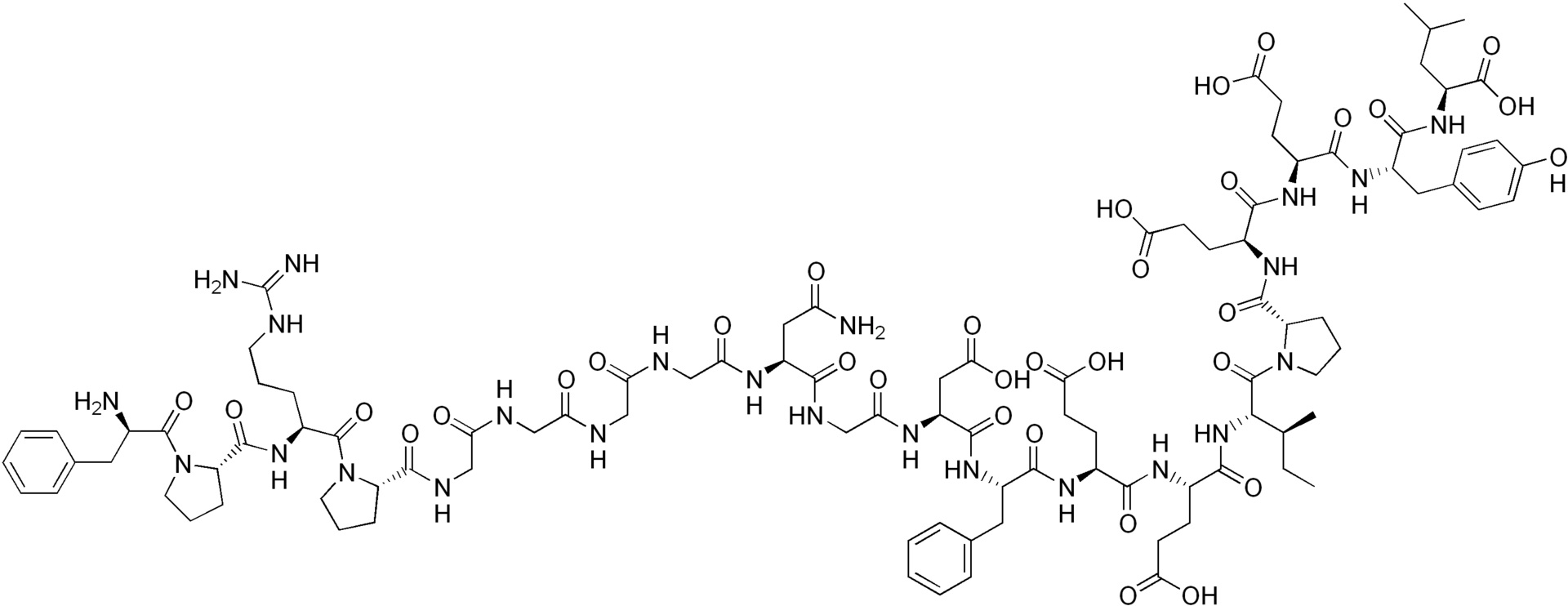
   Хімічна структура  

Торгова назва   Торгова назва     

Торгові назви є орієнтовними, а склад допоміжних речовин може бути різним залежно від країни та виробника

Amuprux Аргентина
Angiomax Австралія, Венесуела, Канада, Нова Зеландія, Перу, Сполучені Штати Америки, Чилі
Angiox Ісландія, Іспанія, Італія, Австрія, Великобританія, Греція, Данія, Нідерланди, Норвегія, Польща, Румунія, Словенія, Сполучені Штати Америки, Угорщина, Фінляндія
Bivalirudin Бельгія, Великобританія, Данія, Німеччина, Словенія, Фінляндія, Швеція
Bivalirudina Іспанія, Італія
Сумісність   ін'єкція   Сумісність : Bivalirudin              
explication_incompatibilite_molecules
З'єднання Розчинник Список літератури
сумісний
ін'єкція Bivalirudin 5 mg/ml
ін'єкція Alfentanil hydrochloride 125 µg/ml
Глюкоза 5% 1713
Миттєві опади Несумісні
ін'єкція Bivalirudin 5 mg/ml
ін'єкція Alteplase 1 mg/ml
Глюкоза 5% 1713
Миттєві опади Несумісні
ін'єкція Bivalirudin
ін'єкція Alteplase
3539
сумісний
ін'єкція Bivalirudin 5 mg/ml
ін'єкція Amikacin sulfate 5 mg/ml
Глюкоза 5% 1713
сумісний
ін'єкція Bivalirudin 5 mg/ml
ін'єкція Aminophylline 2.5 mg/ml
Глюкоза 5% 1713
Миттєві опади Несумісні
ін'єкція Bivalirudin
ін'єкція Amiodarone hydrochloride
3539
Негайне помутніння Несумісні
ін'єкція Bivalirudin 5 mg/ml
ін'єкція Amiodarone hydrochloride 4 mg/ml
Глюкоза 5% 1713
Миттєві опади Несумісні
ін'єкція Bivalirudin
ін'єкція Amphotericin B
3539
Миттєві опади Несумісні
ін'єкція Bivalirudin 5 mg/ml
ін'єкція Amphotericin B 0.6 mg/ml
Глюкоза 5% 1713
сумісний
ін'єкція Bivalirudin 5 mg/ml
ін'єкція Ampicillin sodium 20 mg/ml
Глюкоза 5% 1713
сумісний
ін'єкція Bivalirudin 5 mg/ml
ін'єкція Ampicillin sodium - sulbactam sodium 20/10 mg/ml
Глюкоза 5% 1713
сумісний
ін'єкція Bivalirudin 5 mg/ml
ін'єкція Atropine sulfate 0,4 mg/ml
Глюкоза 5% 1944
сумісний
ін'єкція Bivalirudin 5 mg/ml
ін'єкція Atropine sulfate 0,4 mg/ml
Натрію хлорид 0,9% 1944
сумісний
ін'єкція Bivalirudin 5 mg/ml
ін'єкція Azithromycine 2 mg/ml
Глюкоза 5% 1713
сумісний
ін'єкція Bivalirudin 5 mg/ml
ін'єкція Aztreonam 40 mg/ml
Глюкоза 5% 1713
сумісний
ін'єкція Bivalirudin 5 mg/ml
ін'єкція Bretylium tosilate 50 mg/ml
Глюкоза 5% 1713
сумісний
