Pēdējā atjaunošana :
27/01/2026
Pretsēnīšu līdzeklis   Anidulafungin  
Injekcija
Šķīduma stabilitāte Maisījuma stabilitāte Stabilitāti ietekmējoši faktori Saderība Levadīšanas veids Literatūras saraksts pdf
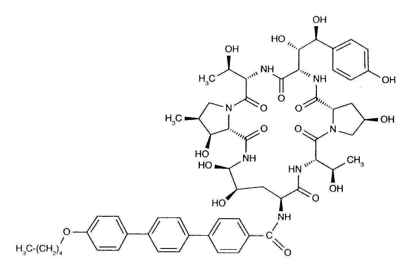
   Ķīmiskā uzbūve   

Oriģinālais nosaukums   Oriģinālais nosaukums     

Tirdzniecības nosaukumi ir apzīmējoši un palīgvielas var atšķirties dažādām valstīm un laboratorijām

Anidulafungin Beļģija, Lielbritānija, Vācija
Anidulafungina Brazīlija, Spānija
Ecalta Amerikas Savienotās Valstis, Argentīna, Beļģija, Brazīlija, Čīle, Dānija, Francija, Grieķija, Holande, Itālija, Kanāda, Kolumbija, Lielbritānija, Luksemburga, Malaizija, Norvēģija, Peru, Polija, Rumānija, Somija, Spānija, Šveice, Turcija, Ungārija, Vācija, Venecuēla, Zviedrija
Equalta Meksika
Eraxis Amerikas Savienotās Valstis, Austrālija, Kanāda
Fuzig Meksika
Saderība   Injekcija   Saderība : Anidulafungin              
Šī tabula parāda zāļu saderību vai nesaderību, pēc iespējas arī nesaderības tipu (precipitācija, krāsas maiņa, emulsijas sadalīšanās utt). Parādītas šeit saderības ir pārsvarā tikai fizikālās, pēc iespējas tiek parādīta ķīmiskā stabilitāte katrai molekulai. Šo maisījumu analīze tikai veikta, lai izprastu iespējamību ievadīt zāles Y-savienojuma vietā sistēmā pacientam. Šie dati nevar tikt izmantoti, lai pagatavot zāļu maisījumus vēlākai lietošanai maisos vai šļircēs. Šī informācija ir pieejama sadaļā "Maisījuma stabilitāte".
Savienojums Šķīdinātājs Literatūras saraksts
Savietojams
Injekcija Anidulafungin 0.5 mg/ml
Injekcija Aciclovir sodium 7 mg/ml
5% glikoze 1982
Savietojams
Injekcija Anidulafungin 0.5 mg/ml
Injekcija Amikacin sulfate 5 mg/ml
5% glikoze 1982
Savietojams
Injekcija Anidulafungin 0.5 mg/ml
Injekcija Aminophylline 2.5 mg/ml
5% glikoze 1982
Tūlītēja duļķainība Nesavienojams
Injekcija Anidulafungin 0,5 mg/ml
Injekcija Amphotericin B 0,6 mg/ml
5% glikoze 1982
Savietojams
Injekcija Anidulafungin 0.5 mg/ml
Injekcija Amphotericin B cholesteryl sulfate complex 1 mg/ml
5% glikoze 1982
Savietojams
Injekcija Anidulafungin 0.5 mg/ml
Injekcija Amphotericin B liposomale 1 mg/ml
5% glikoze 1982
Savietojams
Injekcija Anidulafungin 0.5 mg/ml
Injekcija Ampicillin sodium 20 mg/ml
5% glikoze 1982
Savietojams
Injekcija Anidulafungin 0.5 mg/ml
Injekcija Ampicillin sodium - sulbactam sodium 20/10 mg/ml
5% glikoze 1982
Savietojams
Injekcija Anidulafungin 0.5 mg/ml
Injekcija Carboplatin 5 mg/ml
5% glikoze 1982
Savietojams
Injekcija Anidulafungin 0.5 mg/ml
Injekcija Cefazolin sodium 20 mg/ml
5% glikoze 1982
Savietojams
Injekcija Anidulafungin 0.5 mg/ml
Injekcija Cefepime dihydrochloride 20 mg/ml
