Viimeisin päivitys :
25/03/2026
Antikoagulantit   Bivalirudin  
Injektioneste
Stabilius liuoksessa Stabilius seoksissa Tekijät, jotka vaikuttavat stabiliuteen Yhteensopivuus Antotapa Viitteet pdf
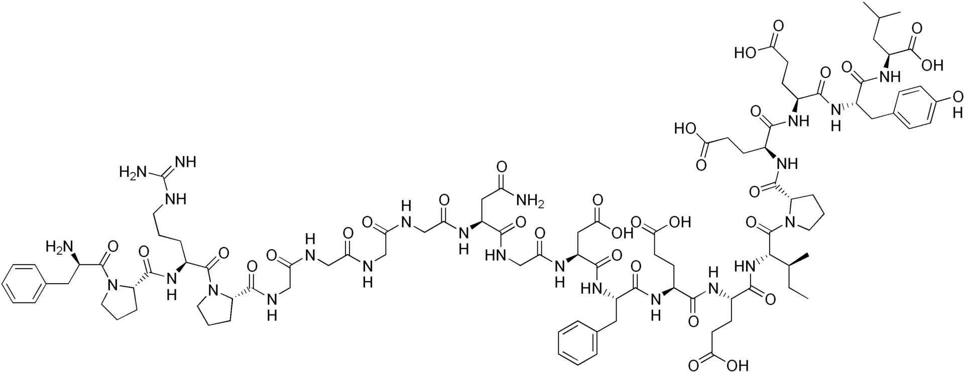
   Kemiallinen rakenne  

Kauppanimi   Kauppanimi     

Trade names are indicative and excipients composition can be different depending on the country and manufacturers

Amuprux Argentiina
Angiomax Australia, Chile, Kanada, Marokko, New Zealand, Venezuela, Yhdysvallat
Angiox Espanja, Hollanti, Islanti, Iso-Britannia, Italia, Itävalta, Kreikka, Norja, Puola, Romania, Slovenia, Suomi, Tanska, Unkari, Yhdysvallat
Bivalirudin Belgia, Iso-Britannia, Ruotsi, Saksa, Slovenia, Suomi, Tanska
Bivalirudina Espanja, Italia
Yhteensopivuus   Injektioneste   Yhteensopivuus : Bivalirudin              
Tämä näyttö osoittaa yhteensopivuuden tai yhteensopimattomuuden yhteensopimattomuuden tyypin kanssa (saostuminen, värinmuutos, emulsiomuutos jne.). Tässä esitetty yhteensopivuus on useimmissa tapauksissa vain fysikaalinen, ja kunkin molekyylin kemiallista stabiilisuutta arvioidaan harvoin. Näiden seosten arviointia tutkittiin mahdollisuuden antaa Y-kohta potilaalle. Näitä tietoja ei voida käyttää seosten valmistamiseen etukäteen pusseissa tai ruiskuissa. Tämäntyyppiset tiedot ovat saatavilla "Stabiilisuus seoksessa" -näytössä.
Yhdiste Liuotin Viitteet
Yhteensopiva
Injektioneste Bivalirudin 5 mg/ml
Injektioneste Alfentanil hydrochloride 125 µg/ml
Glukoosi 5% 1713
Välittömät sateet yhteensopimaton
Injektioneste Bivalirudin 5 mg/ml
Injektioneste Alteplase 1 mg/ml
Glukoosi 5% 1713
Välittömät sateet yhteensopimaton
Injektioneste Bivalirudin
Injektioneste Alteplase
3539
Yhteensopiva
Injektioneste Bivalirudin 5 mg/ml
Injektioneste Amikacin sulfate 5 mg/ml
Glukoosi 5% 1713
Yhteensopiva
Injektioneste Bivalirudin 5 mg/ml
Injektioneste Aminophylline 2.5 mg/ml
Glukoosi 5% 1713
Välittömät sateet yhteensopimaton
Injektioneste Bivalirudin
Injektioneste Amiodarone hydrochloride
3539
Välitön sameus yhteensopimaton
Injektioneste Bivalirudin 5 mg/ml
Injektioneste Amiodarone hydrochloride 4 mg/ml
Glukoosi 5% 1713
Välittömät sateet yhteensopimaton
Injektioneste Bivalirudin
Injektioneste Amphotericin B
3539
Välittömät sateet yhteensopimaton
Injektioneste Bivalirudin 5 mg/ml
Injektioneste Amphotericin B 0.6 mg/ml
Glukoosi 5% 1713
Yhteensopiva
Injektioneste Bivalirudin 5 mg/ml
Injektioneste Ampicillin sodium 20 mg/ml
Glukoosi 5% 1713
Yhteensopiva
Injektioneste Bivalirudin 5 mg/ml
Injektioneste Ampicillin sodium - sulbactam sodium 20/10 mg/ml
Glukoosi 5% 1713
Yhteensopiva
Injektioneste Bivalirudin 5 mg/ml
Injektioneste Atropine sulfate 0,4 mg/ml
