zadnja posodobitev :
27/01/2026
Antimikotik   Anidulafungin  
Brizgalka
Stabilnost raztopine Stabilnost mešanice Faktorji, ki vplivajo na stabilnost Kompatibilnost način aplikacije Viri pdf
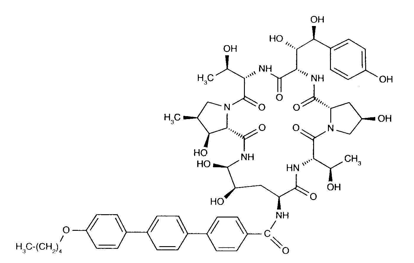
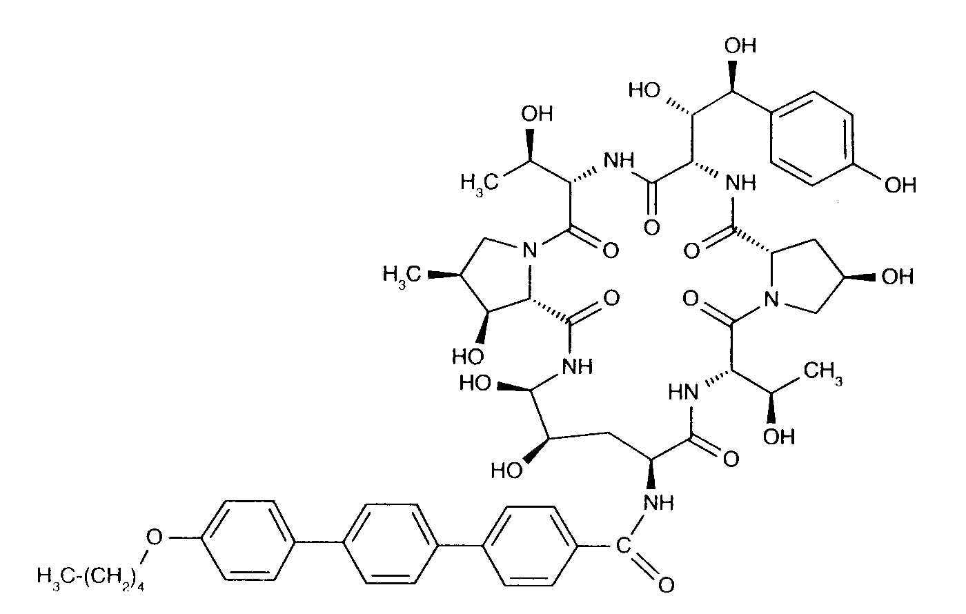
   Kemična formula  

Lastniško ime   Lastniško ime     

Sestava pomožnih snovi je med paralelami lahko različna

Anidulafungin Belgija, Nemčija, Velika Britanija
Anidulafungina Brazilija, Španija
Ecalta Argentina, Belgija, Brazilija, Čile, Danska, Finska, Francija, Grčija, Italija, Kanada, Kolumbija, Luksemburg, Madžarska, Malezija, Nemčija, Nizozemska, Norveška, Peru, Poljska, Romunija, Španija, Švedska, Švica, Turčija, Velika Britanija, Venezuela, Združene države Amerike
Equalta Mehika
Eraxis Avstralija, Kanada, Združene države Amerike
Fuzig Mehika
Kompatibilnost   Brizgalka   Kompatibilnost : Anidulafungin              
Ta zaslon prikazuje združljivost ali nezdružljivost s, v tem primeru, vrsto nezdružljivosti (padavine, sprememba barve, sprememba emulzije itd.). Tu prikazane združljivosti so večinoma samo fizične, pri čemer se kemijska stabilnost vsake molekule redko ocenjuje. Vrednotenje teh zmesi so preučevali, da bi preučili možnost pacientovega dajanja na mestu Y. Teh podatkov ni mogoče uporabiti za pripravo mešanic v vrečkah ali brizgah. Ta vrsta informacij je na voljo na zaslonu "Obstojnost v mešanici".
