Zadnji put ažurirano :
27/01/2026
antifungicid   Anidulafungin  
injekcija
Stabilizacija rješenja Stabilnost mješavine Stabilizacijski faktor Kompatibilnosti način davanja lijeka Bibliografija pdf
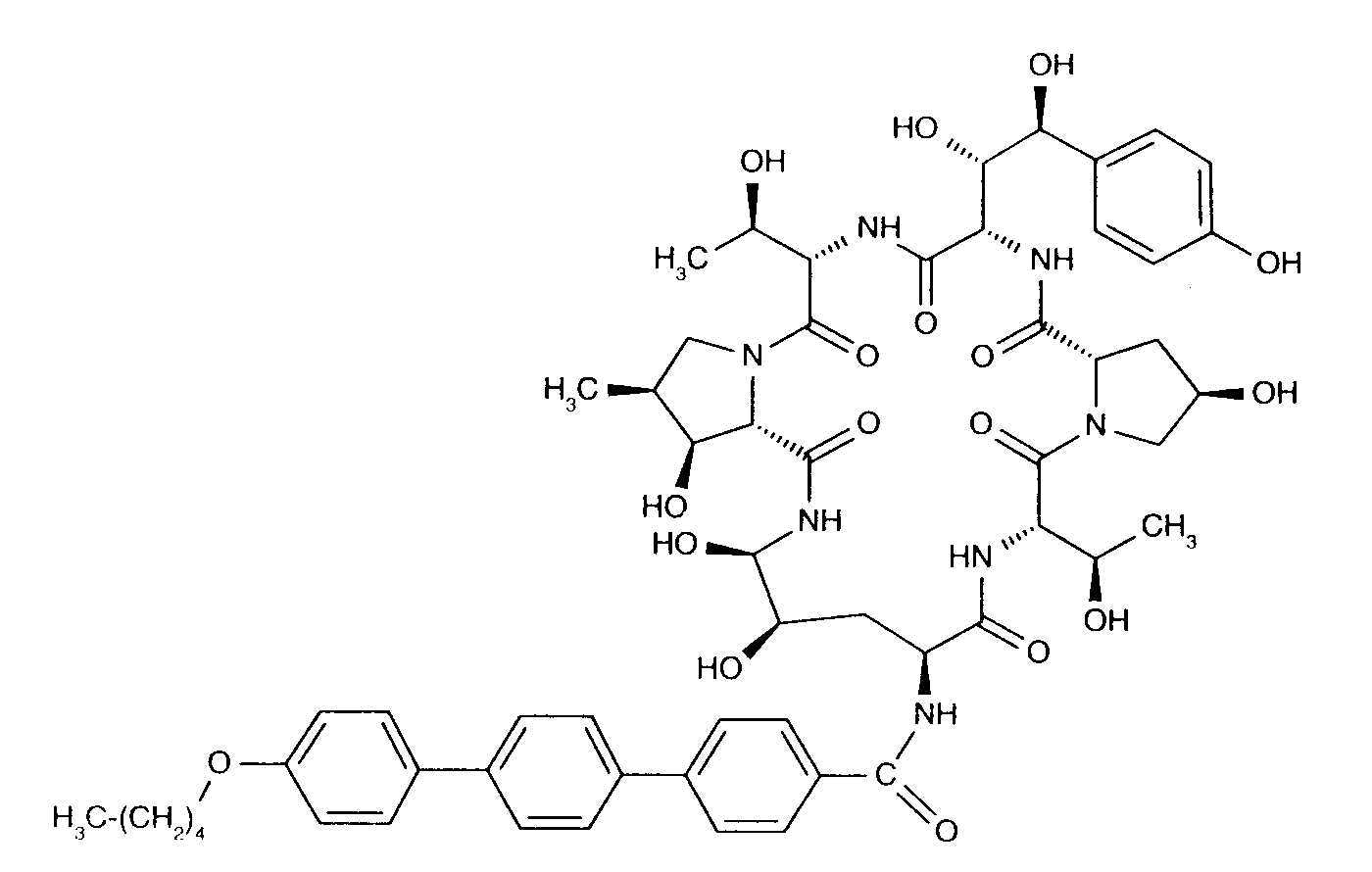
   Kemijska struktura  

Nekomercijalni   Nekomercijalni     

Zaštićeni nazivi su indikativni i sastav ekscipijensa može biti različit ovisno o državi i laboratorijima

Anidulafungin Belgija, Njemačka, Velika Britanija
Anidulafungina Brazil, Španjolska
Ecalta Argentina, Belgija, Brazil, Čile, Danska, Finska, Francuska, Grčka, Italija, Kanada, Kolumbija, Luksemburg, Madžarska, Malezija, Nizozemska, Njemačka, Norveška, Peru, Poljska, Rumunjska, S A D, Španjolska, Švedska, Švicarska, Turska, Velika Britanija, Venecuela
Equalta Meksiko
Eraxis Australija, Kanada, S A D
Fuzig Meksiko
Kompatibilnosti   injekcija   Kompatibilnosti : Anidulafungin              
Ovdje su prikazane kompatibilnosti ili nekompatibilnosti s tipom nekompatibilnosti (taloženje, promjena boje, modifikacija emulzije itd.) u ovom slučaju. Kompatibilnosti prikazane ovdje najčešće su fizikalne dok se kemijska stabilnost molekule rijetko procjenjuje. Procjena ovih mikstura je proučavana kako bi se razmotrila mogućnost primjene lijeka putem Y-mjesta. Ovi se podaci ne smiju koristiti za pripremu mikstura unaprijed u vrećicama ili štrcaljkama. Ova vrsta informacije se može pronaći u odjeljku « stabilnost u miksturama ».
molekula sredstvo za rastapanje Bibliografija
Kompatibilan
injekcija Anidulafungin 0.5 mg/ml
injekcija Aciclovir sodium 7 mg/ml
glukoza 5% 1982
Kompatibilan
injekcija Anidulafungin 0.5 mg/ml
injekcija Amikacin sulfate 5 mg/ml
glukoza 5% 1982
Kompatibilan
injekcija Anidulafungin 0.5 mg/ml
injekcija Aminophylline 2.5 mg/ml
glukoza 5% 1982
Neposredna zamućenost inkompatibilan
injekcija Anidulafungin 0,5 mg/ml
injekcija Amphotericin B 0,6 mg/ml
glukoza 5% 1982
Kompatibilan
injekcija Anidulafungin 0.5 mg/ml
injekcija Amphotericin B cholesteryl sulfate complex 1 mg/ml
glukoza 5% 1982
Kompatibilan
injekcija Anidulafungin 0.5 mg/ml
injekcija Amphotericin B liposomale 1 mg/ml
glukoza 5% 1982