Glukoosi 5% 1944
Yhteensopiva
Injektioneste Bivalirudin 5 mg/ml
Injektioneste Atropine sulfate 0,4 mg/ml
Natriumkloridi 0,9% 1944
Yhteensopiva
Injektioneste Bivalirudin 5 mg/ml
Injektioneste Azithromycine 2 mg/ml
Glukoosi 5% 1713
Yhteensopiva
Injektioneste Bivalirudin 5 mg/ml
Injektioneste Aztreonam 40 mg/ml
Glukoosi 5% 1713
Yhteensopiva
Injektioneste Bivalirudin 5 mg/ml
Injektioneste Bretylium tosilate 50 mg/ml
Glukoosi 5% 1713
Yhteensopiva
Injektioneste Bivalirudin 5 mg/ml
Injektioneste Bumetanide 0.04 mg/ml
Glukoosi 5% 1713
Yhteensopiva
Injektioneste Bivalirudin 5 mg/ml
Injektioneste Butorphanol tartrate 0.04 mg/ml
Glukoosi 5% 1713
Yhteensopiva
Injektioneste Bivalirudin 5 mg/ml
Injektioneste Calcium gluconate 40 mg/ml
Glukoosi 5% 1713
Yhteensopiva
Injektioneste Bivalirudin 5 mg/ml
Injektioneste Cefazolin sodium 20 mg/ml
Glukoosi 5% 1713
Yhteensopiva
Injektioneste Bivalirudin 5 mg/ml
Injektioneste Cefepime dihydrochloride 20 mg/ml
Glukoosi 5% 1713
Yhteensopiva
Injektioneste Bivalirudin 5 mg/ml
Injektioneste Cefoperazone sodium 40 mg/ml
Glukoosi 5% 1713
Yhteensopiva
Injektioneste Bivalirudin 5 mg/ml
Injektioneste Cefotaxime sodium 20 mg/ml
Glukoosi 5% 1713
Yhteensopiva
Injektioneste Bivalirudin 5 mg/ml
Injektioneste Ceftazidime 40 mg/ml
Glukoosi 5% 1713
Välittömät sateet yhteensopimaton
Injektioneste Bivalirudin
Injektioneste Chlorpromazine hydrochloride
3539
Yhteensopiva
Injektioneste Bivalirudin
Glukoosi 5% 3539
Yhteensopiva
Injektioneste Bivalirudin 5 mg/ml
Injektioneste Cefoxitin sodium 20 mg/ml
Glukoosi 5% 1713
Yhteensopiva
Injektioneste Bivalirudin 5 mg/ml
Injektioneste Ceftizoxime sodium 20 mg/ml
Glukoosi 5% 1713
Yhteensopiva
Injektioneste Bivalirudin 5 mg/ml
Injektioneste Ceftriaxone disodium 20 mg/ml
Glukoosi 5% 1713
Yhteensopiva
Injektioneste Bivalirudin 5 mg/ml
Injektioneste Cefuroxime sodium 30 mg/ml
Glukoosi 5% 1713
Välittömät sateet yhteensopimaton
Injektioneste Bivalirudin 5 mg/ml
Injektioneste Chlorpromazine hydrochloride 2 mg/ml
Glukoosi 5% 1713
Yhteensopiva
Injektioneste Bivalirudin 5 mg/ml
Injektioneste Cimetidine hydrochloride 12 mg/ml
Glukoosi 5% 1713
Yhteensopiva
Injektioneste Bivalirudin 5 mg/ml
Injektioneste Ciprofloxacin lactate 2 mg/ml
Glukoosi 5% 1713
Yhteensopiva
Injektioneste Bivalirudin 5 mg/ml
Injektioneste Clindamycin phosphate 10 mg/ml
Glukoosi 5% 1713
Yhteensopiva
Injektioneste Bivalirudin 5 mg/ml
Injektioneste Co-trimoxazole 4/0.8 mg/ml
Glukoosi 5% 1713
Yhteensopiva
Injektioneste Bivalirudin 5 mg/ml
Injektioneste Dexamethasone sodium phosphate 1 mg/ml
Glukoosi 5% 1713
Välittömät sateet yhteensopimaton
Injektioneste Bivalirudin 5 mg/ml
Injektioneste Diazepam 5 mg/ml
Glukoosi 5% 1713
Välittömät sateet yhteensopimaton