5% glikoze 1982
Savietojams
Injekcija Anidulafungin 0.77 mg/ml
Injekcija Cefiderocol sulfate tosylate 20 mg/mL
Nātrija hlorīds 0.9% 4528
Savietojams
Injekcija Anidulafungin 0.77 mg/ml
Injekcija Cefiderocol sulfate tosylate 20 mg/mL
5% glikoze 4528
Savietojams
Injekcija Anidulafungin 0.5 mg/ml
Injekcija Cefoxitin sodium 20 mg/ml
5% glikoze 1982
Savietojams
Injekcija Anidulafungin 0.5 mg/ml
Injekcija Ceftazidime 40 mg/ml
5% glikoze 1982
Savietojams
Injekcija Anidulafungin 0.5 mg/ml
Injekcija Ceftizoxime sodium 20 mg/ml
5% glikoze 1982
Savietojams
Injekcija Anidulafungin 0.77 mg/ml
Injekcija Ceftolozane / tazobactam 10/5 mg/ml
Nātrija hlorīds 0.9% 3828
Savietojams
Injekcija Anidulafungin 0.77 mg/ml
Injekcija Ceftolozane / tazobactam 10/5 mg/ml
5% glikoze 3828
Savietojams
Injekcija Anidulafungin 0.5 mg/ml
Injekcija Ceftriaxone disodium 20 mg/ml
5% glikoze 1982
Savietojams
Injekcija Anidulafungin 0.5 mg/ml
Injekcija Cefuroxime sodium 30 mg/ml
5% glikoze 1982
Savietojams
Injekcija Anidulafungin 0.5 mg/ml
Injekcija Ciclosporin 5 mg/ml
5% glikoze 1982
Savietojams
Injekcija Anidulafungin 0.5 mg/ml
Injekcija Cimetidine hydrochloride 12 mg/ml
5% glikoze 1982
Savietojams
Injekcija Anidulafungin 0.5 mg/ml
Injekcija Ciprofloxacin lactate 2 mg/ml
5% glikoze 1982
Savietojams
Injekcija Anidulafungin 0.5 mg/ml
Injekcija Cisplatin 1 mg/ml
5% glikoze 1982
Savietojams
Injekcija Anidulafungin 0.5 mg/ml
Injekcija Clindamycin phosphate 10 mg/ml
5% glikoze 1982
Savietojams
Injekcija Anidulafungin 0.5 mg/ml
Injekcija Co-trimoxazole 4/0.8 mg/ml
5% glikoze 1982
Savietojams
Injekcija Anidulafungin 0.5 mg/ml
Injekcija Cyclophosphamide 10 mg/ml
5% glikoze 1982
Savietojams
Injekcija Anidulafungin 0.5 mg/ml
Injekcija Cytarabine 50 mg/ml
5% glikoze 1982
Savietojams
Injekcija Anidulafungin 0.5 mg/ml
Injekcija Daunorubicin hydrochloride 1 mg/ml
5% glikoze 1982
Savietojams
Injekcija Anidulafungin 0.5 mg/ml
Injekcija Dexamethasone sodium phosphate 1 mg/ml
5% glikoze 1982
Savietojams
Injekcija Anidulafungin 0.5 mg/ml
Injekcija Digoxin 250 µg/ml
5% glikoze 1982
Savietojams
Injekcija Anidulafungin 0.5 mg/ml
Injekcija Dobutamine hydrochloride 4 mg/ml
5% glikoze 1982
Savietojams
Injekcija Anidulafungin 0.5 mg/ml
Injekcija Docetaxel 2 mg/ml
5% glikoze 1982
Savietojams
Injekcija Anidulafungin 0.5 mg/ml
Injekcija Dopamine hydrochloride 3.2 mg/ml
5% glikoze 1982
Savietojams
Injekcija Anidulafungin 0,5 mg/ml
Injekcija Doripenem 5 mg/ml
Nātrija hlorīds 0.9% 2262
Savietojams
Injekcija Anidulafungin 0,5 mg/ml
Injekcija Doripenem 5 mg/ml
5% glikoze 2262
Savietojams
Injekcija Anidulafungin 0.5 mg/ml
Injekcija Doxorubicin hydrochloride 2 mg/ml
5% glikoze 1982
