Последно актуализиране :
27/01/2026
Противогъбично средство   Anidulafungin  
Инжекция/Инжекционен
Стабилност на разтвори Стабилност на смеси Фактори, повлияващи стабилността Съвместимост Път на въвеждане Библиография Pdf
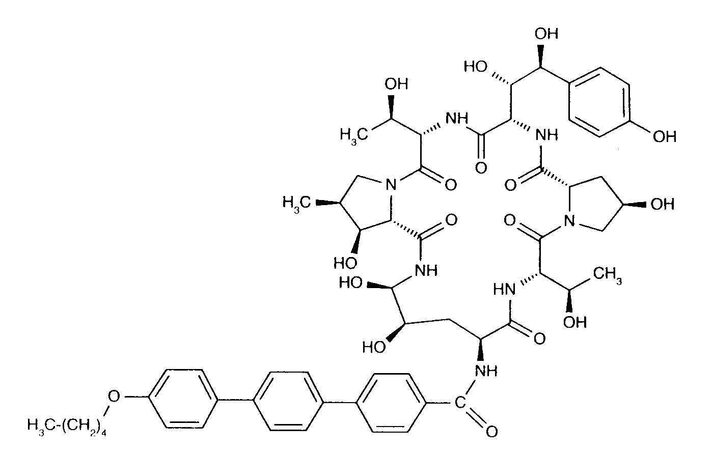
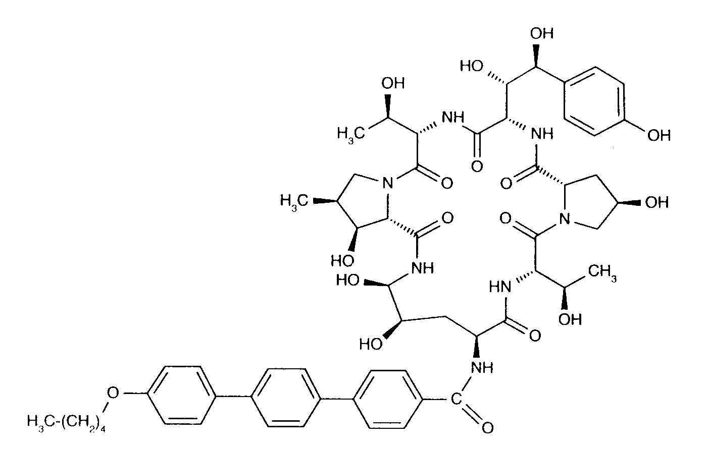
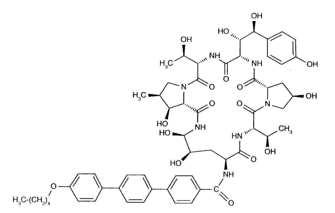
   Химична структура  

Търговско наименование   Търговско наименование     

Търговските имена са примерни и съставът на помощните вещества може да бъде различен в зависимост от държавата и лабораториите

Anidulafungin Белгия, Великобритания, Германия
Anidulafungina Бразилия, Испания
Ecalta Аржентина, Белгия, Бразилия, Великобритания, Венецуела, Германия, Гърция, Дания, Испания, Италия, Канада, Колумбия, Люксенбург, Малайзия, Норвегия, Перу, Полша, Румъния, Съединени Американски щати / САЩ, Турция, Унгария, Финландия, Франция, Холандия, Чили, Швейцария, Швеция
Equalta Мексико
Eraxis Австралия, Канада, Съединени Американски щати / САЩ
Fuzig Мексико
Съвместимост   Инжекция/Инжекционен   Съвместимост : Anidulafungin              
Този екран показва съвместимостта или несъвместимостта с, в този случай, вида на несъвместимостта (утаяване, промяна на цвета, модификация на емулсия и др.). Показаните тук съвместимости са предимно физически, като рядко се оценява химическата стабилност на всяка молекула. Оценката на тези смеси беше проучена, за да се разгледа възможността за приложение на Y-място на пациента. Тези данни не могат да се използват за предварително приготвяне на смеси в торбички или спринцовки. Този тип информация е достъпна на екрана "Стабилност в сместа".
