Seneste opdatering :
27/01/2026
Antisvampe   Anidulafungin  
Injektion
Stabilitet i (vandige) opløsninger Stabilitet i blandinger Faktorer der påvirker stabiliteten Kompatibilitet Administrationsvej Bibliografi pdf
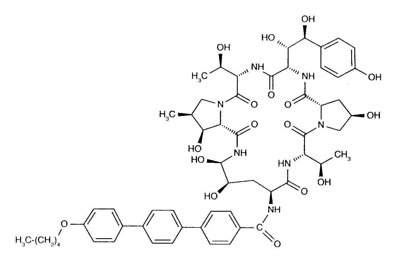
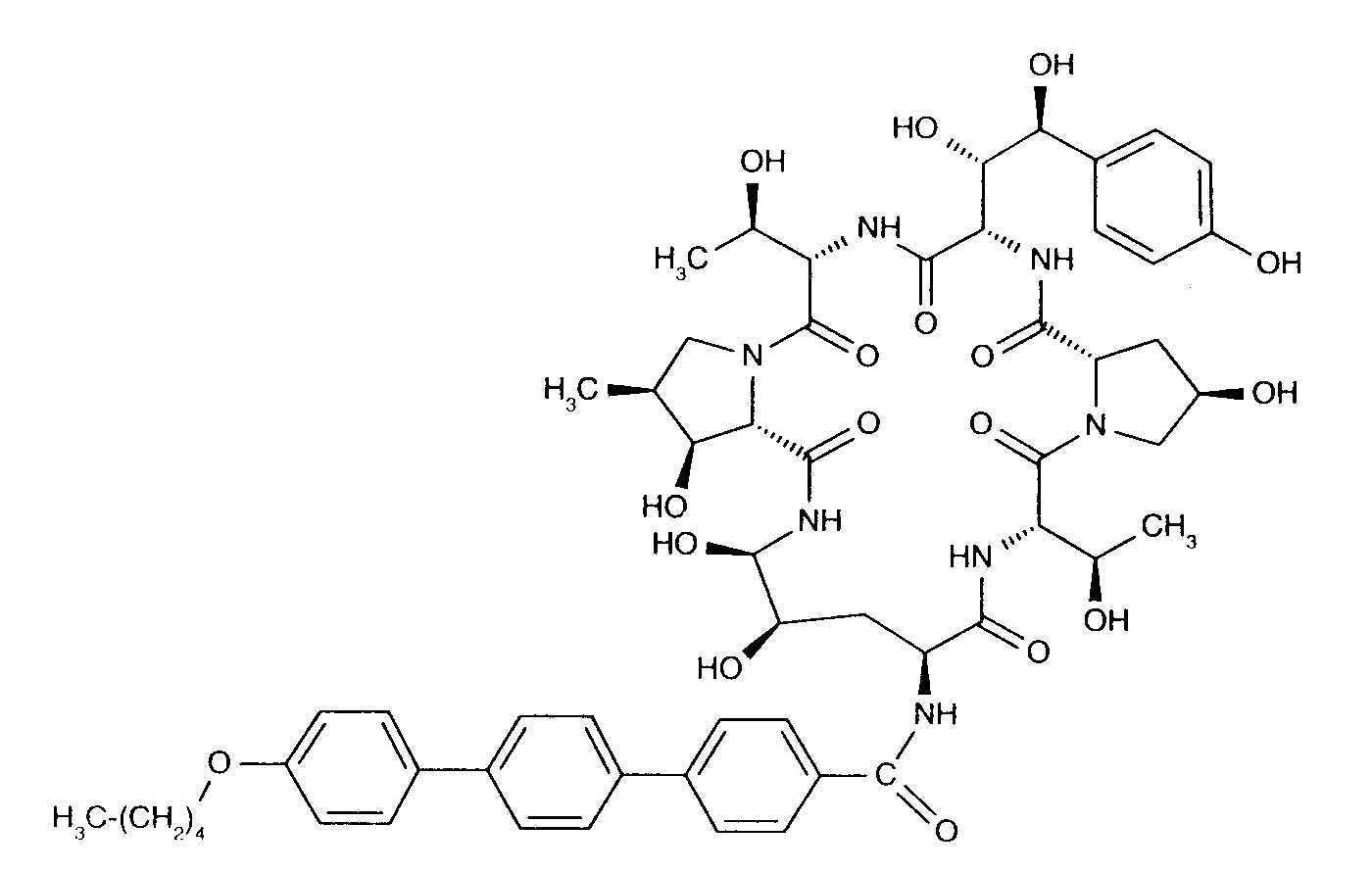
   Kemisk struktur  

Handelsnavn   Handelsnavn     

Handel navne er vejledende og hjælpestoffer sammensætning kan være forskellig afhængigt af landet og laboratorier

Anidulafungin Belgien, Storbritanien, Tyskland
Anidulafungina Brasilien, Spanien
Ecalta Argentina, Belgien, Brasilien, Canada, Chile, Colombia, Danmark, Finland, Frankrig, Grækenland, Holland, Italien, Luxemborg, Malaysia, Marokko, Norge, Polen, Rumænien, Schweiz, Spanien, Storbritanien, Sverige, Tyrkiet, Tyskland, Ungarn, USA, Venezuela
Equalta Mexico
Eraxis Australien, Canada, USA
Fuzig Mexico
Kompatibilitet   Injektion   Kompatibilitet : Anidulafungin              
Denne skærm viser kompatibilitet eller uforenelighed med, i dette tilfælde typen af inkompatibilitet (udfældning, farveændring, ændring af en emulsion osv.). Kompatibiliteterne vist her er for det meste kun fysiske, idet den kemiske stabilitet af hvert molekyle sjældent vurderes. Evalueringen af disse blandinger blev undersøgt for at overveje muligheden for Y-sted-administration til patienten. Disse data kan ikke bruges til at fremstille blandinger på forhånd i poser eller sprøjter. Denne type information findes på skærmen "Stabilitet i blanding".
Molekyle Opløsningsmiddel Bibliografi
Kompatibel
Injektion Anidulafungin 0.5 mg/ml
Injektion Aciclovir sodium 7 mg/ml
5 % Glukose 1982
Kompatibel
Injektion Anidulafungin 0.5 mg/ml
Injektion Amikacin sulfate 5 mg/ml
5 % Glukose 1982
Kompatibel
Injektion Anidulafungin 0.5 mg/ml
Injektion Aminophylline 2.5 mg/ml
5 % Glukose 1982
Umiddelbar turbiditet Uforenelig
Injektion Anidulafungin 0,5 mg/ml
Injektion Amphotericin B 0,6 mg/ml
5 % Glukose 1982
Kompatibel
Injektion Anidulafungin 0.5 mg/ml
Injektion Amphotericin B cholesteryl sulfate complex 1 mg/ml
5 % Glukose 1982
Kompatibel
Injektion Anidulafungin 0.5 mg/ml
Injektion Amphotericin B liposomale 1 mg/ml
5 % Glukose 1982
