Son güncelleme :
27/01/2026
Antifungal   Anidulafungin  
Enjeksiyon
Çözeltilerin stabilitesi Karışımlardaki stabilitesi Stabiliteyi etkileyen faktörler Uyumluluk Uygulama yöntemi Kaynaklar pdf
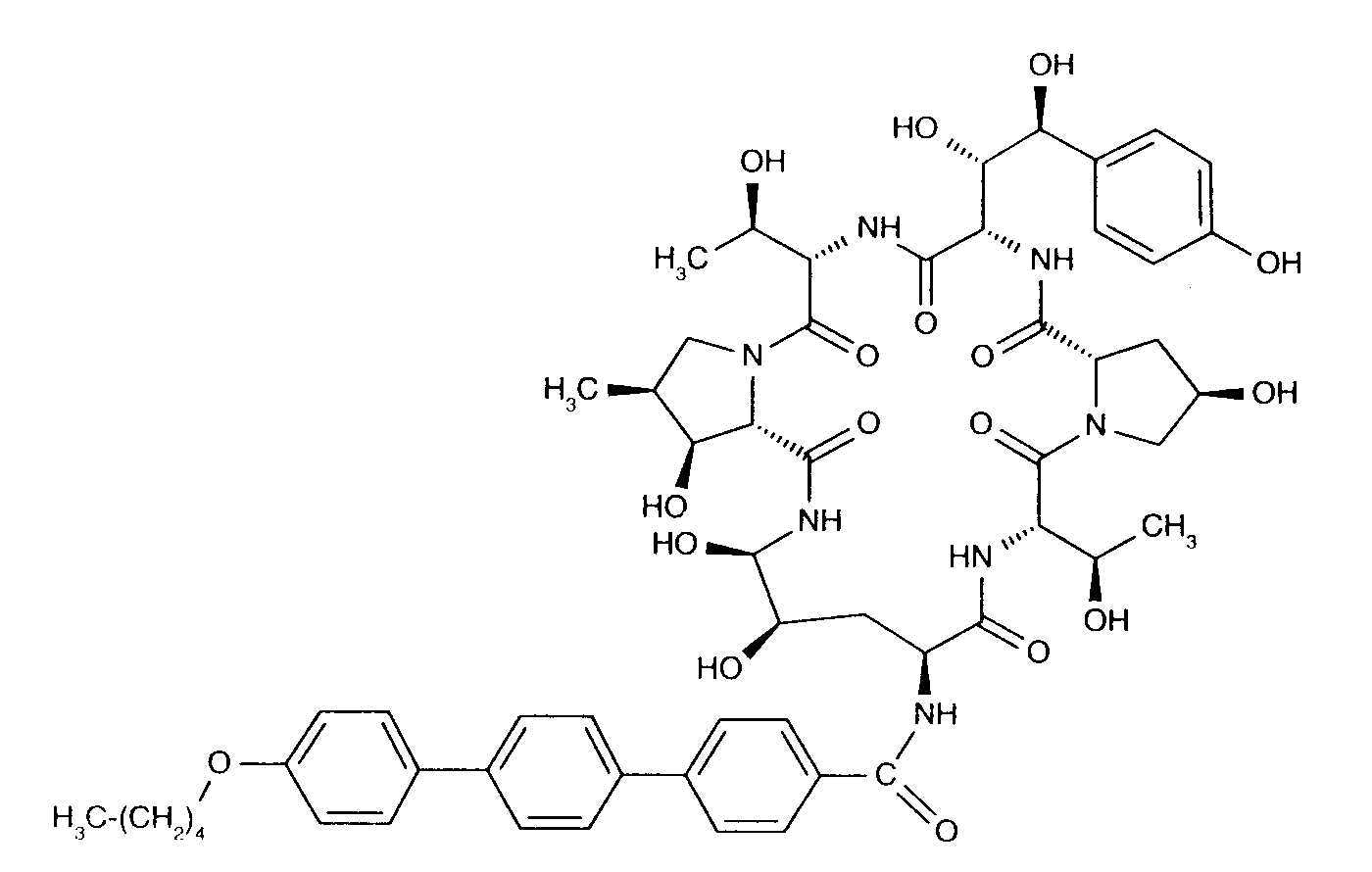
   Kimyasal yapı   

Ticari isim   Ticari isim     

Trade names are indicative and excipients composition can be different depending on the country and manufacturers

Anidulafungin Almanya, Belçika, Büyük Britanya
Anidulafungina Brezilya, İspanya
Ecalta Almanya, Amerika Birleşik Devletleri, Arjantin, Belçika, Brezilya, Büyük Britanya, Danimarka, Finlandiya, Fransa, Hollanda, İspanya, İsveç, İsviçre, İtalya, Kanada, Kolombiya, Lüksemburg, Macaristan, Malezya, Norveç, Peru, Polonya, Romanya, Şili, Türkiye, Venezuela, Yunanistan
Equalta Meksika
Eraxis Amerika Birleşik Devletleri, Avustralya, Kanada
Fuzig Meksika
Uyumluluk   Enjeksiyon    Uyumluluk : Anidulafungin              
Bu ekran, bu durumda uyumsuzluk tipiyle (çökelme, renk değişimi, bir emülsiyonun modifikasyonu, vb.) Uyumlulukları veya uyumsuzlukları gösterir. Burada gösterilen uyumluluklar çoğunlukla yalnızca fizikseldir ve her molekülün kimyasal stabilitesi nadiren değerlendirilir. Bu karışımların değerlendirilmesi, hastaya Y bölgesi uygulama olasılığını göz önünde bulundurmak için çalışıldı. Bu veriler önceden torba veya şırıngalarda karışım yapmak için kullanılamaz. Bu tür bilgiler "Karışımda stabilite" ekranında mevcuttur.
Bileşik Çözücü Kaynaklar
Uyumlu
Enjeksiyon Anidulafungin 0.5 mg/ml
Enjeksiyon Aciclovir sodium 7 mg/ml
Glukoz %5 1982
Uyumlu
Enjeksiyon Anidulafungin 0.5 mg/ml
Enjeksiyon Amikacin sulfate 5 mg/ml
Glukoz %5 1982
Uyumlu
Enjeksiyon Anidulafungin 0.5 mg/ml
Enjeksiyon Aminophylline 2.5 mg/ml
Glukoz %5 1982
Anında bulanıklık uyumsuz
Enjeksiyon Anidulafungin 0,5 mg/ml
Enjeksiyon Amphotericin B 0,6 mg/ml
Glukoz %5 1982
Uyumlu
Enjeksiyon Anidulafungin 0.5 mg/ml
Enjeksiyon Amphotericin B cholesteryl sulfate complex 1 mg/ml
Glukoz %5 1982
Uyumlu
Enjeksiyon Anidulafungin 0.5 mg/ml
