最新更新 :
27/01/2026
抗真菌药   Anidulafungin  
注射液
溶液稳定性 混合物稳定性 影响稳定性的因素 兼容性 用药途径 引用文献 PDF
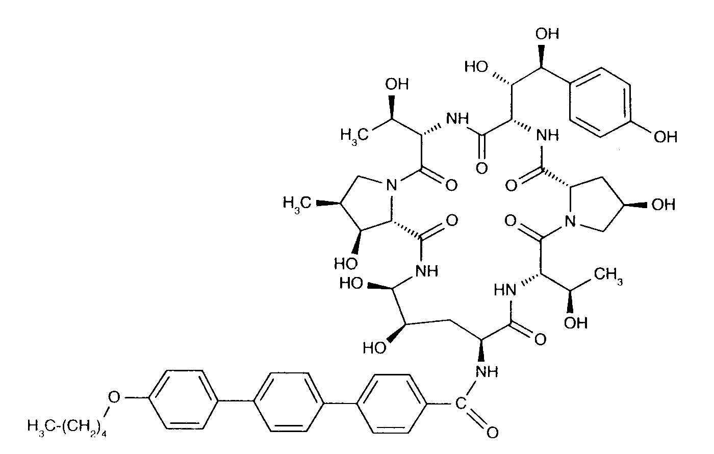
   化学式  

商品名   商品名     

商品名仅供参考, 药品所用的辅料可能依国家或厂商不同有所不同。

Anidulafungin 德国, 比利时, 英国
Anidulafungina 巴西, 西班牙
Ecalta 丹麦, 加拿大, 匈牙利, 卢森堡, 哥伦比亚, 土耳其, 委内瑞拉, 巴西, 希腊, 德国, 意大利, 挪威, 智利, 比利时, 法国, 波兰, 瑞典, 瑞士, 秘鲁, 罗马尼亚, 美国, 芬兰, 英国, 荷兰, 西班牙, 阿根廷, 马来西亚
Equalta 墨西哥
Eraxis 加拿大, 澳大利亚, 美国
Fuzig 墨西哥
兼容性   注射液   兼容性 : Anidulafungin              
This screen indicates the compatibilities or incompatibilities with, in this case, the type of incompatibility (precipitation, color change, modification of an emulsion, etc.). The compatibilities shown here are mostly physical only, with the chemical stability of each molecule rarely being assessed. The evaluation of these mixtures was studied to consider the possibility of Y-site administration to the patient. These data cannot be used for making mixtures in advance in bags or syringes. This type of information is available in the screen "Stability in mixture ».
分子 溶剂 引用文献
兼容
注射液 Anidulafungin 0.5 mg/ml
注射液 Aciclovir sodium 7 mg/ml
葡萄糖5% 1982
兼容
注射液 Anidulafungin 0.5 mg/ml
注射液 Amikacin sulfate 5 mg/ml
葡萄糖5% 1982
兼容
注射液 Anidulafungin 0.5 mg/ml
注射液 Aminophylline 2.5 mg/ml
葡萄糖5% 1982
立即渾濁 不相容
注射液 Anidulafungin 0,5 mg/ml
注射液 Amphotericin B 0,6 mg/ml
葡萄糖5% 1982
兼容
注射液 Anidulafungin 0.5 mg/ml
注射液 Amphotericin B cholesteryl sulfate complex 1 mg/ml
葡萄糖5% 1982
兼容
注射液 Anidulafungin 0.5 mg/ml
注射液 Amphotericin B liposomale 1 mg/ml
葡萄糖5% 1982
兼容
注射液 Anidulafungin 0.5 mg/ml
注射液 Ampicillin sodium 20 mg/ml
葡萄糖5% 1982
兼容
注射液 Anidulafungin 0.5 mg/ml
注射液 Ampicillin sodium - sulbactam sodium 20/10 mg/ml
葡萄糖5% 1982
兼容
注射液 Anidulafungin 0.5 mg/ml
注射液 Carboplatin 5 mg/ml
葡萄糖5% 1982
兼容
注射液 Anidulafungin 0.5 mg/ml
注射液 Cefazolin sodium 20 mg/ml
葡萄糖5% 1982
兼容
注射液 Anidulafungin 0.5 mg/ml
注射液 Cefepime dihydrochloride 20 mg/ml
葡萄糖5% 1982
兼容
注射液 Anidulafungin 0.77 mg/ml