Injektioneste Bivalirudin
Injektioneste Diazepam
3539
Yhteensopiva
Injektioneste Bivalirudin 5 mg/ml
Injektioneste Digoxin 250 µg/ml
Glukoosi 5% 1713
Yhteensopiva
Injektioneste Bivalirudin 5 mg/ml
Injektioneste Diltiazem hydrochloride 5 mg/ml
Natriumkloridi 0,9% 1944
Yhteensopiva
Injektioneste Bivalirudin 5 mg/ml
Injektioneste Diltiazem hydrochloride 5 mg/ml
Glukoosi 5% 1713
Yhteensopiva
Injektioneste Bivalirudin 5 mg/ml
Injektioneste Diltiazem hydrochloride 5 mg/ml
Glukoosi 5% 1944
Yhteensopiva
Injektioneste Bivalirudin 5 mg/ml
Injektioneste Diphenhydramine hydrochloride 2 mg/ml
Glukoosi 5% 1713
Yhteensopiva
Injektioneste Bivalirudin 5 mg/ml
Injektioneste Dobutamine hydrochloride 4 mg/ml
Glukoosi 5% 1713
Yhteensopiva
Injektioneste Bivalirudin
Injektioneste Dobutamine hydrochloride 4 mg/ml
3539
Välittömät sateet yhteensopimaton
Injektioneste Bivalirudin 5 mg/ml
Injektioneste Dobutamine hydrochloride 12,5 mg/ml
Glukoosi 5% 1944
Määrittelemätön yhteensopimattomuus yhteensopimaton
Injektioneste Bivalirudin
Injektioneste Dobutamine hydrochloride 12.5 mg/ml
3539
Välittömät sateet yhteensopimaton
Injektioneste Bivalirudin 5 mg/ml
Injektioneste Dobutamine hydrochloride 12,5 mg/ml
Natriumkloridi 0,9% 1944
Yhteensopiva
Injektioneste Bivalirudin 5 mg/ml
Injektioneste Dopamine hydrochloride 80 mg/ml
Natriumkloridi 0,9% 1944
Yhteensopiva
Injektioneste Bivalirudin 5 mg/ml
Injektioneste Dopamine hydrochloride 80 mg/ml
Glukoosi 5% 1944
Yhteensopiva
Injektioneste Bivalirudin 5 mg/ml
Injektioneste Dopamine hydrochloride 3.2 mg/ml
Glukoosi 5% 1713
Yhteensopiva
Injektioneste Bivalirudin 5 mg/ml
Injektioneste Doxycycline hyclate 1 mg/ml
Glukoosi 5% 1713
Yhteensopiva
Injektioneste Bivalirudin 5 mg/ml
Injektioneste Droperidol 2.5 mg/ml
Glukoosi 5% 1713
Yhteensopiva
Injektioneste Bivalirudin 5 mg/ml
Injektioneste Enalaprilate 0.1 mg/ml
Glukoosi 5% 1713
Yhteensopiva
Injektioneste Bivalirudin 5 mg/ml
Injektioneste Ephedrine hydrochloride 5 mg/ml
Glukoosi 5% 1713
Yhteensopiva
Injektioneste Bivalirudin 5 mg/ml
Injektioneste Epinephrine hydrochloride 50 µg/ml
Glukoosi 5% 1713
Yhteensopiva
Injektioneste Bivalirudin 5 mg/ml
Injektioneste Eptifibatide 2 mg/ml
Glukoosi 5% 1713
Yhteensopiva
Injektioneste Bivalirudin 5 mg/ml
Injektioneste Erythromycin lactobionate 5 mg/ml
Glukoosi 5% 1713
Yhteensopiva
Injektioneste Bivalirudin 5 mg/ml
Injektioneste Esmolol hydrochloride 10 mg/ml
Glukoosi 5% 1713
Yhteensopiva
Injektioneste Bivalirudin
Injektioneste Famotidine 2 mg/ml
3539
Määrittelemätön yhteensopimattomuus yhteensopimaton
Injektioneste Bivalirudin
Injektioneste Famotidine 10 mg/ml
3539
Yhteensopiva
Injektioneste Bivalirudin 5 mg/ml
Injektioneste Famotidine 2 mg/ml
Glukoosi 5% 1713
