最新更新 :
27/01/2026
抗真菌薬   Anidulafungin  
注射薬
溶媒内の安定性 混合時の安定性 安定性に影響する因子 互換性 投与経路 引用文献 PDF
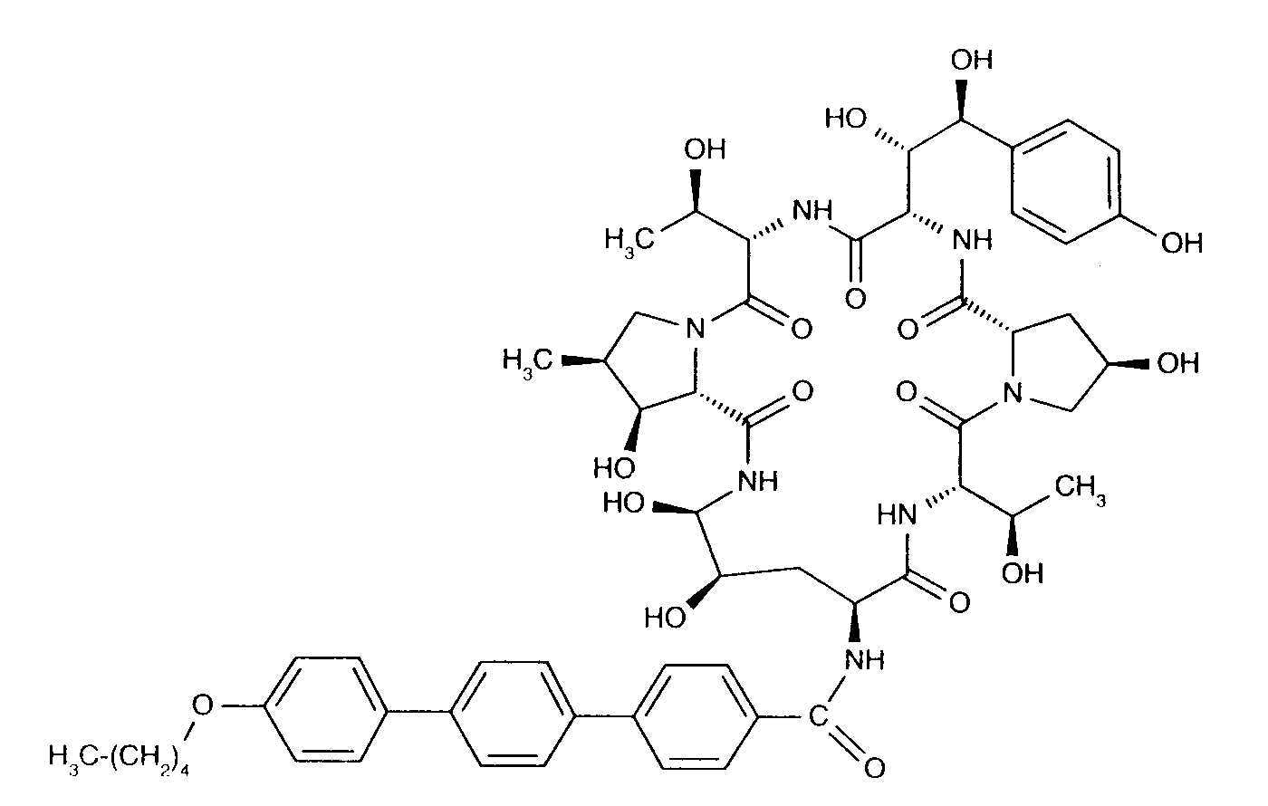
   化学構造  

商品名   商品名     

商品名、賦形剤は国、製薬会社ごとに異なることがあります

Anidulafungin イギリス, ドイツ, ベルギー
Anidulafungina スペイン, ブラジル
Ecalta アメリカ, アルゼンチン, イギリス, イタリア, オランダ, カナダ, ギリシア, コロンビア, スイス, スウェーデン, スペイン, チリ, デンマーク, トルコ, ドイツ, ノルウェー, ハンガリー, フィンランド, フランス, ブラジル, ベネズエラ, ベルギー, ペルー, ポーランド, マレーシア, ルクセンブルグ, ルーマニア
Equalta メキシコ
Eraxis アメリカ, アーストラリア, カナダ
Fuzig メキシコ
互換性   注射薬   互換性 : Anidulafungin              
This screen indicates the compatibilities or incompatibilities with, in this case, the type of incompatibility (precipitation, color change, modification of an emulsion, etc.). The compatibilities shown here are mostly physical only, with the chemical stability of each molecule rarely being assessed. The evaluation of these mixtures was studied to consider the possibility of Y-site administration to the patient. These data cannot be used for making mixtures in advance in bags or syringes. This type of information is available in the screen "Stability in mixture ».