注射液 Cefiderocol sulfate tosylate 20 mg/mL
NaCl 0,9% 4528
兼容
注射液 Anidulafungin 0.77 mg/ml
注射液 Cefiderocol sulfate tosylate 20 mg/mL
葡萄糖5% 4528
兼容
注射液 Anidulafungin 0.5 mg/ml
注射液 Cefoxitin sodium 20 mg/ml
葡萄糖5% 1982
兼容
注射液 Anidulafungin 0.5 mg/ml
注射液 Ceftazidime 40 mg/ml
葡萄糖5% 1982
兼容
注射液 Anidulafungin 0.5 mg/ml
注射液 Ceftizoxime sodium 20 mg/ml
葡萄糖5% 1982
兼容
注射液 Anidulafungin 0.77 mg/ml
注射液 Ceftolozane / tazobactam 10/5 mg/ml
NaCl 0,9% 3828
兼容
注射液 Anidulafungin 0.77 mg/ml
注射液 Ceftolozane / tazobactam 10/5 mg/ml
葡萄糖5% 3828
兼容
注射液 Anidulafungin 0.5 mg/ml
注射液 Ceftriaxone disodium 20 mg/ml
葡萄糖5% 1982
兼容
注射液 Anidulafungin 0.5 mg/ml
注射液 Cefuroxime sodium 30 mg/ml
葡萄糖5% 1982
兼容
注射液 Anidulafungin 0.5 mg/ml
注射液 Ciclosporin 5 mg/ml
葡萄糖5% 1982
兼容
注射液 Anidulafungin 0.5 mg/ml
注射液 Cimetidine hydrochloride 12 mg/ml
葡萄糖5% 1982
兼容
注射液 Anidulafungin 0.5 mg/ml
注射液 Ciprofloxacin lactate 2 mg/ml
葡萄糖5% 1982
兼容
注射液 Anidulafungin 0.5 mg/ml
注射液 Cisplatin 1 mg/ml
葡萄糖5% 1982
兼容
注射液 Anidulafungin 0.5 mg/ml
注射液 Clindamycin phosphate 10 mg/ml
葡萄糖5% 1982
兼容
注射液 Anidulafungin 0.5 mg/ml
注射液 Co-trimoxazole 4/0.8 mg/ml
葡萄糖5% 1982
兼容
注射液 Anidulafungin 0.5 mg/ml
注射液 Cyclophosphamide 10 mg/ml
葡萄糖5% 1982
兼容
注射液 Anidulafungin 0.5 mg/ml
注射液 Cytarabine 50 mg/ml
葡萄糖5% 1982
兼容
注射液 Anidulafungin 0.5 mg/ml
注射液 Daunorubicin hydrochloride 1 mg/ml
葡萄糖5% 1982
兼容
注射液 Anidulafungin 0.5 mg/ml
注射液 Dexamethasone sodium phosphate 1 mg/ml
葡萄糖5% 1982
兼容
注射液 Anidulafungin 0.5 mg/ml
注射液 Digoxin 250 µg/ml
葡萄糖5% 1982
兼容
注射液 Anidulafungin 0.5 mg/ml
注射液 Dobutamine hydrochloride 4 mg/ml
葡萄糖5% 1982
兼容
注射液 Anidulafungin 0.5 mg/ml
注射液 Docetaxel 2 mg/ml
葡萄糖5% 1982
兼容
注射液 Anidulafungin 0.5 mg/ml
注射液 Dopamine hydrochloride 3.2 mg/ml
葡萄糖5% 1982
兼容
注射液 Anidulafungin 0,5 mg/ml
注射液 Doripenem 5 mg/ml
NaCl 0,9% 2262
兼容
注射液 Anidulafungin 0,5 mg/ml
注射液 Doripenem 5 mg/ml
葡萄糖5% 2262
兼容
注射液 Anidulafungin 0.5 mg/ml
注射液 Doxorubicin hydrochloride 2 mg/ml
葡萄糖5% 1982
兼容