Състав / молекула Разтворител Библиография
съвместим
Инжекция/Инжекционен Anidulafungin 0.5 mg/ml
Инжекция/Инжекционен Aciclovir sodium 7 mg/ml
Glucose 5% 1982
съвместим
Инжекция/Инжекционен Anidulafungin 0.5 mg/ml
Инжекция/Инжекционен Amikacin sulfate 5 mg/ml
Glucose 5% 1982
съвместим
Инжекция/Инжекционен Anidulafungin 0.5 mg/ml
Инжекция/Инжекционен Aminophylline 2.5 mg/ml
Glucose 5% 1982
Незабавна мътност Несъвместим
Инжекция/Инжекционен Anidulafungin 0,5 mg/ml
Инжекция/Инжекционен Amphotericin B 0,6 mg/ml
Glucose 5% 1982
съвместим
Инжекция/Инжекционен Anidulafungin 0.5 mg/ml
Инжекция/Инжекционен Amphotericin B cholesteryl sulfate complex 1 mg/ml
Glucose 5% 1982
съвместим
Инжекция/Инжекционен Anidulafungin 0.5 mg/ml
Инжекция/Инжекционен Amphotericin B liposomale 1 mg/ml
Glucose 5% 1982
съвместим
Инжекция/Инжекционен Anidulafungin 0.5 mg/ml
Инжекция/Инжекционен Ampicillin sodium 20 mg/ml
Glucose 5% 1982
съвместим
Инжекция/Инжекционен Anidulafungin 0.5 mg/ml
Инжекция/Инжекционен Ampicillin sodium - sulbactam sodium 20/10 mg/ml
Glucose 5% 1982
съвместим
Инжекция/Инжекционен Anidulafungin 0.5 mg/ml
Инжекция/Инжекционен Carboplatin 5 mg/ml
Glucose 5% 1982
съвместим
Инжекция/Инжекционен Anidulafungin 0.5 mg/ml
Инжекция/Инжекционен Cefazolin sodium 20 mg/ml
Glucose 5% 1982
съвместим
Инжекция/Инжекционен Anidulafungin 0.5 mg/ml
Инжекция/Инжекционен Cefepime dihydrochloride 20 mg/ml
Glucose 5% 1982
съвместим
Инжекция/Инжекционен Anidulafungin 0.77 mg/ml
Инжекция/Инжекционен Cefiderocol sulfate tosylate 20 mg/mL
Sodium chloride 0,9% 4528
съвместим
Инжекция/Инжекционен Anidulafungin 0.77 mg/ml
Инжекция/Инжекционен Cefiderocol sulfate tosylate 20 mg/mL
Glucose 5% 4528
съвместим
Инжекция/Инжекционен Anidulafungin 0.5 mg/ml
Инжекция/Инжекционен Cefoxitin sodium 20 mg/ml
Glucose 5% 1982
съвместим
Инжекция/Инжекционен Anidulafungin 0.5 mg/ml
Инжекция/Инжекционен Ceftazidime 40 mg/ml
Glucose 5% 1982
съвместим
Инжекция/Инжекционен Anidulafungin 0.5 mg/ml
Инжекция/Инжекционен Ceftizoxime sodium 20 mg/ml
Glucose 5% 1982
съвместим
Инжекция/Инжекционен Anidulafungin 0.77 mg/ml
Инжекция/Инжекционен Ceftolozane / tazobactam 10/5 mg/ml
Sodium chloride 0,9% 3828
съвместим
Инжекция/Инжекционен Anidulafungin 0.77 mg/ml
Инжекция/Инжекционен Ceftolozane / tazobactam 10/5 mg/ml
Glucose 5% 3828
съвместим
Инжекция/Инжекционен Anidulafungin 0.5 mg/ml
Инжекция/Инжекционен Ceftriaxone disodium 20 mg/ml
Glucose 5% 1982
съвместим
Инжекция/Инжекционен Anidulafungin 0.5 mg/ml
Инжекция/Инжекционен Cefuroxime sodium 30 mg/ml
Glucose 5% 1982
съвместим
Инжекция/Инжекционен Anidulafungin 0.5 mg/ml
Инжекция/Инжекционен Ciclosporin 5 mg/ml
Glucose 5% 1982
съвместим
Инжекция/Инжекционен Anidulafungin 0.5 mg/ml