ін'єкція Bivalirudin 5 mg/ml
ін'єкція Bumetanide 0.04 mg/ml
Глюкоза 5% 1713
сумісний
ін'єкція Bivalirudin 5 mg/ml
ін'єкція Butorphanol tartrate 0.04 mg/ml
Глюкоза 5% 1713
сумісний
ін'єкція Bivalirudin 5 mg/ml
ін'єкція Calcium gluconate 40 mg/ml
Глюкоза 5% 1713
сумісний
ін'єкція Bivalirudin 5 mg/ml
ін'єкція Cefazolin sodium 20 mg/ml
Глюкоза 5% 1713
сумісний
ін'єкція Bivalirudin 5 mg/ml
ін'єкція Cefepime dihydrochloride 20 mg/ml
Глюкоза 5% 1713
сумісний
ін'єкція Bivalirudin 5 mg/ml
ін'єкція Cefoperazone sodium 40 mg/ml
Глюкоза 5% 1713
сумісний
ін'єкція Bivalirudin 5 mg/ml
ін'єкція Cefotaxime sodium 20 mg/ml
Глюкоза 5% 1713
сумісний
ін'єкція Bivalirudin 5 mg/ml
ін'єкція Ceftazidime 40 mg/ml
Глюкоза 5% 1713
Миттєві опади Несумісні
ін'єкція Bivalirudin
ін'єкція Chlorpromazine hydrochloride
3539
сумісний
ін'єкція Bivalirudin
Глюкоза 5% 3539
сумісний
ін'єкція Bivalirudin 5 mg/ml
ін'єкція Cefoxitin sodium 20 mg/ml
Глюкоза 5% 1713
сумісний
ін'єкція Bivalirudin 5 mg/ml
ін'єкція Ceftizoxime sodium 20 mg/ml
Глюкоза 5% 1713
сумісний
ін'єкція Bivalirudin 5 mg/ml
ін'єкція Ceftriaxone disodium 20 mg/ml
Глюкоза 5% 1713
сумісний
ін'єкція Bivalirudin 5 mg/ml
ін'єкція Cefuroxime sodium 30 mg/ml
Глюкоза 5% 1713
Миттєві опади Несумісні
ін'єкція Bivalirudin 5 mg/ml
ін'єкція Chlorpromazine hydrochloride 2 mg/ml
Глюкоза 5% 1713
сумісний
ін'єкція Bivalirudin 5 mg/ml
ін'єкція Cimetidine hydrochloride 12 mg/ml
Глюкоза 5% 1713
сумісний
ін'єкція Bivalirudin 5 mg/ml
ін'єкція Ciprofloxacin lactate 2 mg/ml
Глюкоза 5% 1713
сумісний
ін'єкція Bivalirudin 5 mg/ml
ін'єкція Clindamycin phosphate 10 mg/ml
Глюкоза 5% 1713
сумісний
ін'єкція Bivalirudin 5 mg/ml
ін'єкція Co-trimoxazole 4/0.8 mg/ml
Глюкоза 5% 1713
сумісний
ін'єкція Bivalirudin 5 mg/ml
ін'єкція Dexamethasone sodium phosphate 1 mg/ml
Глюкоза 5% 1713
Миттєві опади Несумісні
ін'єкція Bivalirudin 5 mg/ml
ін'єкція Diazepam 5 mg/ml
Глюкоза 5% 1713
Миттєві опади Несумісні
ін'єкція Bivalirudin
ін'єкція Diazepam
3539
сумісний
ін'єкція Bivalirudin 5 mg/ml
ін'єкція Digoxin 250 µg/ml
Глюкоза 5% 1713
сумісний
ін'єкція Bivalirudin 5 mg/ml
ін'єкція Diltiazem hydrochloride 5 mg/ml
Натрію хлорид 0,9% 1944
сумісний
ін'єкція Bivalirudin 5 mg/ml
ін'єкція Diltiazem hydrochloride 5 mg/ml