Savietojams
Injekcija Anidulafungin 0.5 mg/ml
Injekcija Epinephrine hydrochloride 50 µg/ml
5% glikoze 1982
Tūlītēji nokrišņi Nesavienojams
Injekcija Anidulafungin 0.5 mg/ml
Injekcija Ertapenem 20 mg/ml
5% glikoze 1982
Savietojams
Injekcija Anidulafungin 0.5 mg/ml
Injekcija Erythromycin lactobionate 5 mg/ml
5% glikoze 1982
Savietojams
Injekcija Anidulafungin 0.5 mg/ml
Injekcija Etoposide phosphate 5 mg/ml
5% glikoze 1982
Savietojams
Injekcija Anidulafungin 0.5 mg/ml
Injekcija Famotidine 2 mg/ml
5% glikoze 1982
Savietojams
Injekcija Anidulafungin 0.5 mg/ml
Injekcija Fentanyl citrate 50 µg/ml
5% glikoze 1982
Savietojams
Injekcija Anidulafungin 0.5 mg/ml
Injekcija Fluconazole 2 mg/ml
5% glikoze 1982
Savietojams
Injekcija Anidulafungin 0.5 mg/ml
Injekcija Fluorouracil 16 mg/ml
5% glikoze 1982
Savietojams
Injekcija Anidulafungin 0.5 mg/ml
Injekcija Folinate calcium 2 mg/ml
5% glikoze 1982
Nokrišņi pēc 1 stundas Nesavienojams
Injekcija Anidulafungin 0,77 mg/ml
Injekcija Fosfomycin 30 mg/ml
Nātrija hlorīds 0.9% 4055
Nokrišņi pēc 15 minūtēm Nesavienojams
Injekcija Anidulafungin 0,77 mg/ml
Injekcija Fosfomycin 30 mg/ml
5% glikoze 4055
Savietojams
Injekcija Anidulafungin 0.5 mg/ml
Injekcija Furosemide 3 mg/ml
5% glikoze 1982
Savietojams
Injekcija Anidulafungin 0.5 mg/ml
Injekcija Ganciclovir sodium 20 mg/ml
5% glikoze 1982
Savietojams
Injekcija Anidulafungin 0.5 mg/ml
Injekcija Gemcitabine hydrochloride 10 mg/ml
5% glikoze 1982
Savietojams
Injekcija Anidulafungin 0.5 mg/ml
Injekcija Gentamicin sulfate 5 mg/ml
5% glikoze 1982
Savietojams
Injekcija Anidulafungin 0.5 mg/ml
Injekcija Heparin sodium 100 UI/ml
5% glikoze 1982
Savietojams
Injekcija Anidulafungin 0.5 mg/ml
Injekcija Hydrocortisone sodium succinate 1 mg/ml
5% glikoze 1982
Savietojams
Injekcija Anidulafungin 0.5 mg/ml
Injekcija Ifosfamide 25 mg/ml
5% glikoze 1982
Savietojams
Injekcija Anidulafungin
5% glikoze 3567
Savietojams
Injekcija Anidulafungin 0.5 mg/ml
Injekcija Hydromorphone hydrochloride 0.5 mg/ml
5% glikoze 1982
Savietojams
Injekcija Anidulafungin 0.5 mg/ml
Injekcija Imipenem - cilastatin sodium 5 mg/ml
5% glikoze 1982
Savietojams
Injekcija Anidulafungin 0.77 mg/ml
Injekcija Isavuconazonium sulfate 1.5 mg/ml
Nātrija hlorīds 0.9% 3829
Savietojams
Injekcija Anidulafungin 0.77 mg/ml
Injekcija Isavuconazonium sulfate 1.5 mg/ml
5% glikoze 3829
Savietojams
Injekcija Anidulafungin 0.5 mg/ml
Injekcija Levofloxacine 5 mg/ml
5% glikoze 1982
Savietojams
Injekcija Anidulafungin 0.5 mg/ml
Injekcija Linezolid 2 mg/ml
5% glikoze 1982
Savietojams
Injekcija Anidulafungin 0.5 mg/ml
Injekcija Meropenem 2.5 mg/ml
5% glikoze 1982
Savietojams
Injekcija Anidulafungin 0.5 mg/ml