Kompatibilan
injekcija Anidulafungin 0.5 mg/ml
injekcija Ampicillin sodium 20 mg/ml
glukoza 5% 1982
Kompatibilan
injekcija Anidulafungin 0.5 mg/ml
injekcija Ampicillin sodium - sulbactam sodium 20/10 mg/ml
glukoza 5% 1982
Kompatibilan
injekcija Anidulafungin 0.5 mg/ml
injekcija Carboplatin 5 mg/ml
glukoza 5% 1982
Kompatibilan
injekcija Anidulafungin 0.5 mg/ml
injekcija Cefazolin sodium 20 mg/ml
glukoza 5% 1982
Kompatibilan
injekcija Anidulafungin 0.5 mg/ml
injekcija Cefepime dihydrochloride 20 mg/ml
glukoza 5% 1982
Kompatibilan
injekcija Anidulafungin 0.77 mg/ml
injekcija Cefiderocol sulfate tosylate 20 mg/mL
natrijumkorid 0,9% 4528
Kompatibilan
injekcija Anidulafungin 0.77 mg/ml
injekcija Cefiderocol sulfate tosylate 20 mg/mL
glukoza 5% 4528
Kompatibilan
injekcija Anidulafungin 0.5 mg/ml
injekcija Cefoxitin sodium 20 mg/ml
glukoza 5% 1982
Kompatibilan
injekcija Anidulafungin 0.5 mg/ml
injekcija Ceftazidime 40 mg/ml
glukoza 5% 1982
Kompatibilan
injekcija Anidulafungin 0.5 mg/ml
injekcija Ceftizoxime sodium 20 mg/ml
glukoza 5% 1982
Kompatibilan
injekcija Anidulafungin 0.77 mg/ml
injekcija Ceftolozane / tazobactam 10/5 mg/ml
natrijumkorid 0,9% 3828
Kompatibilan
injekcija Anidulafungin 0.77 mg/ml
injekcija Ceftolozane / tazobactam 10/5 mg/ml
glukoza 5% 3828
Kompatibilan
injekcija Anidulafungin 0.5 mg/ml
injekcija Ceftriaxone disodium 20 mg/ml
glukoza 5% 1982
Kompatibilan
injekcija Anidulafungin 0.5 mg/ml
injekcija Cefuroxime sodium 30 mg/ml
glukoza 5% 1982
Kompatibilan
injekcija Anidulafungin 0.5 mg/ml
injekcija Ciclosporin 5 mg/ml
glukoza 5% 1982
Kompatibilan
injekcija Anidulafungin 0.5 mg/ml
injekcija Cimetidine hydrochloride 12 mg/ml
glukoza 5% 1982
Kompatibilan
injekcija Anidulafungin 0.5 mg/ml
injekcija Ciprofloxacin lactate 2 mg/ml
glukoza 5% 1982
Kompatibilan
injekcija Anidulafungin 0.5 mg/ml
injekcija Cisplatin 1 mg/ml
glukoza 5% 1982
Kompatibilan
injekcija Anidulafungin 0.5 mg/ml
injekcija Clindamycin phosphate 10 mg/ml
glukoza 5% 1982
Kompatibilan
injekcija Anidulafungin 0.5 mg/ml
injekcija Co-trimoxazole 4/0.8 mg/ml
glukoza 5% 1982
Kompatibilan
injekcija Anidulafungin 0.5 mg/ml