Инжекция/Инжекционен Cimetidine hydrochloride 12 mg/ml
Glucose 5% 1982
съвместим
Инжекция/Инжекционен Anidulafungin 0.5 mg/ml
Инжекция/Инжекционен Ciprofloxacin lactate 2 mg/ml
Glucose 5% 1982
съвместим
Инжекция/Инжекционен Anidulafungin 0.5 mg/ml
Инжекция/Инжекционен Cisplatin 1 mg/ml
Glucose 5% 1982
съвместим
Инжекция/Инжекционен Anidulafungin 0.5 mg/ml
Инжекция/Инжекционен Clindamycin phosphate 10 mg/ml
Glucose 5% 1982
съвместим
Инжекция/Инжекционен Anidulafungin 0.5 mg/ml
Инжекция/Инжекционен Co-trimoxazole 4/0.8 mg/ml
Glucose 5% 1982
съвместим
Инжекция/Инжекционен Anidulafungin 0.5 mg/ml
Инжекция/Инжекционен Cyclophosphamide 10 mg/ml
Glucose 5% 1982
съвместим
Инжекция/Инжекционен Anidulafungin 0.5 mg/ml
Инжекция/Инжекционен Cytarabine 50 mg/ml
Glucose 5% 1982
съвместим
Инжекция/Инжекционен Anidulafungin 0.5 mg/ml
Инжекция/Инжекционен Daunorubicin hydrochloride 1 mg/ml
Glucose 5% 1982
съвместим
Инжекция/Инжекционен Anidulafungin 0.5 mg/ml
Инжекция/Инжекционен Dexamethasone sodium phosphate 1 mg/ml
Glucose 5% 1982
съвместим
Инжекция/Инжекционен Anidulafungin 0.5 mg/ml
Инжекция/Инжекционен Digoxin 250 µg/ml
Glucose 5% 1982
съвместим
Инжекция/Инжекционен Anidulafungin 0.5 mg/ml
Инжекция/Инжекционен Dobutamine hydrochloride 4 mg/ml
Glucose 5% 1982
съвместим
Инжекция/Инжекционен Anidulafungin 0.5 mg/ml
Инжекция/Инжекционен Docetaxel 2 mg/ml
Glucose 5% 1982
съвместим
Инжекция/Инжекционен Anidulafungin 0.5 mg/ml
Инжекция/Инжекционен Dopamine hydrochloride 3.2 mg/ml
Glucose 5% 1982
съвместим
Инжекция/Инжекционен Anidulafungin 0,5 mg/ml
Инжекция/Инжекционен Doripenem 5 mg/ml
Sodium chloride 0,9% 2262
съвместим
Инжекция/Инжекционен Anidulafungin 0,5 mg/ml
Инжекция/Инжекционен Doripenem 5 mg/ml
Glucose 5% 2262
съвместим
Инжекция/Инжекционен Anidulafungin 0.5 mg/ml
Инжекция/Инжекционен Doxorubicin hydrochloride 2 mg/ml
Glucose 5% 1982
съвместим
Инжекция/Инжекционен Anidulafungin 0.5 mg/ml
Инжекция/Инжекционен Epinephrine hydrochloride 50 µg/ml
Glucose 5% 1982
Незабавни валежи Несъвместим
Инжекция/Инжекционен Anidulafungin 0.5 mg/ml
Инжекция/Инжекционен Ertapenem 20 mg/ml
Glucose 5% 1982
съвместим
Инжекция/Инжекционен Anidulafungin 0.5 mg/ml
Инжекция/Инжекционен Erythromycin lactobionate 5 mg/ml
Glucose 5% 1982
съвместим
Инжекция/Инжекционен Anidulafungin 0.5 mg/ml
Инжекция/Инжекционен Etoposide phosphate 5 mg/ml
Glucose 5% 1982
съвместим
Инжекция/Инжекционен Anidulafungin 0.5 mg/ml
Инжекция/Инжекционен Famotidine 2 mg/ml
Glucose 5% 1982
съвместим
Инжекция/Инжекционен Anidulafungin 0.5 mg/ml
Инжекция/Инжекционен Fentanyl citrate 50 µg/ml
Glucose 5% 1982
съвместим
Инжекция/Инжекционен Anidulafungin 0.5 mg/ml
Инжекция/Инжекционен Fluconazole 2 mg/ml
Glucose 5% 1982
съвместим