Sestava Topilo Viri
Združljivo
Brizgalka Anidulafungin 0.5 mg/ml
Brizgalka Aciclovir sodium 7 mg/ml
Glukoza 5% 1982
Združljivo
Brizgalka Anidulafungin 0.5 mg/ml
Brizgalka Amikacin sulfate 5 mg/ml
Glukoza 5% 1982
Združljivo
Brizgalka Anidulafungin 0.5 mg/ml
Brizgalka Aminophylline 2.5 mg/ml
Glukoza 5% 1982
Takojšnja motnost Nezdružljivo
Brizgalka Anidulafungin 0,5 mg/ml
Brizgalka Amphotericin B 0,6 mg/ml
Glukoza 5% 1982
Združljivo
Brizgalka Anidulafungin 0.5 mg/ml
Brizgalka Amphotericin B cholesteryl sulfate complex 1 mg/ml
Glukoza 5% 1982
Združljivo
Brizgalka Anidulafungin 0.5 mg/ml
Brizgalka Amphotericin B liposomale 1 mg/ml
Glukoza 5% 1982
Združljivo
Brizgalka Anidulafungin 0.5 mg/ml
Brizgalka Ampicillin sodium 20 mg/ml
Glukoza 5% 1982
Združljivo
Brizgalka Anidulafungin 0.5 mg/ml
Brizgalka Ampicillin sodium - sulbactam sodium 20/10 mg/ml
Glukoza 5% 1982
Združljivo
Brizgalka Anidulafungin 0.5 mg/ml
Brizgalka Carboplatin 5 mg/ml
Glukoza 5% 1982
Združljivo
Brizgalka Anidulafungin 0.5 mg/ml
Brizgalka Cefazolin sodium 20 mg/ml
Glukoza 5% 1982
Združljivo
Brizgalka Anidulafungin 0.5 mg/ml
Brizgalka Cefepime dihydrochloride 20 mg/ml
Glukoza 5% 1982
Združljivo
Brizgalka Anidulafungin 0.77 mg/ml
Brizgalka Cefiderocol sulfate tosylate 20 mg/mL
Natrijev klorid 0,9% 4528
Združljivo
Brizgalka Anidulafungin 0.77 mg/ml
Brizgalka Cefiderocol sulfate tosylate 20 mg/mL
Glukoza 5% 4528
Združljivo
Brizgalka Anidulafungin 0.5 mg/ml
Brizgalka Cefoxitin sodium 20 mg/ml
Glukoza 5% 1982
Združljivo
Brizgalka Anidulafungin 0.5 mg/ml
Brizgalka Ceftazidime 40 mg/ml
Glukoza 5% 1982
Združljivo
Brizgalka Anidulafungin 0.5 mg/ml
Brizgalka Ceftizoxime sodium 20 mg/ml
Glukoza 5% 1982
Združljivo
Brizgalka Anidulafungin 0.77 mg/ml
Brizgalka Ceftolozane / tazobactam 10/5 mg/ml
Natrijev klorid 0,9% 3828
Združljivo
Brizgalka Anidulafungin 0.77 mg/ml
Brizgalka Ceftolozane / tazobactam 10/5 mg/ml
Glukoza 5% 3828
Združljivo
Brizgalka Anidulafungin 0.5 mg/ml
Brizgalka Ceftriaxone disodium 20 mg/ml
Glukoza 5% 1982
Združljivo
Brizgalka Anidulafungin 0.5 mg/ml
Brizgalka Cefuroxime sodium 30 mg/ml
Glukoza 5% 1982
Združljivo
Brizgalka Anidulafungin 0.5 mg/ml
Brizgalka Ciclosporin 5 mg/ml
Glukoza 5% 1982
Združljivo
Brizgalka Anidulafungin 0.5 mg/ml
Brizgalka Cimetidine hydrochloride 12 mg/ml
Glukoza 5% 1982
Združljivo
Brizgalka Anidulafungin 0.5 mg/ml
Brizgalka Ciprofloxacin lactate 2 mg/ml
Glukoza 5% 1982
Združljivo
Brizgalka Anidulafungin 0.5 mg/ml
Brizgalka Cisplatin 1 mg/ml
Glukoza 5% 1982
Združljivo
Brizgalka Anidulafungin 0.5 mg/ml
Brizgalka Clindamycin phosphate 10 mg/ml
Glukoza 5% 1982
Združljivo
Brizgalka Anidulafungin 0.5 mg/ml
Brizgalka Co-trimoxazole 4/0.8 mg/ml
Glukoza 5% 1982
Združljivo
Brizgalka Anidulafungin 0.5 mg/ml
Brizgalka Cyclophosphamide 10 mg/ml
Glukoza 5% 1982
Združljivo
Brizgalka Anidulafungin 0.5 mg/ml
Brizgalka Cytarabine 50 mg/ml
Glukoza 5% 1982
Združljivo
Brizgalka Anidulafungin 0.5 mg/ml
Brizgalka Daunorubicin hydrochloride 1 mg/ml
Glukoza 5% 1982
Združljivo