Kompatibel
Injektion Anidulafungin 0.5 mg/ml
Injektion Ampicillin sodium 20 mg/ml
5 % Glukose 1982
Kompatibel
Injektion Anidulafungin 0.5 mg/ml
Injektion Ampicillin sodium - sulbactam sodium 20/10 mg/ml
5 % Glukose 1982
Kompatibel
Injektion Anidulafungin 0.5 mg/ml
Injektion Carboplatin 5 mg/ml
5 % Glukose 1982
Kompatibel
Injektion Anidulafungin 0.5 mg/ml
Injektion Cefazolin sodium 20 mg/ml
5 % Glukose 1982
Kompatibel
Injektion Anidulafungin 0.5 mg/ml
Injektion Cefepime dihydrochloride 20 mg/ml
5 % Glukose 1982
Kompatibel
Injektion Anidulafungin 0.77 mg/ml
Injektion Cefiderocol sulfate tosylate 20 mg/mL
0,9 % Natriumklorid 4528
Kompatibel
Injektion Anidulafungin 0.77 mg/ml
Injektion Cefiderocol sulfate tosylate 20 mg/mL
5 % Glukose 4528
Kompatibel
Injektion Anidulafungin 0.5 mg/ml
Injektion Cefoxitin sodium 20 mg/ml
5 % Glukose 1982
Kompatibel
Injektion Anidulafungin 0.5 mg/ml
Injektion Ceftazidime 40 mg/ml
5 % Glukose 1982
Kompatibel
Injektion Anidulafungin 0.5 mg/ml
Injektion Ceftizoxime sodium 20 mg/ml
5 % Glukose 1982
Kompatibel
Injektion Anidulafungin 0.77 mg/ml
Injektion Ceftolozane / tazobactam 10/5 mg/ml
0,9 % Natriumklorid 3828
Kompatibel
Injektion Anidulafungin 0.77 mg/ml
Injektion Ceftolozane / tazobactam 10/5 mg/ml
5 % Glukose 3828
Kompatibel
Injektion Anidulafungin 0.5 mg/ml
Injektion Ceftriaxone disodium 20 mg/ml
5 % Glukose 1982
Kompatibel
Injektion Anidulafungin 0.5 mg/ml
Injektion Cefuroxime sodium 30 mg/ml
5 % Glukose 1982
Kompatibel
Injektion Anidulafungin 0.5 mg/ml
Injektion Ciclosporin 5 mg/ml
5 % Glukose 1982
Kompatibel
Injektion Anidulafungin 0.5 mg/ml
Injektion Cimetidine hydrochloride 12 mg/ml
5 % Glukose 1982
Kompatibel
Injektion Anidulafungin 0.5 mg/ml
Injektion Ciprofloxacin lactate 2 mg/ml
5 % Glukose 1982
Kompatibel
Injektion Anidulafungin 0.5 mg/ml
Injektion Cisplatin 1 mg/ml
5 % Glukose 1982
Kompatibel
Injektion Anidulafungin 0.5 mg/ml
Injektion Clindamycin phosphate 10 mg/ml
5 % Glukose 1982
Kompatibel
Injektion Anidulafungin 0.5 mg/ml
Injektion Co-trimoxazole 4/0.8 mg/ml
5 % Glukose 1982
Kompatibel
Injektion Anidulafungin 0.5 mg/ml
Injektion Cyclophosphamide 10 mg/ml
5 % Glukose 1982
Kompatibel