Инжекция/Инжекционен Anidulafungin 0.5 mg/ml
Инжекция/Инжекционен Fluorouracil 16 mg/ml
Glucose 5% 1982
съвместим
Инжекция/Инжекционен Anidulafungin 0.5 mg/ml
Инжекция/Инжекционен Folinate calcium 2 mg/ml
Glucose 5% 1982
Валежи след 1 час Несъвместим
Инжекция/Инжекционен Anidulafungin 0,77 mg/ml
Инжекция/Инжекционен Fosfomycin 30 mg/ml
Sodium chloride 0,9% 4055
Валежи след 15 минути Несъвместим
Инжекция/Инжекционен Anidulafungin 0,77 mg/ml
Инжекция/Инжекционен Fosfomycin 30 mg/ml
Glucose 5% 4055
съвместим
Инжекция/Инжекционен Anidulafungin 0.5 mg/ml
Инжекция/Инжекционен Furosemide 3 mg/ml
Glucose 5% 1982
съвместим
Инжекция/Инжекционен Anidulafungin 0.5 mg/ml
Инжекция/Инжекционен Ganciclovir sodium 20 mg/ml
Glucose 5% 1982
съвместим
Инжекция/Инжекционен Anidulafungin 0.5 mg/ml
Инжекция/Инжекционен Gemcitabine hydrochloride 10 mg/ml
Glucose 5% 1982
съвместим
Инжекция/Инжекционен Anidulafungin 0.5 mg/ml
Инжекция/Инжекционен Gentamicin sulfate 5 mg/ml
Glucose 5% 1982
съвместим
Инжекция/Инжекционен Anidulafungin 0.5 mg/ml
Инжекция/Инжекционен Heparin sodium 100 UI/ml
Glucose 5% 1982
съвместим
Инжекция/Инжекционен Anidulafungin 0.5 mg/ml
Инжекция/Инжекционен Hydrocortisone sodium succinate 1 mg/ml
Glucose 5% 1982
съвместим
Инжекция/Инжекционен Anidulafungin 0.5 mg/ml
Инжекция/Инжекционен Ifosfamide 25 mg/ml
Glucose 5% 1982
съвместим
Инжекция/Инжекционен Anidulafungin
Glucose 5% 3567
съвместим
Инжекция/Инжекционен Anidulafungin 0.5 mg/ml
Инжекция/Инжекционен Hydromorphone hydrochloride 0.5 mg/ml
Glucose 5% 1982
съвместим
Инжекция/Инжекционен Anidulafungin 0.5 mg/ml
Инжекция/Инжекционен Imipenem - cilastatin sodium 5 mg/ml
Glucose 5% 1982
съвместим
Инжекция/Инжекционен Anidulafungin 0.77 mg/ml
Инжекция/Инжекционен Isavuconazonium sulfate 1.5 mg/ml
Sodium chloride 0,9% 3829
съвместим
Инжекция/Инжекционен Anidulafungin 0.77 mg/ml
Инжекция/Инжекционен Isavuconazonium sulfate 1.5 mg/ml
Glucose 5% 3829
съвместим
Инжекция/Инжекционен Anidulafungin 0.5 mg/ml
Инжекция/Инжекционен Levofloxacine 5 mg/ml
Glucose 5% 1982
съвместим
Инжекция/Инжекционен Anidulafungin 0.5 mg/ml
Инжекция/Инжекционен Linezolid 2 mg/ml
Glucose 5% 1982
съвместим
Инжекция/Инжекционен Anidulafungin 0.5 mg/ml
Инжекция/Инжекционен Meropenem 2.5 mg/ml
Glucose 5% 1982
съвместим
Инжекция/Инжекционен Anidulafungin 0.5 mg/ml
Инжекция/Инжекционен Methylprednisolone sodium succinate 5 mg/ml
Glucose 5% 1982
съвместим
Инжекция/Инжекционен Anidulafungin 0.5 mg/ml
Инжекция/Инжекционен Metronidazole 5 mg/ml
Glucose 5% 1982
съвместим
Инжекция/Инжекционен Anidulafungin 0.5 mg/ml
Инжекция/Инжекционен Midazolam hydrochloride 1 mg/ml
Glucose 5% 1982
съвместим
Инжекция/Инжекционен Anidulafungin 0.5 mg/ml
Инжекция/Инжекционен Morphine sulfate 15 mg/ml