化合物 溶媒 引用文献
対応
注射薬 Anidulafungin 0.5 mg/ml
注射薬 Aciclovir sodium 7 mg/ml
グルコース5% 1982
対応
注射薬 Anidulafungin 0.5 mg/ml
注射薬 Amikacin sulfate 5 mg/ml
グルコース5% 1982
対応
注射薬 Anidulafungin 0.5 mg/ml
注射薬 Aminophylline 2.5 mg/ml
グルコース5% 1982
すぐに濁り 非互換
注射薬 Anidulafungin 0,5 mg/ml
注射薬 Amphotericin B 0,6 mg/ml
グルコース5% 1982
対応
注射薬 Anidulafungin 0.5 mg/ml
注射薬 Amphotericin B cholesteryl sulfate complex 1 mg/ml
グルコース5% 1982
対応
注射薬 Anidulafungin 0.5 mg/ml
注射薬 Amphotericin B liposomale 1 mg/ml
グルコース5% 1982
対応
注射薬 Anidulafungin 0.5 mg/ml
注射薬 Ampicillin sodium 20 mg/ml
グルコース5% 1982
対応
注射薬 Anidulafungin 0.5 mg/ml
注射薬 Ampicillin sodium - sulbactam sodium 20/10 mg/ml
グルコース5% 1982
対応
注射薬 Anidulafungin 0.5 mg/ml
注射薬 Carboplatin 5 mg/ml
グルコース5% 1982
対応
注射薬 Anidulafungin 0.5 mg/ml
注射薬 Cefazolin sodium 20 mg/ml
グルコース5% 1982
対応
注射薬 Anidulafungin 0.5 mg/ml
注射薬 Cefepime dihydrochloride 20 mg/ml
グルコース5% 1982
対応
注射薬 Anidulafungin 0.77 mg/ml
注射薬 Cefiderocol sulfate tosylate 20 mg/mL
NaCl 0,9% 4528
対応
注射薬 Anidulafungin 0.77 mg/ml
注射薬 Cefiderocol sulfate tosylate 20 mg/mL
グルコース5% 4528
対応
注射薬 Anidulafungin 0.5 mg/ml
注射薬 Cefoxitin sodium 20 mg/ml
グルコース5% 1982
対応
注射薬 Anidulafungin 0.5 mg/ml
注射薬 Ceftazidime 40 mg/ml
グルコース5% 1982
対応
注射薬 Anidulafungin 0.5 mg/ml
注射薬 Ceftizoxime sodium 20 mg/ml
グルコース5% 1982
対応
注射薬 Anidulafungin 0.77 mg/ml
注射薬 Ceftolozane / tazobactam 10/5 mg/ml
NaCl 0,9% 3828
対応
注射薬 Anidulafungin 0.77 mg/ml
注射薬 Ceftolozane / tazobactam 10/5 mg/ml
グルコース5% 3828
対応
注射薬 Anidulafungin 0.5 mg/ml
注射薬 Ceftriaxone disodium 20 mg/ml
グルコース5% 1982
対応
注射薬 Anidulafungin 0.5 mg/ml
注射薬 Cefuroxime sodium 30 mg/ml
グルコース5% 1982
対応
注射薬 Anidulafungin 0.5 mg/ml
注射薬 Ciclosporin 5 mg/ml
グルコース5% 1982
対応
注射薬 Anidulafungin 0.5 mg/ml
注射薬 Cimetidine hydrochloride 12 mg/ml
グルコース5% 1982
対応
注射薬 Anidulafungin 0.5 mg/ml
注射薬 Ciprofloxacin lactate 2 mg/ml
グルコース5% 1982
対応
注射薬 Anidulafungin 0.5 mg/ml
注射薬 Cisplatin 1 mg/ml
グルコース5% 1982
対応
注射薬 Anidulafungin 0.5 mg/ml
注射薬 Clindamycin phosphate 10 mg/ml
グルコース5% 1982
対応
注射薬 Anidulafungin 0.5 mg/ml
注射薬 Co-trimoxazole 4/0.8 mg/ml
グルコース5% 1982
対応
注射薬 Anidulafungin 0.5 mg/ml
注射薬 Cyclophosphamide 10 mg/ml
グルコース5% 1982
対応
注射薬 Anidulafungin 0.5 mg/ml
注射薬 Cytarabine 50 mg/ml
グルコース5% 1982
対応
注射薬 Anidulafungin 0.5 mg/ml
注射薬 Daunorubicin hydrochloride 1 mg/ml