Enjeksiyon Amphotericin B liposomale 1 mg/ml
Glukoz %5 1982
Uyumlu
Enjeksiyon Anidulafungin 0.5 mg/ml
Enjeksiyon Ampicillin sodium 20 mg/ml
Glukoz %5 1982
Uyumlu
Enjeksiyon Anidulafungin 0.5 mg/ml
Enjeksiyon Ampicillin sodium - sulbactam sodium 20/10 mg/ml
Glukoz %5 1982
Uyumlu
Enjeksiyon Anidulafungin 0.5 mg/ml
Enjeksiyon Carboplatin 5 mg/ml
Glukoz %5 1982
Uyumlu
Enjeksiyon Anidulafungin 0.5 mg/ml
Enjeksiyon Cefazolin sodium 20 mg/ml
Glukoz %5 1982
Uyumlu
Enjeksiyon Anidulafungin 0.5 mg/ml
Enjeksiyon Cefepime dihydrochloride 20 mg/ml
Glukoz %5 1982
Uyumlu
Enjeksiyon Anidulafungin 0.77 mg/ml
Enjeksiyon Cefiderocol sulfate tosylate 20 mg/mL
Sodyum klorür % 0,9 4528
Uyumlu
Enjeksiyon Anidulafungin 0.77 mg/ml
Enjeksiyon Cefiderocol sulfate tosylate 20 mg/mL
Glukoz %5 4528
Uyumlu
Enjeksiyon Anidulafungin 0.5 mg/ml
Enjeksiyon Cefoxitin sodium 20 mg/ml
Glukoz %5 1982
Uyumlu
Enjeksiyon Anidulafungin 0.5 mg/ml
Enjeksiyon Ceftazidime 40 mg/ml
Glukoz %5 1982
Uyumlu
Enjeksiyon Anidulafungin 0.5 mg/ml
Enjeksiyon Ceftizoxime sodium 20 mg/ml
Glukoz %5 1982
Uyumlu
Enjeksiyon Anidulafungin 0.77 mg/ml
Enjeksiyon Ceftolozane / tazobactam 10/5 mg/ml
Sodyum klorür % 0,9 3828
Uyumlu
Enjeksiyon Anidulafungin 0.77 mg/ml
Enjeksiyon Ceftolozane / tazobactam 10/5 mg/ml
Glukoz %5 3828
Uyumlu
Enjeksiyon Anidulafungin 0.5 mg/ml
Enjeksiyon Ceftriaxone disodium 20 mg/ml
Glukoz %5 1982
Uyumlu
Enjeksiyon Anidulafungin 0.5 mg/ml
Enjeksiyon Cefuroxime sodium 30 mg/ml
Glukoz %5 1982
Uyumlu
Enjeksiyon Anidulafungin 0.5 mg/ml
Enjeksiyon Ciclosporin 5 mg/ml
Glukoz %5 1982
Uyumlu
Enjeksiyon Anidulafungin 0.5 mg/ml
Enjeksiyon Cimetidine hydrochloride 12 mg/ml
Glukoz %5 1982
Uyumlu
Enjeksiyon Anidulafungin 0.5 mg/ml
Enjeksiyon Ciprofloxacin lactate 2 mg/ml
Glukoz %5 1982
Uyumlu
Enjeksiyon Anidulafungin 0.5 mg/ml
Enjeksiyon Cisplatin 1 mg/ml
Glukoz %5 1982
Uyumlu
Enjeksiyon Anidulafungin 0.5 mg/ml
Enjeksiyon Clindamycin phosphate 10 mg/ml
Glukoz %5 1982
Uyumlu
Enjeksiyon Anidulafungin 0.5 mg/ml
Enjeksiyon Co-trimoxazole 4/0.8 mg/ml
Glukoz %5 1982
Uyumlu