Yhteensopiva
Injektioneste Bivalirudin 5 mg/ml
Injektioneste Fentanyl citrate 50 µg/ml
Natriumkloridi 0,9% 1944
Yhteensopiva
Injektioneste Bivalirudin 5 mg/ml
Injektioneste Fentanyl citrate 50 µg/ml
Glukoosi 5% 1944
Yhteensopiva
Injektioneste Bivalirudin 5 mg/ml
Injektioneste Fentanyl citrate 50 µg/ml
Glukoosi 5% 1713
Yhteensopiva
Injektioneste Bivalirudin 5 mg/ml
Injektioneste Fluconazole 2 mg/ml
Glukoosi 5% 1713
Yhteensopiva
Injektioneste Bivalirudin 5 mg/ml
Injektioneste Furosemide 3 mg/ml
Glukoosi 5% 1713
Yhteensopiva
Injektioneste Bivalirudin 5 mg/ml
Injektioneste Gentamicin sulfate 5 mg/ml
Glukoosi 5% 1713
Yhteensopiva
Injektioneste Bivalirudin
Injektioneste Haloperidol lactate 0.2 mg/ml
3539
Yhteensopiva
Injektioneste Bivalirudin 5 mg/ml
Injektioneste Haloperidol lactate 0.2 mg/ml
Glukoosi 5% 1713
Määrittelemätön yhteensopimattomuus yhteensopimaton
Injektioneste Bivalirudin
Injektioneste Haloperidol lactate 5 mg/ml
3539
Yhteensopiva
Injektioneste Bivalirudin 5 mg/ml
Injektioneste Heparin sodium 100 UI/ml
Glukoosi 5% 1713
Yhteensopiva
Injektioneste Bivalirudin 5 mg/ml
Injektioneste Hydrocortisone sodium succinate 50 mg/ml
Natriumkloridi 0,9% 1944
Yhteensopiva
Injektioneste Bivalirudin 5 mg/ml
Injektioneste Hydrocortisone sodium succinate 50 mg/ml
Glukoosi 5% 1944
Yhteensopiva
Injektioneste Bivalirudin 5 mg/ml
Injektioneste Hydrocortisone sodium succinate 1 mg/ml
Glukoosi 5% 1713
Yhteensopiva
Injektioneste Bivalirudin 5 mg/ml
Injektioneste Hydromorphone hydrochloride 0.5 mg/ml
Glukoosi 5% 1713
Yhteensopiva
Injektioneste Bivalirudin 5 mg/ml
Injektioneste Isoprenaline hydrochloride 0.02 mg/ml
Glukoosi 5% 1713
Määrittelemätön yhteensopimattomuus yhteensopimaton
Injektioneste Bivalirudin
Injektioneste Labetalol hydrochloride 5 mg/ml
3539
Yhteensopiva
Injektioneste Bivalirudin 5 mg/ml
Injektioneste Labetalol hydrochloride 2 mg/ml
Glukoosi 5% 1713
Yhteensopiva
Injektioneste Bivalirudin
Injektioneste Labetalol hydrochloride 2 mg/ml
3539
Yhteensopiva
Injektioneste Bivalirudin 5 mg/ml
Injektioneste Levofloxacine 5 mg/ml
Glukoosi 5% 1713
Yhteensopiva
Injektioneste Bivalirudin 5 mg/ml
Injektioneste Lidocaine hydrochloride 10 mg/ml
Glukoosi 5% 1713
Määrittelemätön yhteensopimattomuus yhteensopimaton
Injektioneste Bivalirudin
Injektioneste Lorazepam 2 mg/ml
3539
Yhteensopiva
Injektioneste Bivalirudin
Injektioneste Lorazepam 0.5 mg/ml
3539
Yhteensopiva
Injektioneste Bivalirudin 5 mg/ml
Injektioneste Lorazepam 0.5 mg/ml
Glukoosi 5% 1713
Yhteensopiva
Injektioneste Bivalirudin 5 mg/ml
Injektioneste Magnesium sulfate 100 mg/ml
Glukoosi 5% 1713
Yhteensopiva
Injektioneste Bivalirudin 5 mg/ml
Injektioneste Mannitol 150 mg/ml
Glukoosi 5% 1713
Yhteensopiva