injekcija Cyclophosphamide 10 mg/ml
glukoza 5% 1982
Kompatibilan
injekcija Anidulafungin 0.5 mg/ml
injekcija Cytarabine 50 mg/ml
glukoza 5% 1982
Kompatibilan
injekcija Anidulafungin 0.5 mg/ml
injekcija Daunorubicin hydrochloride 1 mg/ml
glukoza 5% 1982
Kompatibilan
injekcija Anidulafungin 0.5 mg/ml
injekcija Dexamethasone sodium phosphate 1 mg/ml
glukoza 5% 1982
Kompatibilan
injekcija Anidulafungin 0.5 mg/ml
injekcija Digoxin 250 µg/ml
glukoza 5% 1982
Kompatibilan
injekcija Anidulafungin 0.5 mg/ml
injekcija Dobutamine hydrochloride 4 mg/ml
glukoza 5% 1982
Kompatibilan
injekcija Anidulafungin 0.5 mg/ml
injekcija Docetaxel 2 mg/ml
glukoza 5% 1982
Kompatibilan
injekcija Anidulafungin 0.5 mg/ml
injekcija Dopamine hydrochloride 3.2 mg/ml
glukoza 5% 1982
Kompatibilan
injekcija Anidulafungin 0,5 mg/ml
injekcija Doripenem 5 mg/ml
natrijumkorid 0,9% 2262
Kompatibilan
injekcija Anidulafungin 0,5 mg/ml
injekcija Doripenem 5 mg/ml
glukoza 5% 2262
Kompatibilan
injekcija Anidulafungin 0.5 mg/ml
injekcija Doxorubicin hydrochloride 2 mg/ml
glukoza 5% 1982
Kompatibilan
injekcija Anidulafungin 0.5 mg/ml
injekcija Epinephrine hydrochloride 50 µg/ml
glukoza 5% 1982
Neposredne oborine inkompatibilan
injekcija Anidulafungin 0.5 mg/ml
injekcija Ertapenem 20 mg/ml
glukoza 5% 1982
Kompatibilan
injekcija Anidulafungin 0.5 mg/ml
injekcija Erythromycin lactobionate 5 mg/ml
glukoza 5% 1982
Kompatibilan
injekcija Anidulafungin 0.5 mg/ml
injekcija Etoposide phosphate 5 mg/ml
glukoza 5% 1982
Kompatibilan
injekcija Anidulafungin 0.5 mg/ml
injekcija Famotidine 2 mg/ml
glukoza 5% 1982
Kompatibilan
injekcija Anidulafungin 0.5 mg/ml
injekcija Fentanyl citrate 50 µg/ml
glukoza 5% 1982
Kompatibilan
injekcija Anidulafungin 0.5 mg/ml
injekcija Fluconazole 2 mg/ml
glukoza 5% 1982
Kompatibilan
injekcija Anidulafungin 0.5 mg/ml
injekcija Fluorouracil 16 mg/ml
glukoza 5% 1982
Kompatibilan
injekcija Anidulafungin 0.5 mg/ml
injekcija Folinate calcium 2 mg/ml
glukoza 5% 1982
Padavine nakon 1 sata inkompatibilan
injekcija Anidulafungin 0,77 mg/ml
injekcija Fosfomycin 30 mg/ml
natrijumkorid 0,9% 4055
Padavine nakon 15 minuta inkompatibilan