注射液 Anidulafungin 0.5 mg/ml
注射液 Epinephrine hydrochloride 50 µg/ml
葡萄糖5% 1982
立即沉澱 不相容
注射液 Anidulafungin 0.5 mg/ml
注射液 Ertapenem 20 mg/ml
葡萄糖5% 1982
兼容
注射液 Anidulafungin 0.5 mg/ml
注射液 Erythromycin lactobionate 5 mg/ml
葡萄糖5% 1982
兼容
注射液 Anidulafungin 0.5 mg/ml
注射液 Etoposide phosphate 5 mg/ml
葡萄糖5% 1982
兼容
注射液 Anidulafungin 0.5 mg/ml
注射液 Famotidine 2 mg/ml
葡萄糖5% 1982
兼容
注射液 Anidulafungin 0.5 mg/ml
注射液 Fentanyl citrate 50 µg/ml
葡萄糖5% 1982
兼容
注射液 Anidulafungin 0.5 mg/ml
注射液 Fluconazole 2 mg/ml
葡萄糖5% 1982
兼容
注射液 Anidulafungin 0.5 mg/ml
注射液 Fluorouracil 16 mg/ml
葡萄糖5% 1982
兼容
注射液 Anidulafungin 0.5 mg/ml
注射液 Folinate calcium 2 mg/ml
葡萄糖5% 1982
1小時後析出 不相容
注射液 Anidulafungin 0,77 mg/ml
注射液 Fosfomycin 30 mg/ml
NaCl 0,9% 4055
15分鐘後析出 不相容
注射液 Anidulafungin 0,77 mg/ml
注射液 Fosfomycin 30 mg/ml
葡萄糖5% 4055
兼容
注射液 Anidulafungin 0.5 mg/ml
注射液 Furosemide 3 mg/ml
葡萄糖5% 1982
兼容
注射液 Anidulafungin 0.5 mg/ml
注射液 Ganciclovir sodium 20 mg/ml
葡萄糖5% 1982
兼容
注射液 Anidulafungin 0.5 mg/ml
注射液 Gemcitabine hydrochloride 10 mg/ml
葡萄糖5% 1982
兼容
注射液 Anidulafungin 0.5 mg/ml
注射液 Gentamicin sulfate 5 mg/ml
葡萄糖5% 1982
兼容
注射液 Anidulafungin 0.5 mg/ml
注射液 Heparin sodium 100 UI/ml
葡萄糖5% 1982
兼容
注射液 Anidulafungin 0.5 mg/ml
注射液 Hydrocortisone sodium succinate 1 mg/ml
葡萄糖5% 1982
兼容
注射液 Anidulafungin 0.5 mg/ml
注射液 Ifosfamide 25 mg/ml
葡萄糖5% 1982
兼容
注射液 Anidulafungin
葡萄糖5% 3567
兼容
注射液 Anidulafungin 0.5 mg/ml
注射液 Hydromorphone hydrochloride 0.5 mg/ml
葡萄糖5% 1982
兼容
注射液 Anidulafungin 0.5 mg/ml
注射液 Imipenem - cilastatin sodium 5 mg/ml
葡萄糖5% 1982
兼容
注射液 Anidulafungin 0.77 mg/ml
注射液 Isavuconazonium sulfate 1.5 mg/ml
NaCl 0,9% 3829
兼容
注射液 Anidulafungin 0.77 mg/ml
注射液 Isavuconazonium sulfate 1.5 mg/ml
葡萄糖5% 3829
兼容
注射液 Anidulafungin 0.5 mg/ml
注射液 Levofloxacine 5 mg/ml
葡萄糖5% 1982
兼容
注射液 Anidulafungin 0.5 mg/ml
注射液 Linezolid 2 mg/ml
葡萄糖5% 1982
兼容
注射液 Anidulafungin 0.5 mg/ml
注射液 Meropenem 2.5 mg/ml
葡萄糖5% 1982
兼容
注射液 Anidulafungin 0.5 mg/ml