Injektioneste Bivalirudin 5 mg/ml
Injektioneste Methylprednisolone sodium succinate 5 mg/ml
Glukoosi 5% 1713
Yhteensopiva
Injektioneste Bivalirudin 5 mg/ml
Injektioneste Metoclopramide hydrochloride 5 mg/ml
Glukoosi 5% 1713
Yhteensopiva
Injektioneste Bivalirudin 5 mg/ml
Injektioneste Metoprolol tartrate 1 mg/ml
Natriumkloridi 0,9% 1944
Yhteensopiva
Injektioneste Bivalirudin 5 mg/ml
Injektioneste Metoprolol tartrate 1 mg/ml
Glukoosi 5% 1944
Yhteensopiva
Injektioneste Bivalirudin 5 mg/ml
Injektioneste Metronidazole 5 mg/ml
Glukoosi 5% 1713
Yhteensopiva
Injektioneste Bivalirudin 5 mg/ml
Injektioneste Midazolam hydrochloride 2 mg/ml
Glukoosi 5% 1944
Yhteensopiva
Injektioneste Bivalirudin 5 mg/ml
Injektioneste Midazolam hydrochloride 1 mg/ml
Glukoosi 5% 1713
Yhteensopiva
Injektioneste Bivalirudin 5 mg/ml
Injektioneste Midazolam hydrochloride 2 mg/ml
Natriumkloridi 0,9% 1944
Yhteensopiva
Injektioneste Bivalirudin 5 mg/ml
Injektioneste Milrinone lactate 0.2 mg/ml
Glukoosi 5% 1713
Yhteensopiva
Injektioneste Bivalirudin 5 mg/ml
Injektioneste Morphine sulfate 10 mg/ml
Natriumkloridi 0,9% 1944
Yhteensopiva
Injektioneste Bivalirudin 5 mg/ml
Injektioneste Morphine sulfate 10 mg/ml
Glukoosi 5% 1944
Yhteensopiva
Injektioneste Bivalirudin 5 mg/ml
Injektioneste Morphine sulfate 1 mg/ml
Glukoosi 5% 1713
Yhteensopiva
Injektioneste Bivalirudin 5 mg/ml
Injektioneste Nalbuphine hydrochloride 10 mg/ml
Glukoosi 5% 1713
Yhteensopiva
Injektioneste Bivalirudin 5 mg/ml
Injektioneste Nitroprusside sodium 2 mg/ml
Glukoosi 5% 1713
Yhteensopiva
Injektioneste Bivalirudin
Natriumkloridi 0,9% 3539
Yhteensopiva
Injektioneste Bivalirudin 5 mg/ml
Injektioneste Nitroglycerin 0.4 mg/ml
Glukoosi 5% 1713
Yhteensopiva
Injektioneste Bivalirudin 5 mg/ml
Injektioneste Norepinephrine bitartrate 0.12 mg/ml
Glukoosi 5% 1713
Yhteensopiva
Injektioneste Bivalirudin 5 mg/ml
Injektioneste Ofloxacin 4 mg/ml
Glukoosi 5% 1713
Yhteensopiva
Injektioneste Bivalirudin 5 mg/ml
Injektioneste Pethidine hydrochloride 10 mg/ml
Glukoosi 5% 1713
Yhteensopiva
Injektioneste Bivalirudin 5 mg/ml
Injektioneste Phenylephrine hydrochloride 10 mg/ml
Glukoosi 5% 1944
Yhteensopiva
Injektioneste Bivalirudin 5 mg/ml
Injektioneste Phenylephrine hydrochloride 1 mg/ml
Glukoosi 5% 1713
Yhteensopiva
Injektioneste Bivalirudin 5 mg/ml
Injektioneste Phenylephrine hydrochloride 10 mg/ml
Natriumkloridi 0,9% 1944
Yhteensopiva
Injektioneste Bivalirudin 5 mg/ml
Injektioneste Piperacillin sodium 40 mg/ml
Glukoosi 5% 1713
Yhteensopiva
Injektioneste Bivalirudin 5 mg/ml
Injektioneste Piperacillin sodium / tazobactam 40/5 mg/ml
Glukoosi 5% 1713
Yhteensopiva
Injektioneste Bivalirudin 5 mg/ml
Injektioneste Potassium chloride 100 mEq/l