Глюкоза 5% 1713
сумісний
ін'єкція Bivalirudin 5 mg/ml
ін'єкція Diltiazem hydrochloride 5 mg/ml
Глюкоза 5% 1944
сумісний
ін'єкція Bivalirudin 5 mg/ml
ін'єкція Diphenhydramine hydrochloride 2 mg/ml
Глюкоза 5% 1713
сумісний
ін'єкція Bivalirudin 5 mg/ml
ін'єкція Dobutamine hydrochloride 4 mg/ml
Глюкоза 5% 1713
сумісний
ін'єкція Bivalirudin
ін'єкція Dobutamine hydrochloride 4 mg/ml
3539
Миттєві опади Несумісні
ін'єкція Bivalirudin 5 mg/ml
ін'єкція Dobutamine hydrochloride 12,5 mg/ml
Глюкоза 5% 1944
Неуточнена несумісність Несумісні
ін'єкція Bivalirudin
ін'єкція Dobutamine hydrochloride 12.5 mg/ml
3539
Миттєві опади Несумісні
ін'єкція Bivalirudin 5 mg/ml
ін'єкція Dobutamine hydrochloride 12,5 mg/ml
Натрію хлорид 0,9% 1944
сумісний
ін'єкція Bivalirudin 5 mg/ml
ін'єкція Dopamine hydrochloride 80 mg/ml
Натрію хлорид 0,9% 1944
сумісний
ін'єкція Bivalirudin 5 mg/ml
ін'єкція Dopamine hydrochloride 80 mg/ml
Глюкоза 5% 1944
сумісний
ін'єкція Bivalirudin 5 mg/ml
ін'єкція Dopamine hydrochloride 3.2 mg/ml
Глюкоза 5% 1713
сумісний
ін'єкція Bivalirudin 5 mg/ml
ін'єкція Doxycycline hyclate 1 mg/ml
Глюкоза 5% 1713
сумісний
ін'єкція Bivalirudin 5 mg/ml
ін'єкція Droperidol 2.5 mg/ml
Глюкоза 5% 1713
сумісний
ін'єкція Bivalirudin 5 mg/ml
ін'єкція Enalaprilate 0.1 mg/ml
Глюкоза 5% 1713
сумісний
ін'єкція Bivalirudin 5 mg/ml
ін'єкція Ephedrine hydrochloride 5 mg/ml
Глюкоза 5% 1713
сумісний
ін'єкція Bivalirudin 5 mg/ml
ін'єкція Epinephrine hydrochloride 50 µg/ml
Глюкоза 5% 1713
сумісний
ін'єкція Bivalirudin 5 mg/ml
ін'єкція Eptifibatide 2 mg/ml
Глюкоза 5% 1713
сумісний
ін'єкція Bivalirudin 5 mg/ml
ін'єкція Erythromycin lactobionate 5 mg/ml
Глюкоза 5% 1713
сумісний
ін'єкція Bivalirudin 5 mg/ml
ін'єкція Esmolol hydrochloride 10 mg/ml
Глюкоза 5% 1713
сумісний
ін'єкція Bivalirudin
ін'єкція Famotidine 2 mg/ml
3539
Неуточнена несумісність Несумісні
ін'єкція Bivalirudin
ін'єкція Famotidine 10 mg/ml
3539
сумісний
ін'єкція Bivalirudin 5 mg/ml
ін'єкція Famotidine 2 mg/ml
Глюкоза 5% 1713
сумісний
ін'єкція Bivalirudin 5 mg/ml
ін'єкція Fentanyl citrate 50 µg/ml
Натрію хлорид 0,9% 1944
сумісний
ін'єкція Bivalirudin 5 mg/ml
ін'єкція Fentanyl citrate 50 µg/ml
Глюкоза 5% 1944
сумісний
ін'єкція Bivalirudin 5 mg/ml