Enjeksiyon Anidulafungin 0.5 mg/ml
Enjeksiyon Cyclophosphamide 10 mg/ml
Glukoz %5 1982
Uyumlu
Enjeksiyon Anidulafungin 0.5 mg/ml
Enjeksiyon Cytarabine 50 mg/ml
Glukoz %5 1982
Uyumlu
Enjeksiyon Anidulafungin 0.5 mg/ml
Enjeksiyon Daunorubicin hydrochloride 1 mg/ml
Glukoz %5 1982
Uyumlu
Enjeksiyon Anidulafungin 0.5 mg/ml
Enjeksiyon Dexamethasone sodium phosphate 1 mg/ml
Glukoz %5 1982
Uyumlu
Enjeksiyon Anidulafungin 0.5 mg/ml
Enjeksiyon Digoxin 250 µg/ml
Glukoz %5 1982
Uyumlu
Enjeksiyon Anidulafungin 0.5 mg/ml
Enjeksiyon Dobutamine hydrochloride 4 mg/ml
Glukoz %5 1982
Uyumlu
Enjeksiyon Anidulafungin 0.5 mg/ml
Enjeksiyon Docetaxel 2 mg/ml
Glukoz %5 1982
Uyumlu
Enjeksiyon Anidulafungin 0.5 mg/ml
Enjeksiyon Dopamine hydrochloride 3.2 mg/ml
Glukoz %5 1982
Uyumlu
Enjeksiyon Anidulafungin 0,5 mg/ml
Enjeksiyon Doripenem 5 mg/ml
Sodyum klorür % 0,9 2262
Uyumlu
Enjeksiyon Anidulafungin 0,5 mg/ml
Enjeksiyon Doripenem 5 mg/ml
Glukoz %5 2262
Uyumlu
Enjeksiyon Anidulafungin 0.5 mg/ml
Enjeksiyon Doxorubicin hydrochloride 2 mg/ml
Glukoz %5 1982
Uyumlu
Enjeksiyon Anidulafungin 0.5 mg/ml
Enjeksiyon Epinephrine hydrochloride 50 µg/ml
Glukoz %5 1982
Acil yağış uyumsuz
Enjeksiyon Anidulafungin 0.5 mg/ml
Enjeksiyon Ertapenem 20 mg/ml
Glukoz %5 1982
Uyumlu
Enjeksiyon Anidulafungin 0.5 mg/ml
Enjeksiyon Erythromycin lactobionate 5 mg/ml
Glukoz %5 1982
Uyumlu
Enjeksiyon Anidulafungin 0.5 mg/ml
Enjeksiyon Etoposide phosphate 5 mg/ml
Glukoz %5 1982
Uyumlu
Enjeksiyon Anidulafungin 0.5 mg/ml
Enjeksiyon Famotidine 2 mg/ml
Glukoz %5 1982
Uyumlu
Enjeksiyon Anidulafungin 0.5 mg/ml
Enjeksiyon Fentanyl citrate 50 µg/ml
Glukoz %5 1982
Uyumlu
Enjeksiyon Anidulafungin 0.5 mg/ml
Enjeksiyon Fluconazole 2 mg/ml
Glukoz %5 1982
Uyumlu
Enjeksiyon Anidulafungin 0.5 mg/ml
Enjeksiyon Fluorouracil 16 mg/ml
Glukoz %5 1982
Uyumlu
Enjeksiyon Anidulafungin 0.5 mg/ml
Enjeksiyon Folinate calcium 2 mg/ml
Glukoz %5 1982
1 saat sonra yağış uyumsuz
Enjeksiyon Anidulafungin 0,77 mg/ml
Enjeksiyon Fosfomycin 30 mg/ml
Sodyum klorür % 0,9 4055
15 dakika sonra yağış uyumsuz