Injektion Anidulafungin 0.5 mg/ml
Injektion Cytarabine 50 mg/ml
5 % Glukose 1982
Kompatibel
Injektion Anidulafungin 0.5 mg/ml
Injektion Daunorubicin hydrochloride 1 mg/ml
5 % Glukose 1982
Kompatibel
Injektion Anidulafungin 0.5 mg/ml
Injektion Dexamethasone sodium phosphate 1 mg/ml
5 % Glukose 1982
Kompatibel
Injektion Anidulafungin 0.5 mg/ml
Injektion Digoxin 250 µg/ml
5 % Glukose 1982
Kompatibel
Injektion Anidulafungin 0.5 mg/ml
Injektion Dobutamine hydrochloride 4 mg/ml
5 % Glukose 1982
Kompatibel
Injektion Anidulafungin 0.5 mg/ml
Injektion Docetaxel 2 mg/ml
5 % Glukose 1982
Kompatibel
Injektion Anidulafungin 0.5 mg/ml
Injektion Dopamine hydrochloride 3.2 mg/ml
5 % Glukose 1982
Kompatibel
Injektion Anidulafungin 0,5 mg/ml
Injektion Doripenem 5 mg/ml
0,9 % Natriumklorid 2262
Kompatibel
Injektion Anidulafungin 0,5 mg/ml
Injektion Doripenem 5 mg/ml
5 % Glukose 2262
Kompatibel
Injektion Anidulafungin 0.5 mg/ml
Injektion Doxorubicin hydrochloride 2 mg/ml
5 % Glukose 1982
Kompatibel
Injektion Anidulafungin 0.5 mg/ml
Injektion Epinephrine hydrochloride 50 µg/ml
5 % Glukose 1982
Umiddelbar nedbør Uforenelig
Injektion Anidulafungin 0.5 mg/ml
Injektion Ertapenem 20 mg/ml
5 % Glukose 1982
Kompatibel
Injektion Anidulafungin 0.5 mg/ml
Injektion Erythromycin lactobionate 5 mg/ml
5 % Glukose 1982
Kompatibel
Injektion Anidulafungin 0.5 mg/ml
Injektion Etoposide phosphate 5 mg/ml
5 % Glukose 1982
Kompatibel
Injektion Anidulafungin 0.5 mg/ml
Injektion Famotidine 2 mg/ml
5 % Glukose 1982
Kompatibel
Injektion Anidulafungin 0.5 mg/ml
Injektion Fentanyl citrate 50 µg/ml
5 % Glukose 1982
Kompatibel
Injektion Anidulafungin 0.5 mg/ml
Injektion Fluconazole 2 mg/ml
5 % Glukose 1982
Kompatibel
Injektion Anidulafungin 0.5 mg/ml
Injektion Fluorouracil 16 mg/ml
5 % Glukose 1982
Kompatibel
Injektion Anidulafungin 0.5 mg/ml
Injektion Folinate calcium 2 mg/ml
5 % Glukose 1982
Nedbør efter 1 time Uforenelig
Injektion Anidulafungin 0,77 mg/ml
Injektion Fosfomycin 30 mg/ml
0,9 % Natriumklorid 4055
Nedbør efter 15 minutter Uforenelig
Injektion Anidulafungin 0,77 mg/ml
Injektion Fosfomycin 30 mg/ml
5 % Glukose 4055
Kompatibel
Injektion Anidulafungin 0.5 mg/ml