注射液 Methylprednisolone sodium succinate 5 mg/ml
葡萄糖5% 1982
兼容
注射液 Anidulafungin 0.5 mg/ml
注射液 Metronidazole 5 mg/ml
葡萄糖5% 1982
兼容
注射液 Anidulafungin 0.5 mg/ml
注射液 Midazolam hydrochloride 1 mg/ml
葡萄糖5% 1982
兼容
注射液 Anidulafungin 0.5 mg/ml
注射液 Morphine sulfate 15 mg/ml
葡萄糖5% 1982
兼容
注射液 Anidulafungin 0.5 mg/ml
注射液 Mycophenolate mofetil 6 mg/ml
葡萄糖5% 1982
兼容
注射液 Anidulafungin 0.5 mg/ml
注射液 Paclitaxel 0.6 mg/ml
葡萄糖5% 1982
兼容
注射液 Anidulafungin 0.5 mg/ml
注射液 Pantoprazole sodium 0.4 mg/ml
葡萄糖5% 1982
兼容
注射液 Anidulafungin 0.5 mg/ml
注射液 Pethidine hydrochloride 10 mg/ml
葡萄糖5% 1982
兼容
注射液 Anidulafungin 0.5 mg/ml
注射液 Phenylephrine hydrochloride 1 mg/ml
葡萄糖5% 1982
兼容
注射液 Anidulafungin 0.5 mg/ml
注射液 Piperacillin sodium / tazobactam 40/5 mg/ml
葡萄糖5% 1982
15分鐘內渾濁 不相容
注射液 Anidulafungin 0,77 mg/ml
注射液 Plazomicin sulfate 24 mg/ml
NaCl 0,9% 4145
兼容
注射液 Anidulafungin 0.5 mg/ml
注射液 Potassium chloride 0.1 mEq/l
葡萄糖5% 1982
兼容
注射液 Anidulafungin 0.5 mg/ml
注射液 Quinupristine/dalfopristine 5 mg/ml
葡萄糖5% 1982
兼容
注射液 Anidulafungin 0.5 mg/ml
注射液 Ranitidine hydrochloride 2 mg/ml
葡萄糖5% 1982
立即渾濁 不相容
注射液 Anidulafungin 0.5 mg/ml
注射液 Sodium bicarbonate 84 mg/ml
葡萄糖5% 1982
兼容
注射液 Anidulafungin 0,77 mg/ml
注射液 Sulbactam/durlobactam 15/15 mg/ml
NaCl 0,9% 4801
兼容
注射液 Anidulafungin 0.5 mg/ml
注射液 Tacrolimus 20 µg/ml
葡萄糖5% 1982
兼容
注射液 Anidulafungin 0.77 mg/ml
注射液 Tedizolid phosphate 0.8 mg/ml
NaCl 0,9% 3827
兼容
注射液 Anidulafungin 0.5 mg/ml
注射液 Ticarcillin / clavulanic acid 31 mg/ml
葡萄糖5% 1982
兼容
注射液 Anidulafungin 0.5 mg/ml
注射液 Tobramycin sulfate 5 mg/ml
葡萄糖5% 1982
兼容
注射液 Anidulafungin 0.5 mg/ml
注射液 Vancomycin hydrochloride 10 mg/ml
葡萄糖5% 1982
兼容
注射液 Anidulafungin 0.5 mg/ml
注射液 Vincristine sulfate 0.05 mg/ml
葡萄糖5% 1982
兼容
注射液 Anidulafungin 0.5 mg/ml
注射液 Voriconazole 4 mg/ml
葡萄糖5% 1982
兼容
注射液 Anidulafungin
NaCl 0,9% 3567
兼容
注射液 Anidulafungin 0.5 mg/ml
注射液 Zidovudine 4 mg/ml
葡萄糖5% 1982
立即渾濁 不相容
注射液 Anidulafungin 0.5 mg/ml
NaHCO3 1982

  Mentions Légales