ін'єкція Fentanyl citrate 50 µg/ml
Глюкоза 5% 1713
сумісний
ін'єкція Bivalirudin 5 mg/ml
ін'єкція Fluconazole 2 mg/ml
Глюкоза 5% 1713
сумісний
ін'єкція Bivalirudin 5 mg/ml
ін'єкція Furosemide 3 mg/ml
Глюкоза 5% 1713
сумісний
ін'єкція Bivalirudin 5 mg/ml
ін'єкція Gentamicin sulfate 5 mg/ml
Глюкоза 5% 1713
сумісний
ін'єкція Bivalirudin
ін'єкція Haloperidol lactate 0.2 mg/ml
3539
сумісний
ін'єкція Bivalirudin 5 mg/ml
ін'єкція Haloperidol lactate 0.2 mg/ml
Глюкоза 5% 1713
Неуточнена несумісність Несумісні
ін'єкція Bivalirudin
ін'єкція Haloperidol lactate 5 mg/ml
3539
сумісний
ін'єкція Bivalirudin 5 mg/ml
ін'єкція Heparin sodium 100 UI/ml
Глюкоза 5% 1713
сумісний
ін'єкція Bivalirudin 5 mg/ml
ін'єкція Hydrocortisone sodium succinate 50 mg/ml
Натрію хлорид 0,9% 1944
сумісний
ін'єкція Bivalirudin 5 mg/ml
ін'єкція Hydrocortisone sodium succinate 50 mg/ml
Глюкоза 5% 1944
сумісний
ін'єкція Bivalirudin 5 mg/ml
ін'єкція Hydrocortisone sodium succinate 1 mg/ml
Глюкоза 5% 1713
сумісний
ін'єкція Bivalirudin 5 mg/ml
ін'єкція Hydromorphone hydrochloride 0.5 mg/ml
Глюкоза 5% 1713
сумісний
ін'єкція Bivalirudin 5 mg/ml
ін'єкція Isoprenaline hydrochloride 0.02 mg/ml
Глюкоза 5% 1713
Неуточнена несумісність Несумісні
ін'єкція Bivalirudin
ін'єкція Labetalol hydrochloride 5 mg/ml
3539
сумісний
ін'єкція Bivalirudin 5 mg/ml
ін'єкція Labetalol hydrochloride 2 mg/ml
Глюкоза 5% 1713
сумісний
ін'єкція Bivalirudin
ін'єкція Labetalol hydrochloride 2 mg/ml
3539
сумісний
ін'єкція Bivalirudin 5 mg/ml
ін'єкція Levofloxacine 5 mg/ml
Глюкоза 5% 1713
сумісний
ін'єкція Bivalirudin 5 mg/ml
ін'єкція Lidocaine hydrochloride 10 mg/ml
Глюкоза 5% 1713
Неуточнена несумісність Несумісні
ін'єкція Bivalirudin
ін'єкція Lorazepam 2 mg/ml
3539
сумісний
ін'єкція Bivalirudin
ін'єкція Lorazepam 0.5 mg/ml
3539
сумісний
ін'єкція Bivalirudin 5 mg/ml
ін'єкція Lorazepam 0.5 mg/ml
Глюкоза 5% 1713
сумісний
ін'єкція Bivalirudin 5 mg/ml
ін'єкція Magnesium sulfate 100 mg/ml
Глюкоза 5% 1713
сумісний
ін'єкція Bivalirudin 5 mg/ml
ін'єкція Mannitol 150 mg/ml
Глюкоза 5% 1713
сумісний
ін'єкція Bivalirudin 5 mg/ml
ін'єкція Methylprednisolone sodium succinate 5 mg/ml
Глюкоза 5% 1713
сумісний
ін'єкція Bivalirudin 5 mg/ml
ін'єкція Metoclopramide hydrochloride 5 mg/ml