グルコース5% 1982
対応
注射薬 Anidulafungin 0.5 mg/ml
注射薬 Dexamethasone sodium phosphate 1 mg/ml
グルコース5% 1982
対応
注射薬 Anidulafungin 0.5 mg/ml
注射薬 Digoxin 250 µg/ml
グルコース5% 1982
対応
注射薬 Anidulafungin 0.5 mg/ml
注射薬 Dobutamine hydrochloride 4 mg/ml
グルコース5% 1982
対応
注射薬 Anidulafungin 0.5 mg/ml
注射薬 Docetaxel 2 mg/ml
グルコース5% 1982
対応
注射薬 Anidulafungin 0.5 mg/ml
注射薬 Dopamine hydrochloride 3.2 mg/ml
グルコース5% 1982
対応
注射薬 Anidulafungin 0,5 mg/ml
注射薬 Doripenem 5 mg/ml
NaCl 0,9% 2262
対応
注射薬 Anidulafungin 0,5 mg/ml
注射薬 Doripenem 5 mg/ml
グルコース5% 2262
対応
注射薬 Anidulafungin 0.5 mg/ml
注射薬 Doxorubicin hydrochloride 2 mg/ml
グルコース5% 1982
対応
注射薬 Anidulafungin 0.5 mg/ml
注射薬 Epinephrine hydrochloride 50 µg/ml
グルコース5% 1982
即時降水 非互換
注射薬 Anidulafungin 0.5 mg/ml
注射薬 Ertapenem 20 mg/ml
グルコース5% 1982
対応
注射薬 Anidulafungin 0.5 mg/ml
注射薬 Erythromycin lactobionate 5 mg/ml
グルコース5% 1982
対応
注射薬 Anidulafungin 0.5 mg/ml
注射薬 Etoposide phosphate 5 mg/ml
グルコース5% 1982
対応
注射薬 Anidulafungin 0.5 mg/ml
注射薬 Famotidine 2 mg/ml
グルコース5% 1982
対応
注射薬 Anidulafungin 0.5 mg/ml
注射薬 Fentanyl citrate 50 µg/ml
グルコース5% 1982
対応
注射薬 Anidulafungin 0.5 mg/ml
注射薬 Fluconazole 2 mg/ml
グルコース5% 1982
対応
注射薬 Anidulafungin 0.5 mg/ml
注射薬 Fluorouracil 16 mg/ml
グルコース5% 1982
対応
注射薬 Anidulafungin 0.5 mg/ml
注射薬 Folinate calcium 2 mg/ml
グルコース5% 1982
1時間後の降水 非互換
注射薬 Anidulafungin 0,77 mg/ml
注射薬 Fosfomycin 30 mg/ml
NaCl 0,9% 4055
15分後の沈殿 非互換
注射薬 Anidulafungin 0,77 mg/ml
注射薬 Fosfomycin 30 mg/ml
グルコース5% 4055
対応
注射薬 Anidulafungin 0.5 mg/ml
注射薬 Furosemide 3 mg/ml
グルコース5% 1982
対応
注射薬 Anidulafungin 0.5 mg/ml
注射薬 Ganciclovir sodium 20 mg/ml
グルコース5% 1982
対応
注射薬 Anidulafungin 0.5 mg/ml
注射薬 Gemcitabine hydrochloride 10 mg/ml
グルコース5% 1982
対応
注射薬 Anidulafungin 0.5 mg/ml
注射薬 Gentamicin sulfate 5 mg/ml
グルコース5% 1982
対応
注射薬 Anidulafungin 0.5 mg/ml
注射薬 Heparin sodium 100 UI/ml
グルコース5% 1982
対応
注射薬 Anidulafungin 0.5 mg/ml
注射薬 Hydrocortisone sodium succinate 1 mg/ml
グルコース5% 1982
対応
注射薬 Anidulafungin 0.5 mg/ml
注射薬 Ifosfamide 25 mg/ml
グルコース5% 1982
対応
注射薬 Anidulafungin
グルコース5% 3567
対応
注射薬 Anidulafungin 0.5 mg/ml
注射薬 Hydromorphone hydrochloride 0.5 mg/ml
グルコース5% 1982
対応
注射薬 Anidulafungin 0.5 mg/ml
注射薬 Imipenem - cilastatin sodium 5 mg/ml
グルコース5% 1982
対応
注射薬 Anidulafungin 0.77 mg/ml
注射薬 Isavuconazonium sulfate 1.5 mg/ml
NaCl 0,9% 3829
対応
注射薬 Anidulafungin 0.77 mg/ml