Brizgalka Anidulafungin 0.5 mg/ml
Brizgalka Dexamethasone sodium phosphate 1 mg/ml
Glukoza 5% 1982
Združljivo
Brizgalka Anidulafungin 0.5 mg/ml
Brizgalka Digoxin 250 µg/ml
Glukoza 5% 1982
Združljivo
Brizgalka Anidulafungin 0.5 mg/ml
Brizgalka Dobutamine hydrochloride 4 mg/ml
Glukoza 5% 1982
Združljivo
Brizgalka Anidulafungin 0.5 mg/ml
Brizgalka Docetaxel 2 mg/ml
Glukoza 5% 1982
Združljivo
Brizgalka Anidulafungin 0.5 mg/ml
Brizgalka Dopamine hydrochloride 3.2 mg/ml
Glukoza 5% 1982
Združljivo
Brizgalka Anidulafungin 0,5 mg/ml
Brizgalka Doripenem 5 mg/ml
Natrijev klorid 0,9% 2262
Združljivo
Brizgalka Anidulafungin 0,5 mg/ml
Brizgalka Doripenem 5 mg/ml
Glukoza 5% 2262
Združljivo
Brizgalka Anidulafungin 0.5 mg/ml
Brizgalka Doxorubicin hydrochloride 2 mg/ml
Glukoza 5% 1982
Združljivo
Brizgalka Anidulafungin 0.5 mg/ml
Brizgalka Epinephrine hydrochloride 50 µg/ml
Glukoza 5% 1982
Takoj padavine Nezdružljivo
Brizgalka Anidulafungin 0.5 mg/ml
Brizgalka Ertapenem 20 mg/ml
Glukoza 5% 1982
Združljivo
Brizgalka Anidulafungin 0.5 mg/ml
Brizgalka Erythromycin lactobionate 5 mg/ml
Glukoza 5% 1982
Združljivo
Brizgalka Anidulafungin 0.5 mg/ml
Brizgalka Etoposide phosphate 5 mg/ml
Glukoza 5% 1982
Združljivo
Brizgalka Anidulafungin 0.5 mg/ml
Brizgalka Famotidine 2 mg/ml
Glukoza 5% 1982
Združljivo
Brizgalka Anidulafungin 0.5 mg/ml
Brizgalka Fentanyl citrate 50 µg/ml
Glukoza 5% 1982
Združljivo
Brizgalka Anidulafungin 0.5 mg/ml
Brizgalka Fluconazole 2 mg/ml
Glukoza 5% 1982
Združljivo
Brizgalka Anidulafungin 0.5 mg/ml
Brizgalka Fluorouracil 16 mg/ml
Glukoza 5% 1982
Združljivo
Brizgalka Anidulafungin 0.5 mg/ml
Brizgalka Folinate calcium 2 mg/ml
Glukoza 5% 1982
Padavine po 1 uri Nezdružljivo
Brizgalka Anidulafungin 0,77 mg/ml
Brizgalka Fosfomycin 30 mg/ml
Natrijev klorid 0,9% 4055
Padavine po 15 urah Nezdružljivo
Brizgalka Anidulafungin 0,77 mg/ml
Brizgalka Fosfomycin 30 mg/ml
Glukoza 5% 4055
Združljivo
Brizgalka Anidulafungin 0.5 mg/ml
Brizgalka Furosemide 3 mg/ml
Glukoza 5% 1982
Združljivo
Brizgalka Anidulafungin 0.5 mg/ml
Brizgalka Ganciclovir sodium 20 mg/ml
Glukoza 5% 1982
Združljivo
Brizgalka Anidulafungin 0.5 mg/ml
Brizgalka Gemcitabine hydrochloride 10 mg/ml
Glukoza 5% 1982
Združljivo
Brizgalka Anidulafungin 0.5 mg/ml
Brizgalka Gentamicin sulfate 5 mg/ml
Glukoza 5% 1982
Združljivo
Brizgalka Anidulafungin 0.5 mg/ml
Brizgalka Heparin sodium 100 UI/ml
Glukoza 5% 1982
Združljivo
Brizgalka Anidulafungin 0.5 mg/ml
Brizgalka Hydrocortisone sodium succinate 1 mg/ml
Glukoza 5% 1982
Združljivo
Brizgalka Anidulafungin 0.5 mg/ml
Brizgalka Ifosfamide 25 mg/ml
Glukoza 5% 1982
Združljivo
Brizgalka Anidulafungin
Glukoza 5% 3567
Združljivo
Brizgalka Anidulafungin 0.5 mg/ml
Brizgalka Hydromorphone hydrochloride 0.5 mg/ml
Glukoza 5% 1982
Združljivo
Brizgalka Anidulafungin 0.5 mg/ml
Brizgalka Imipenem - cilastatin sodium 5 mg/ml
Glukoza 5% 1982
Združljivo
Brizgalka Anidulafungin 0.77 mg/ml
Brizgalka Isavuconazonium sulfate 1.5 mg/ml
Natrijev klorid 0,9% 3829
Združljivo
Brizgalka Anidulafungin 0.77 mg/ml