Enjeksiyon Anidulafungin 0,77 mg/ml
Enjeksiyon Fosfomycin 30 mg/ml
Glukoz %5 4055
Uyumlu
Enjeksiyon Anidulafungin 0.5 mg/ml
Enjeksiyon Furosemide 3 mg/ml
Glukoz %5 1982
Uyumlu
Enjeksiyon Anidulafungin 0.5 mg/ml
Enjeksiyon Ganciclovir sodium 20 mg/ml
Glukoz %5 1982
Uyumlu
Enjeksiyon Anidulafungin 0.5 mg/ml
Enjeksiyon Gemcitabine hydrochloride 10 mg/ml
Glukoz %5 1982
Uyumlu
Enjeksiyon Anidulafungin 0.5 mg/ml
Enjeksiyon Gentamicin sulfate 5 mg/ml
Glukoz %5 1982
Uyumlu
Enjeksiyon Anidulafungin 0.5 mg/ml
Enjeksiyon Heparin sodium 100 UI/ml
Glukoz %5 1982
Uyumlu
Enjeksiyon Anidulafungin 0.5 mg/ml
Enjeksiyon Hydrocortisone sodium succinate 1 mg/ml
Glukoz %5 1982
Uyumlu
Enjeksiyon Anidulafungin 0.5 mg/ml
Enjeksiyon Ifosfamide 25 mg/ml
Glukoz %5 1982
Uyumlu
Enjeksiyon Anidulafungin
Glukoz %5 3567
Uyumlu
Enjeksiyon Anidulafungin 0.5 mg/ml
Enjeksiyon Hydromorphone hydrochloride 0.5 mg/ml
Glukoz %5 1982
Uyumlu
Enjeksiyon Anidulafungin 0.5 mg/ml
Enjeksiyon Imipenem - cilastatin sodium 5 mg/ml
Glukoz %5 1982
Uyumlu
Enjeksiyon Anidulafungin 0.77 mg/ml
Enjeksiyon Isavuconazonium sulfate 1.5 mg/ml
Sodyum klorür % 0,9 3829
Uyumlu
Enjeksiyon Anidulafungin 0.77 mg/ml
Enjeksiyon Isavuconazonium sulfate 1.5 mg/ml
Glukoz %5 3829
Uyumlu
Enjeksiyon Anidulafungin 0.5 mg/ml
Enjeksiyon Levofloxacine 5 mg/ml
Glukoz %5 1982
Uyumlu
Enjeksiyon Anidulafungin 0.5 mg/ml
Enjeksiyon Linezolid 2 mg/ml
Glukoz %5 1982
Uyumlu
Enjeksiyon Anidulafungin 0.5 mg/ml
Enjeksiyon Meropenem 2.5 mg/ml
Glukoz %5 1982
Uyumlu
Enjeksiyon Anidulafungin 0.5 mg/ml
Enjeksiyon Methylprednisolone sodium succinate 5 mg/ml
Glukoz %5 1982
Uyumlu
Enjeksiyon Anidulafungin 0.5 mg/ml
Enjeksiyon Metronidazole 5 mg/ml
Glukoz %5 1982
Uyumlu
Enjeksiyon Anidulafungin 0.5 mg/ml
Enjeksiyon Midazolam hydrochloride 1 mg/ml
Glukoz %5 1982
Uyumlu
Enjeksiyon Anidulafungin 0.5 mg/ml
Enjeksiyon Morphine sulfate 15 mg/ml
Glukoz %5 1982
Uyumlu
Enjeksiyon Anidulafungin 0.5 mg/ml
Enjeksiyon Mycophenolate mofetil 6 mg/ml
Glukoz %5 1982
Uyumlu
Enjeksiyon Anidulafungin 0.5 mg/ml
