Dernière mise à jour :
25/03/2026
Anticoagulant   Bivalirudin  
injectable
Stabilité des solutions Stabilité en mélange Facteur influençant la stabilité Compatibilités Voie d’administration Bibliographie pdf
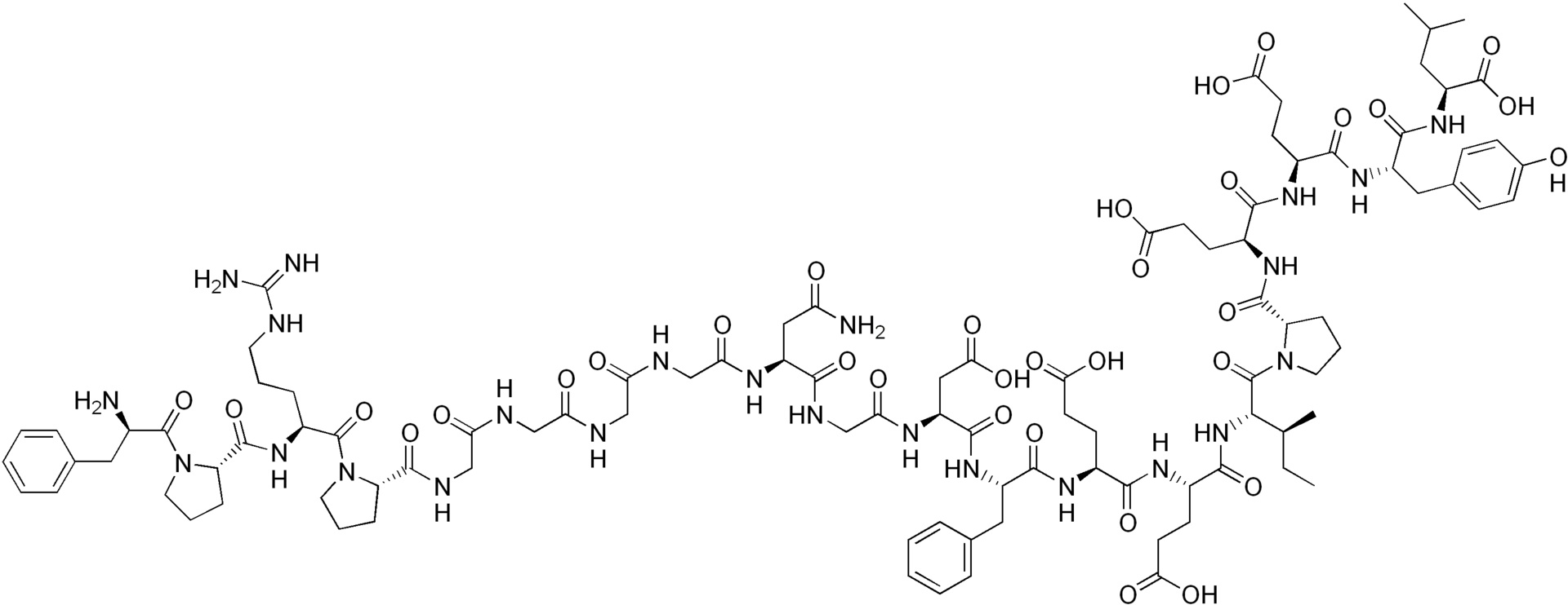
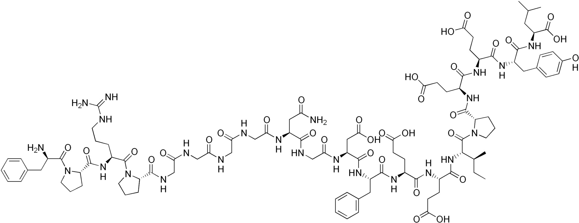
   Structure chimique  

Noms commerciaux   Noms commerciaux     

Les noms commerciaux sont donnés à titre indicatif et la composition en excipients peut être différente selon les pays et selon les laboratoires

Amuprux Argentine
Angiomax Australie, Canada, Chili, Etats Unis d’Amérique, Nouvelle Zélande, Pérou, Vénézuela
Angiox Autriche, Danemark, Espagne, Etats Unis d’Amérique, Finlande, Grande Bretagne, Grèce, Hongrie, Islande, Italie, Norvège, Pays bas, Pologne, Roumanie, Slovénie
Bivalirudin Allemagne, Belgique, Danemark, Finlande, Grande Bretagne, Slovénie, Suède
Bivalirudina Espagne, Italie
Bibliographie   injectable   Bibliographie : Bivalirudin  
Type Source
1713 Revue Trissel LA, Saenz CA.
Compatibility screening of bivalirudin during simulated Y-site administration with other drugs.
Int J Pharm Compound 2002 ; 6: 311-315.
1944 Revue Hartman CA, Faria CE, Mago K.
Visual compatibility of bivalirudin with selected drugs.
Am J Health-Syst Pharm 2004 ; 61: 1774.
3539 Laboratoire Bivalirudin (Angiox®) - Summary of Product Characteristics.
The Medecines Company 2013

  Mentions Légales