injekcija Anidulafungin 0,77 mg/ml
injekcija Fosfomycin 30 mg/ml
glukoza 5% 4055
Kompatibilan
injekcija Anidulafungin 0.5 mg/ml
injekcija Furosemide 3 mg/ml
glukoza 5% 1982
Kompatibilan
injekcija Anidulafungin 0.5 mg/ml
injekcija Ganciclovir sodium 20 mg/ml
glukoza 5% 1982
Kompatibilan
injekcija Anidulafungin 0.5 mg/ml
injekcija Gemcitabine hydrochloride 10 mg/ml
glukoza 5% 1982
Kompatibilan
injekcija Anidulafungin 0.5 mg/ml
injekcija Gentamicin sulfate 5 mg/ml
glukoza 5% 1982
Kompatibilan
injekcija Anidulafungin 0.5 mg/ml
injekcija Heparin sodium 100 UI/ml
glukoza 5% 1982
Kompatibilan
injekcija Anidulafungin 0.5 mg/ml
injekcija Hydrocortisone sodium succinate 1 mg/ml
glukoza 5% 1982
Kompatibilan
injekcija Anidulafungin 0.5 mg/ml
injekcija Ifosfamide 25 mg/ml
glukoza 5% 1982
Kompatibilan
injekcija Anidulafungin
glukoza 5% 3567
Kompatibilan
injekcija Anidulafungin 0.5 mg/ml
injekcija Hydromorphone hydrochloride 0.5 mg/ml
glukoza 5% 1982
Kompatibilan
injekcija Anidulafungin 0.5 mg/ml
injekcija Imipenem - cilastatin sodium 5 mg/ml
glukoza 5% 1982
Kompatibilan
injekcija Anidulafungin 0.77 mg/ml
injekcija Isavuconazonium sulfate 1.5 mg/ml
natrijumkorid 0,9% 3829
Kompatibilan
injekcija Anidulafungin 0.77 mg/ml
injekcija Isavuconazonium sulfate 1.5 mg/ml
glukoza 5% 3829
Kompatibilan
injekcija Anidulafungin 0.5 mg/ml
injekcija Levofloxacine 5 mg/ml
glukoza 5% 1982
Kompatibilan
injekcija Anidulafungin 0.5 mg/ml
injekcija Linezolid 2 mg/ml
glukoza 5% 1982
Kompatibilan
injekcija Anidulafungin 0.5 mg/ml
injekcija Meropenem 2.5 mg/ml
glukoza 5% 1982
Kompatibilan
injekcija Anidulafungin 0.5 mg/ml
injekcija Methylprednisolone sodium succinate 5 mg/ml
glukoza 5% 1982
Kompatibilan
injekcija Anidulafungin 0.5 mg/ml
injekcija Metronidazole 5 mg/ml
glukoza 5% 1982
Kompatibilan
injekcija Anidulafungin 0.5 mg/ml
injekcija Midazolam hydrochloride 1 mg/ml
glukoza 5% 1982
Kompatibilan
injekcija Anidulafungin 0.5 mg/ml
injekcija Morphine sulfate 15 mg/ml
glukoza 5% 1982
Kompatibilan
injekcija Anidulafungin 0.5 mg/ml
injekcija Mycophenolate mofetil 6 mg/ml
glukoza 5% 1982
Kompatibilan
injekcija Anidulafungin 0.5 mg/ml
injekcija Paclitaxel 0.6 mg/ml