Glucose 5% 1982
съвместим
Инжекция/Инжекционен Anidulafungin 0.5 mg/ml
Инжекция/Инжекционен Mycophenolate mofetil 6 mg/ml
Glucose 5% 1982
съвместим
Инжекция/Инжекционен Anidulafungin 0.5 mg/ml
Инжекция/Инжекционен Paclitaxel 0.6 mg/ml
Glucose 5% 1982
съвместим
Инжекция/Инжекционен Anidulafungin 0.5 mg/ml
Инжекция/Инжекционен Pantoprazole sodium 0.4 mg/ml
Glucose 5% 1982
съвместим
Инжекция/Инжекционен Anidulafungin 0.5 mg/ml
Инжекция/Инжекционен Pethidine hydrochloride 10 mg/ml
Glucose 5% 1982
съвместим
Инжекция/Инжекционен Anidulafungin 0.5 mg/ml
Инжекция/Инжекционен Phenylephrine hydrochloride 1 mg/ml
Glucose 5% 1982
съвместим
Инжекция/Инжекционен Anidulafungin 0.5 mg/ml
Инжекция/Инжекционен Piperacillin sodium / tazobactam 40/5 mg/ml
Glucose 5% 1982
Мътността за 15 минути Несъвместим
Инжекция/Инжекционен Anidulafungin 0,77 mg/ml
Инжекция/Инжекционен Plazomicin sulfate 24 mg/ml
Sodium chloride 0,9% 4145
съвместим
Инжекция/Инжекционен Anidulafungin 0.5 mg/ml
Инжекция/Инжекционен Potassium chloride 0.1 mEq/l
Glucose 5% 1982
съвместим
Инжекция/Инжекционен Anidulafungin 0.5 mg/ml
Инжекция/Инжекционен Quinupristine/dalfopristine 5 mg/ml
Glucose 5% 1982
съвместим
Инжекция/Инжекционен Anidulafungin 0.5 mg/ml
Инжекция/Инжекционен Ranitidine hydrochloride 2 mg/ml
Glucose 5% 1982
Незабавна мътност Несъвместим
Инжекция/Инжекционен Anidulafungin 0.5 mg/ml
Инжекция/Инжекционен Sodium bicarbonate 84 mg/ml
Glucose 5% 1982
съвместим
Инжекция/Инжекционен Anidulafungin 0,77 mg/ml
Инжекция/Инжекционен Sulbactam/durlobactam 15/15 mg/ml
Sodium chloride 0,9% 4801
съвместим
Инжекция/Инжекционен Anidulafungin 0.5 mg/ml
Инжекция/Инжекционен Tacrolimus 20 µg/ml
Glucose 5% 1982
съвместим
Инжекция/Инжекционен Anidulafungin 0.77 mg/ml
Инжекция/Инжекционен Tedizolid phosphate 0.8 mg/ml
Sodium chloride 0,9% 3827
съвместим
Инжекция/Инжекционен Anidulafungin 0.5 mg/ml
Инжекция/Инжекционен Ticarcillin / clavulanic acid 31 mg/ml
Glucose 5% 1982
съвместим
Инжекция/Инжекционен Anidulafungin 0.5 mg/ml
Инжекция/Инжекционен Tobramycin sulfate 5 mg/ml
Glucose 5% 1982
съвместим
Инжекция/Инжекционен Anidulafungin 0.5 mg/ml
Инжекция/Инжекционен Vancomycin hydrochloride 10 mg/ml
Glucose 5% 1982
съвместим
Инжекция/Инжекционен Anidulafungin 0.5 mg/ml
Инжекция/Инжекционен Vincristine sulfate 0.05 mg/ml
Glucose 5% 1982
съвместим
Инжекция/Инжекционен Anidulafungin 0.5 mg/ml
Инжекция/Инжекционен Voriconazole 4 mg/ml
Glucose 5% 1982
съвместим
Инжекция/Инжекционен Anidulafungin
Sodium chloride 0,9% 3567
съвместим
Инжекция/Инжекционен Anidulafungin 0.5 mg/ml
Инжекция/Инжекционен Zidovudine 4 mg/ml
Glucose 5% 1982
Незабавна мътност Несъвместим
Инжекция/Инжекционен Anidulafungin 0.5 mg/ml
NaHCO3 1982

  Mentions Légales