Glukoosi 5% 1713
Yhteensopiva
Injektioneste Bivalirudin 5 mg/ml
Injektioneste Procainamide hydrochloride 10 mg/ml
Glukoosi 5% 1713
Välittömät sateet yhteensopimaton
Injektioneste Bivalirudin
Injektioneste Prochlorperazine edysilate 25 mg/ml
3539
Välittömät sateet yhteensopimaton
Injektioneste Bivalirudin 5 mg/ml
Injektioneste Prochlorperazine edysilate 0.5 mg/ml
Glukoosi 5% 1713
Yhteensopiva
Injektioneste Bivalirudin
Injektioneste Promethazine hydrochloride 2 mg/ml
3539
Määrittelemätön yhteensopimattomuus yhteensopimaton
Injektioneste Bivalirudin
Injektioneste Promethazine hydrochloride 25 mg/ml
3539
Yhteensopiva
Injektioneste Bivalirudin 5 mg/ml
Injektioneste Promethazine hydrochloride 2 mg/ml
Glukoosi 5% 1713
Yhteensopiva
Injektioneste Bivalirudin 5 mg/ml
Injektioneste Ranitidine hydrochloride 2 mg/ml
Glukoosi 5% 1713
Välittömät sateet yhteensopimaton
Injektioneste Bivalirudin 5 mg/ml
Injektioneste Reteplase 1 UI/ml
Glukoosi 5% 1713
Välittömät sateet yhteensopimaton
Injektioneste Bivalirudin
Injektioneste Reteplase
3539
Yhteensopiva
Injektioneste Bivalirudin 5 mg/ml
Injektioneste Sodium bicarbonate 84 mg/ml
Glukoosi 5% 1713
Välittömät sateet yhteensopimaton
Injektioneste Bivalirudin 5 mg/ml
Injektioneste Streptokinase 30000 UI/ml
Glukoosi 5% 1713
Välittömät sateet yhteensopimaton
Injektioneste Bivalirudin
Injektioneste Streptokinase
3539
Yhteensopiva
Injektioneste Bivalirudin 5 mg/ml
Injektioneste Sufentanil citrate 0.05 mg/ml
Glukoosi 5% 1713
Yhteensopiva
Injektioneste Bivalirudin 5 mg/ml
Injektioneste Theophylline 4 mg/ml
Glukoosi 5% 1713
Yhteensopiva
Injektioneste Bivalirudin 5 mg/ml
Injektioneste Thiopental sodium 25 mg/ml
Glukoosi 5% 1713
Yhteensopiva
Injektioneste Bivalirudin 5 mg/ml
Injektioneste Ticarcillin / clavulanic acid 31 mg/ml
Glukoosi 5% 1713
Yhteensopiva
Injektioneste Bivalirudin 5 mg/ml
Injektioneste Tirofiban 50 µg/ml
Glukoosi 5% 1713
Yhteensopiva
Injektioneste Bivalirudin 5 mg/ml
Injektioneste Tobramycin sulfate 5 mg/ml
Glukoosi 5% 1713
Välittömät sateet yhteensopimaton
Injektioneste Bivalirudin 5 mg/ml
Injektioneste Vancomycin hydrochloride 10 mg/ml
Glukoosi 5% 1713
Välittömät sateet yhteensopimaton
Injektioneste Bivalirudin
Injektioneste Vancomycin hydrochloride
3539
Yhteensopiva
Injektioneste Bivalirudin 5 mg/ml
Injektioneste Verapamil hydrochloride 2,5 mg/ml
Natriumkloridi 0,9% 1944
Yhteensopiva
Injektioneste Bivalirudin 5 mg/ml
Injektioneste Verapamil hydrochloride 2,5 mg/ml
Glukoosi 5% 1944
Yhteensopiva
Injektioneste Bivalirudin 5 mg/ml
Injektioneste Verapamil hydrochloride 1.25 mg/ml
Glukoosi 5% 1713
Yhteensopiva
Injektioneste Bivalirudin 5 mg/ml
Injektioneste Warfarin sodium 2 mg/ml
Glukoosi 5% 1713

  Mentions Légales