注射薬 Isavuconazonium sulfate 1.5 mg/ml
グルコース5% 3829
対応
注射薬 Anidulafungin 0.5 mg/ml
注射薬 Levofloxacine 5 mg/ml
グルコース5% 1982
対応
注射薬 Anidulafungin 0.5 mg/ml
注射薬 Linezolid 2 mg/ml
グルコース5% 1982
対応
注射薬 Anidulafungin 0.5 mg/ml
注射薬 Meropenem 2.5 mg/ml
グルコース5% 1982
対応
注射薬 Anidulafungin 0.5 mg/ml
注射薬 Methylprednisolone sodium succinate 5 mg/ml
グルコース5% 1982
対応
注射薬 Anidulafungin 0.5 mg/ml
注射薬 Metronidazole 5 mg/ml
グルコース5% 1982
対応
注射薬 Anidulafungin 0.5 mg/ml
注射薬 Midazolam hydrochloride 1 mg/ml
グルコース5% 1982
対応
注射薬 Anidulafungin 0.5 mg/ml
注射薬 Morphine sulfate 15 mg/ml
グルコース5% 1982
対応
注射薬 Anidulafungin 0.5 mg/ml
注射薬 Mycophenolate mofetil 6 mg/ml
グルコース5% 1982
対応
注射薬 Anidulafungin 0.5 mg/ml
注射薬 Paclitaxel 0.6 mg/ml
グルコース5% 1982
対応
注射薬 Anidulafungin 0.5 mg/ml
注射薬 Pantoprazole sodium 0.4 mg/ml
グルコース5% 1982
対応
注射薬 Anidulafungin 0.5 mg/ml
注射薬 Pethidine hydrochloride 10 mg/ml
グルコース5% 1982
対応
注射薬 Anidulafungin 0.5 mg/ml
注射薬 Phenylephrine hydrochloride 1 mg/ml
グルコース5% 1982
対応
注射薬 Anidulafungin 0.5 mg/ml
注射薬 Piperacillin sodium / tazobactam 40/5 mg/ml
グルコース5% 1982
15分で濁り 非互換
注射薬 Anidulafungin 0,77 mg/ml
注射薬 Plazomicin sulfate 24 mg/ml
NaCl 0,9% 4145
対応
注射薬 Anidulafungin 0.5 mg/ml
注射薬 Potassium chloride 0.1 mEq/l
グルコース5% 1982
対応
注射薬 Anidulafungin 0.5 mg/ml
注射薬 Quinupristine/dalfopristine 5 mg/ml
グルコース5% 1982
対応
注射薬 Anidulafungin 0.5 mg/ml
注射薬 Ranitidine hydrochloride 2 mg/ml
グルコース5% 1982
すぐに濁り 非互換
注射薬 Anidulafungin 0.5 mg/ml
注射薬 Sodium bicarbonate 84 mg/ml
グルコース5% 1982
対応
注射薬 Anidulafungin 0,77 mg/ml
注射薬 Sulbactam/durlobactam 15/15 mg/ml
NaCl 0,9% 4801
対応
注射薬 Anidulafungin 0.5 mg/ml
注射薬 Tacrolimus 20 µg/ml
グルコース5% 1982
対応
注射薬 Anidulafungin 0.77 mg/ml
注射薬 Tedizolid phosphate 0.8 mg/ml
NaCl 0,9% 3827
対応
注射薬 Anidulafungin 0.5 mg/ml
注射薬 Ticarcillin / clavulanic acid 31 mg/ml
グルコース5% 1982
対応
注射薬 Anidulafungin 0.5 mg/ml
注射薬 Tobramycin sulfate 5 mg/ml
グルコース5% 1982
対応
注射薬 Anidulafungin 0.5 mg/ml
注射薬 Vancomycin hydrochloride 10 mg/ml
グルコース5% 1982
対応
注射薬 Anidulafungin 0.5 mg/ml
注射薬 Vincristine sulfate 0.05 mg/ml
グルコース5% 1982
対応
注射薬 Anidulafungin 0.5 mg/ml
注射薬 Voriconazole 4 mg/ml
グルコース5% 1982
対応
注射薬 Anidulafungin
NaCl 0,9% 3567
対応
注射薬 Anidulafungin 0.5 mg/ml
注射薬 Zidovudine 4 mg/ml
グルコース5% 1982
すぐに濁り 非互換
注射薬 Anidulafungin 0.5 mg/ml
NaHCO3 1982

  Mentions Légales