glukoza 5% 1982
Kompatibilan
injekcija Anidulafungin 0.5 mg/ml
injekcija Pantoprazole sodium 0.4 mg/ml
glukoza 5% 1982
Kompatibilan
injekcija Anidulafungin 0.5 mg/ml
injekcija Pethidine hydrochloride 10 mg/ml
glukoza 5% 1982
Kompatibilan
injekcija Anidulafungin 0.5 mg/ml
injekcija Phenylephrine hydrochloride 1 mg/ml
glukoza 5% 1982
Kompatibilan
injekcija Anidulafungin 0.5 mg/ml
injekcija Piperacillin sodium / tazobactam 40/5 mg/ml
glukoza 5% 1982
Zamućenost za 15 minuta inkompatibilan
injekcija Anidulafungin 0,77 mg/ml
injekcija Plazomicin sulfate 24 mg/ml
natrijumkorid 0,9% 4145
Kompatibilan
injekcija Anidulafungin 0.5 mg/ml
injekcija Potassium chloride 0.1 mEq/l
glukoza 5% 1982
Kompatibilan
injekcija Anidulafungin 0.5 mg/ml
injekcija Quinupristine/dalfopristine 5 mg/ml
glukoza 5% 1982
Kompatibilan
injekcija Anidulafungin 0.5 mg/ml
injekcija Ranitidine hydrochloride 2 mg/ml
glukoza 5% 1982
Neposredna zamućenost inkompatibilan
injekcija Anidulafungin 0.5 mg/ml
injekcija Sodium bicarbonate 84 mg/ml
glukoza 5% 1982
Kompatibilan
injekcija Anidulafungin 0,77 mg/ml
injekcija Sulbactam/durlobactam 15/15 mg/ml
natrijumkorid 0,9% 4801
Kompatibilan
injekcija Anidulafungin 0.5 mg/ml
injekcija Tacrolimus 20 µg/ml
glukoza 5% 1982
Kompatibilan
injekcija Anidulafungin 0.77 mg/ml
injekcija Tedizolid phosphate 0.8 mg/ml
natrijumkorid 0,9% 3827
Kompatibilan
injekcija Anidulafungin 0.5 mg/ml
injekcija Ticarcillin / clavulanic acid 31 mg/ml
glukoza 5% 1982
Kompatibilan
injekcija Anidulafungin 0.5 mg/ml
injekcija Tobramycin sulfate 5 mg/ml
glukoza 5% 1982
Kompatibilan
injekcija Anidulafungin 0.5 mg/ml
injekcija Vancomycin hydrochloride 10 mg/ml
glukoza 5% 1982
Kompatibilan
injekcija Anidulafungin 0.5 mg/ml
injekcija Vincristine sulfate 0.05 mg/ml
glukoza 5% 1982
Kompatibilan
injekcija Anidulafungin 0.5 mg/ml
injekcija Voriconazole 4 mg/ml
glukoza 5% 1982
Kompatibilan
injekcija Anidulafungin
natrijumkorid 0,9% 3567
Kompatibilan
injekcija Anidulafungin 0.5 mg/ml
injekcija Zidovudine 4 mg/ml
glukoza 5% 1982
Neposredna zamućenost inkompatibilan
injekcija Anidulafungin 0.5 mg/ml
NaHCO3 1982

  Mentions Légales