Enjeksiyon Paclitaxel 0.6 mg/ml
Glukoz %5 1982
Uyumlu
Enjeksiyon Anidulafungin 0.5 mg/ml
Enjeksiyon Pantoprazole sodium 0.4 mg/ml
Glukoz %5 1982
Uyumlu
Enjeksiyon Anidulafungin 0.5 mg/ml
Enjeksiyon Pethidine hydrochloride 10 mg/ml
Glukoz %5 1982
Uyumlu
Enjeksiyon Anidulafungin 0.5 mg/ml
Enjeksiyon Phenylephrine hydrochloride 1 mg/ml
Glukoz %5 1982
Uyumlu
Enjeksiyon Anidulafungin 0.5 mg/ml
Enjeksiyon Piperacillin sodium / tazobactam 40/5 mg/ml
Glukoz %5 1982
15 dakikada bulanıklık uyumsuz
Enjeksiyon Anidulafungin 0,77 mg/ml
Enjeksiyon Plazomicin sulfate 24 mg/ml
Sodyum klorür % 0,9 4145
Uyumlu
Enjeksiyon Anidulafungin 0.5 mg/ml
Enjeksiyon Potassium chloride 0.1 mEq/l
Glukoz %5 1982
Uyumlu
Enjeksiyon Anidulafungin 0.5 mg/ml
Enjeksiyon Quinupristine/dalfopristine 5 mg/ml
Glukoz %5 1982
Uyumlu
Enjeksiyon Anidulafungin 0.5 mg/ml
Enjeksiyon Ranitidine hydrochloride 2 mg/ml
Glukoz %5 1982
Anında bulanıklık uyumsuz
Enjeksiyon Anidulafungin 0.5 mg/ml
Enjeksiyon Sodium bicarbonate 84 mg/ml
Glukoz %5 1982
Uyumlu
Enjeksiyon Anidulafungin 0,77 mg/ml
Enjeksiyon Sulbactam/durlobactam 15/15 mg/ml
Sodyum klorür % 0,9 4801
Uyumlu
Enjeksiyon Anidulafungin 0.5 mg/ml
Enjeksiyon Tacrolimus 20 µg/ml
Glukoz %5 1982
Uyumlu
Enjeksiyon Anidulafungin 0.77 mg/ml
Enjeksiyon Tedizolid phosphate 0.8 mg/ml
Sodyum klorür % 0,9 3827
Uyumlu
Enjeksiyon Anidulafungin 0.5 mg/ml
Enjeksiyon Ticarcillin / clavulanic acid 31 mg/ml
Glukoz %5 1982
Uyumlu
Enjeksiyon Anidulafungin 0.5 mg/ml
Enjeksiyon Tobramycin sulfate 5 mg/ml
Glukoz %5 1982
Uyumlu
Enjeksiyon Anidulafungin 0.5 mg/ml
Enjeksiyon Vancomycin hydrochloride 10 mg/ml
Glukoz %5 1982
Uyumlu
Enjeksiyon Anidulafungin 0.5 mg/ml
Enjeksiyon Vincristine sulfate 0.05 mg/ml
Glukoz %5 1982
Uyumlu
Enjeksiyon Anidulafungin 0.5 mg/ml
Enjeksiyon Voriconazole 4 mg/ml
Glukoz %5 1982
Uyumlu
Enjeksiyon Anidulafungin
Sodyum klorür % 0,9 3567
Uyumlu
Enjeksiyon Anidulafungin 0.5 mg/ml
Enjeksiyon Zidovudine 4 mg/ml
Glukoz %5 1982
Anında bulanıklık uyumsuz
Enjeksiyon Anidulafungin 0.5 mg/ml
NaHCO3 1982

  Mentions Légales