Injekcija Methylprednisolone sodium succinate 5 mg/ml
5% glikoze 1982
Savietojams
Injekcija Anidulafungin 0.5 mg/ml
Injekcija Metronidazole 5 mg/ml
5% glikoze 1982
Savietojams
Injekcija Anidulafungin 0.5 mg/ml
Injekcija Midazolam hydrochloride 1 mg/ml
5% glikoze 1982
Savietojams
Injekcija Anidulafungin 0.5 mg/ml
Injekcija Morphine sulfate 15 mg/ml
5% glikoze 1982
Savietojams
Injekcija Anidulafungin 0.5 mg/ml
Injekcija Mycophenolate mofetil 6 mg/ml
5% glikoze 1982
Savietojams
Injekcija Anidulafungin 0.5 mg/ml
Injekcija Paclitaxel 0.6 mg/ml
5% glikoze 1982
Savietojams
Injekcija Anidulafungin 0.5 mg/ml
Injekcija Pantoprazole sodium 0.4 mg/ml
5% glikoze 1982
Savietojams
Injekcija Anidulafungin 0.5 mg/ml
Injekcija Pethidine hydrochloride 10 mg/ml
5% glikoze 1982
Savietojams
Injekcija Anidulafungin 0.5 mg/ml
Injekcija Phenylephrine hydrochloride 1 mg/ml
5% glikoze 1982
Savietojams
Injekcija Anidulafungin 0.5 mg/ml
Injekcija Piperacillin sodium / tazobactam 40/5 mg/ml
5% glikoze 1982
Duļķainība 15 minūtēs Nesavienojams
Injekcija Anidulafungin 0,77 mg/ml
Injekcija Plazomicin sulfate 24 mg/ml
Nātrija hlorīds 0.9% 4145
Savietojams
Injekcija Anidulafungin 0.5 mg/ml
Injekcija Potassium chloride 0.1 mEq/l
5% glikoze 1982
Savietojams
Injekcija Anidulafungin 0.5 mg/ml
Injekcija Quinupristine/dalfopristine 5 mg/ml
5% glikoze 1982
Savietojams
Injekcija Anidulafungin 0.5 mg/ml
Injekcija Ranitidine hydrochloride 2 mg/ml
5% glikoze 1982
Tūlītēja duļķainība Nesavienojams
Injekcija Anidulafungin 0.5 mg/ml
Injekcija Sodium bicarbonate 84 mg/ml
5% glikoze 1982
Savietojams
Injekcija Anidulafungin 0,77 mg/ml
Injekcija Sulbactam/durlobactam 15/15 mg/ml
Nātrija hlorīds 0.9% 4801
Savietojams
Injekcija Anidulafungin 0.5 mg/ml
Injekcija Tacrolimus 20 µg/ml
5% glikoze 1982
Savietojams
Injekcija Anidulafungin 0.77 mg/ml
Injekcija Tedizolid phosphate 0.8 mg/ml
Nātrija hlorīds 0.9% 3827
Savietojams
Injekcija Anidulafungin 0.5 mg/ml
Injekcija Ticarcillin / clavulanic acid 31 mg/ml
5% glikoze 1982
Savietojams
Injekcija Anidulafungin 0.5 mg/ml
Injekcija Tobramycin sulfate 5 mg/ml
5% glikoze 1982
Savietojams
Injekcija Anidulafungin 0.5 mg/ml
Injekcija Vancomycin hydrochloride 10 mg/ml
5% glikoze 1982
Savietojams
Injekcija Anidulafungin 0.5 mg/ml
Injekcija Vincristine sulfate 0.05 mg/ml
5% glikoze 1982
Savietojams
Injekcija Anidulafungin 0.5 mg/ml
Injekcija Voriconazole 4 mg/ml
5% glikoze 1982
Savietojams
Injekcija Anidulafungin
Nātrija hlorīds 0.9% 3567
Savietojams
Injekcija Anidulafungin 0.5 mg/ml
Injekcija Zidovudine 4 mg/ml
5% glikoze 1982
Tūlītēja duļķainība Nesavienojams
Injekcija Anidulafungin 0.5 mg/ml
NaHCO3 1982

  Mentions Légales