Brizgalka Isavuconazonium sulfate 1.5 mg/ml
Glukoza 5% 3829
Združljivo
Brizgalka Anidulafungin 0.5 mg/ml
Brizgalka Levofloxacine 5 mg/ml
Glukoza 5% 1982
Združljivo
Brizgalka Anidulafungin 0.5 mg/ml
Brizgalka Linezolid 2 mg/ml
Glukoza 5% 1982
Združljivo
Brizgalka Anidulafungin 0.5 mg/ml
Brizgalka Meropenem 2.5 mg/ml
Glukoza 5% 1982
Združljivo
Brizgalka Anidulafungin 0.5 mg/ml
Brizgalka Methylprednisolone sodium succinate 5 mg/ml
Glukoza 5% 1982
Združljivo
Brizgalka Anidulafungin 0.5 mg/ml
Brizgalka Metronidazole 5 mg/ml
Glukoza 5% 1982
Združljivo
Brizgalka Anidulafungin 0.5 mg/ml
Brizgalka Midazolam hydrochloride 1 mg/ml
Glukoza 5% 1982
Združljivo
Brizgalka Anidulafungin 0.5 mg/ml
Brizgalka Morphine sulfate 15 mg/ml
Glukoza 5% 1982
Združljivo
Brizgalka Anidulafungin 0.5 mg/ml
Brizgalka Mycophenolate mofetil 6 mg/ml
Glukoza 5% 1982
Združljivo
Brizgalka Anidulafungin 0.5 mg/ml
Brizgalka Paclitaxel 0.6 mg/ml
Glukoza 5% 1982
Združljivo
Brizgalka Anidulafungin 0.5 mg/ml
Brizgalka Pantoprazole sodium 0.4 mg/ml
Glukoza 5% 1982
Združljivo
Brizgalka Anidulafungin 0.5 mg/ml
Brizgalka Pethidine hydrochloride 10 mg/ml
Glukoza 5% 1982
Združljivo
Brizgalka Anidulafungin 0.5 mg/ml
Brizgalka Phenylephrine hydrochloride 1 mg/ml
Glukoza 5% 1982
Združljivo
Brizgalka Anidulafungin 0.5 mg/ml
Brizgalka Piperacillin sodium / tazobactam 40/5 mg/ml
Glukoza 5% 1982
Motnost v 15 minutah Nezdružljivo
Brizgalka Anidulafungin 0,77 mg/ml
Brizgalka Plazomicin sulfate 24 mg/ml
Natrijev klorid 0,9% 4145
Združljivo
Brizgalka Anidulafungin 0.5 mg/ml
Brizgalka Potassium chloride 0.1 mEq/l
Glukoza 5% 1982
Združljivo
Brizgalka Anidulafungin 0.5 mg/ml
Brizgalka Quinupristine/dalfopristine 5 mg/ml
Glukoza 5% 1982
Združljivo
Brizgalka Anidulafungin 0.5 mg/ml
Brizgalka Ranitidine hydrochloride 2 mg/ml
Glukoza 5% 1982
Takojšnja motnost Nezdružljivo
Brizgalka Anidulafungin 0.5 mg/ml
Brizgalka Sodium bicarbonate 84 mg/ml
Glukoza 5% 1982
Združljivo
Brizgalka Anidulafungin 0,77 mg/ml
Brizgalka Sulbactam/durlobactam 15/15 mg/ml
Natrijev klorid 0,9% 4801
Združljivo
Brizgalka Anidulafungin 0.5 mg/ml
Brizgalka Tacrolimus 20 µg/ml
Glukoza 5% 1982
Združljivo
Brizgalka Anidulafungin 0.77 mg/ml
Brizgalka Tedizolid phosphate 0.8 mg/ml
Natrijev klorid 0,9% 3827
Združljivo
Brizgalka Anidulafungin 0.5 mg/ml
Brizgalka Ticarcillin / clavulanic acid 31 mg/ml
Glukoza 5% 1982
Združljivo
Brizgalka Anidulafungin 0.5 mg/ml
Brizgalka Tobramycin sulfate 5 mg/ml
Glukoza 5% 1982
Združljivo
Brizgalka Anidulafungin 0.5 mg/ml
Brizgalka Vancomycin hydrochloride 10 mg/ml
Glukoza 5% 1982
Združljivo
Brizgalka Anidulafungin 0.5 mg/ml
Brizgalka Vincristine sulfate 0.05 mg/ml
Glukoza 5% 1982
Združljivo
Brizgalka Anidulafungin 0.5 mg/ml
Brizgalka Voriconazole 4 mg/ml
Glukoza 5% 1982
Združljivo
Brizgalka Anidulafungin
Natrijev klorid 0,9% 3567
Združljivo
Brizgalka Anidulafungin 0.5 mg/ml
Brizgalka Zidovudine 4 mg/ml
Glukoza 5% 1982
Takojšnja motnost Nezdružljivo
Brizgalka Anidulafungin 0.5 mg/ml
NaHCO3 1982

  Mentions Légales