Глюкоза 5% 1713
сумісний
ін'єкція Bivalirudin 5 mg/ml
ін'єкція Metoprolol tartrate 1 mg/ml
Натрію хлорид 0,9% 1944
сумісний
ін'єкція Bivalirudin 5 mg/ml
ін'єкція Metoprolol tartrate 1 mg/ml
Глюкоза 5% 1944
сумісний
ін'єкція Bivalirudin 5 mg/ml
ін'єкція Metronidazole 5 mg/ml
Глюкоза 5% 1713
сумісний
ін'єкція Bivalirudin 5 mg/ml
ін'єкція Midazolam hydrochloride 2 mg/ml
Глюкоза 5% 1944
сумісний
ін'єкція Bivalirudin 5 mg/ml
ін'єкція Midazolam hydrochloride 1 mg/ml
Глюкоза 5% 1713
сумісний
ін'єкція Bivalirudin 5 mg/ml
ін'єкція Midazolam hydrochloride 2 mg/ml
Натрію хлорид 0,9% 1944
сумісний
ін'єкція Bivalirudin 5 mg/ml
ін'єкція Milrinone lactate 0.2 mg/ml
Глюкоза 5% 1713
сумісний
ін'єкція Bivalirudin 5 mg/ml
ін'єкція Morphine sulfate 10 mg/ml
Натрію хлорид 0,9% 1944
сумісний
ін'єкція Bivalirudin 5 mg/ml
ін'єкція Morphine sulfate 10 mg/ml
Глюкоза 5% 1944
сумісний
ін'єкція Bivalirudin 5 mg/ml
ін'єкція Morphine sulfate 1 mg/ml
Глюкоза 5% 1713
сумісний
ін'єкція Bivalirudin 5 mg/ml
ін'єкція Nalbuphine hydrochloride 10 mg/ml
Глюкоза 5% 1713
сумісний
ін'єкція Bivalirudin 5 mg/ml
ін'єкція Nitroprusside sodium 2 mg/ml
Глюкоза 5% 1713
сумісний
ін'єкція Bivalirudin
Натрію хлорид 0,9% 3539
сумісний
ін'єкція Bivalirudin 5 mg/ml
ін'єкція Nitroglycerin 0.4 mg/ml
Глюкоза 5% 1713
сумісний
ін'єкція Bivalirudin 5 mg/ml
ін'єкція Norepinephrine bitartrate 0.12 mg/ml
Глюкоза 5% 1713
сумісний
ін'єкція Bivalirudin 5 mg/ml
ін'єкція Ofloxacin 4 mg/ml
Глюкоза 5% 1713
сумісний
ін'єкція Bivalirudin 5 mg/ml
ін'єкція Pethidine hydrochloride 10 mg/ml
Глюкоза 5% 1713
сумісний
ін'єкція Bivalirudin 5 mg/ml
ін'єкція Phenylephrine hydrochloride 10 mg/ml
Глюкоза 5% 1944
сумісний
ін'єкція Bivalirudin 5 mg/ml
ін'єкція Phenylephrine hydrochloride 1 mg/ml
Глюкоза 5% 1713
сумісний
ін'єкція Bivalirudin 5 mg/ml
ін'єкція Phenylephrine hydrochloride 10 mg/ml
Натрію хлорид 0,9% 1944
сумісний
ін'єкція Bivalirudin 5 mg/ml
ін'єкція Piperacillin sodium 40 mg/ml
Глюкоза 5% 1713
сумісний
ін'єкція Bivalirudin 5 mg/ml
ін'єкція Piperacillin sodium / tazobactam 40/5 mg/ml
Глюкоза 5% 1713
сумісний
ін'єкція Bivalirudin 5 mg/ml
ін'єкція Potassium chloride 100 mEq/l
Глюкоза 5% 1713
сумісний
ін'єкція Bivalirudin 5 mg/ml
ін'єкція Procainamide hydrochloride 10 mg/ml
Глюкоза 5% 1713
Миттєві опади Несумісні
ін'єкція Bivalirudin
ін'єкція Prochlorperazine edysilate 25 mg/ml
3539
Миттєві опади Несумісні
ін'єкція Bivalirudin 5 mg/ml
ін'єкція Prochlorperazine edysilate 0.5 mg/ml
Глюкоза 5% 1713
сумісний
ін'єкція Bivalirudin
ін'єкція Promethazine hydrochloride 2 mg/ml
3539
Неуточнена несумісність Несумісні
ін'єкція Bivalirudin
ін'єкція Promethazine hydrochloride 25 mg/ml
3539
сумісний
ін'єкція Bivalirudin 5 mg/ml
ін'єкція Promethazine hydrochloride 2 mg/ml
Глюкоза 5% 1713
сумісний
ін'єкція Bivalirudin 5 mg/ml
ін'єкція Ranitidine hydrochloride 2 mg/ml
Глюкоза 5% 1713
Миттєві опади Несумісні
ін'єкція Bivalirudin 5 mg/ml
ін'єкція Reteplase 1 UI/ml
Глюкоза 5% 1713
Миттєві опади Несумісні
ін'єкція Bivalirudin
ін'єкція Reteplase
3539
сумісний
ін'єкція Bivalirudin 5 mg/ml
ін'єкція Sodium bicarbonate 84 mg/ml
Глюкоза 5% 1713
Миттєві опади Несумісні
ін'єкція Bivalirudin 5 mg/ml
ін'єкція Streptokinase 30000 UI/ml
Глюкоза 5% 1713
Миттєві опади Несумісні
ін'єкція Bivalirudin
ін'єкція Streptokinase
3539
сумісний
ін'єкція Bivalirudin 5 mg/ml
ін'єкція Sufentanil citrate 0.05 mg/ml
Глюкоза 5% 1713
сумісний
ін'єкція Bivalirudin 5 mg/ml
ін'єкція Theophylline 4 mg/ml
Глюкоза 5% 1713
сумісний
ін'єкція Bivalirudin 5 mg/ml
ін'єкція Thiopental sodium 25 mg/ml
Глюкоза 5% 1713
сумісний
ін'єкція Bivalirudin 5 mg/ml
ін'єкція Ticarcillin / clavulanic acid 31 mg/ml
Глюкоза 5% 1713
сумісний
ін'єкція Bivalirudin 5 mg/ml
ін'єкція Tirofiban 50 µg/ml
Глюкоза 5% 1713
сумісний
ін'єкція Bivalirudin 5 mg/ml
ін'єкція Tobramycin sulfate 5 mg/ml
Глюкоза 5% 1713
Миттєві опади Несумісні
ін'єкція Bivalirudin 5 mg/ml
ін'єкція Vancomycin hydrochloride 10 mg/ml
Глюкоза 5% 1713
Миттєві опади Несумісні
ін'єкція Bivalirudin
ін'єкція Vancomycin hydrochloride
3539
сумісний
ін'єкція Bivalirudin 5 mg/ml
ін'єкція Verapamil hydrochloride 2,5 mg/ml
Натрію хлорид 0,9% 1944
сумісний
ін'єкція Bivalirudin 5 mg/ml
ін'єкція Verapamil hydrochloride 2,5 mg/ml
Глюкоза 5% 1944
сумісний
ін'єкція Bivalirudin 5 mg/ml
ін'єкція Verapamil hydrochloride 1.25 mg/ml
Глюкоза 5% 1713
сумісний
ін'єкція Bivalirudin 5 mg/ml
ін'єкція Warfarin sodium 2 mg/ml
Глюкоза 5% 1713

  Mentions Légales