Injektion Furosemide 3 mg/ml
5 % Glukose 1982
Kompatibel
Injektion Anidulafungin 0.5 mg/ml
Injektion Ganciclovir sodium 20 mg/ml
5 % Glukose 1982
Kompatibel
Injektion Anidulafungin 0.5 mg/ml
Injektion Gemcitabine hydrochloride 10 mg/ml
5 % Glukose 1982
Kompatibel
Injektion Anidulafungin 0.5 mg/ml
Injektion Gentamicin sulfate 5 mg/ml
5 % Glukose 1982
Kompatibel
Injektion Anidulafungin 0.5 mg/ml
Injektion Heparin sodium 100 UI/ml
5 % Glukose 1982
Kompatibel
Injektion Anidulafungin 0.5 mg/ml
Injektion Hydrocortisone sodium succinate 1 mg/ml
5 % Glukose 1982
Kompatibel
Injektion Anidulafungin 0.5 mg/ml
Injektion Ifosfamide 25 mg/ml
5 % Glukose 1982
Kompatibel
Injektion Anidulafungin
5 % Glukose 3567
Kompatibel
Injektion Anidulafungin 0.5 mg/ml
Injektion Hydromorphone hydrochloride 0.5 mg/ml
5 % Glukose 1982
Kompatibel
Injektion Anidulafungin 0.5 mg/ml
Injektion Imipenem - cilastatin sodium 5 mg/ml
5 % Glukose 1982
Kompatibel
Injektion Anidulafungin 0.77 mg/ml
Injektion Isavuconazonium sulfate 1.5 mg/ml
0,9 % Natriumklorid 3829
Kompatibel
Injektion Anidulafungin 0.77 mg/ml
Injektion Isavuconazonium sulfate 1.5 mg/ml
5 % Glukose 3829
Kompatibel
Injektion Anidulafungin 0.5 mg/ml
Injektion Levofloxacine 5 mg/ml
5 % Glukose 1982
Kompatibel
Injektion Anidulafungin 0.5 mg/ml
Injektion Linezolid 2 mg/ml
5 % Glukose 1982
Kompatibel
Injektion Anidulafungin 0.5 mg/ml
Injektion Meropenem 2.5 mg/ml
5 % Glukose 1982
Kompatibel
Injektion Anidulafungin 0.5 mg/ml
Injektion Methylprednisolone sodium succinate 5 mg/ml
5 % Glukose 1982
Kompatibel
Injektion Anidulafungin 0.5 mg/ml
Injektion Metronidazole 5 mg/ml
5 % Glukose 1982
Kompatibel
Injektion Anidulafungin 0.5 mg/ml
Injektion Midazolam hydrochloride 1 mg/ml
5 % Glukose 1982
Kompatibel
Injektion Anidulafungin 0.5 mg/ml
Injektion Morphine sulfate 15 mg/ml
5 % Glukose 1982
Kompatibel
Injektion Anidulafungin 0.5 mg/ml
Injektion Mycophenolate mofetil 6 mg/ml
5 % Glukose 1982
Kompatibel
Injektion Anidulafungin 0.5 mg/ml
Injektion Paclitaxel 0.6 mg/ml
5 % Glukose 1982
Kompatibel
Injektion Anidulafungin 0.5 mg/ml
Injektion Pantoprazole sodium 0.4 mg/ml
5 % Glukose 1982
Kompatibel
Injektion Anidulafungin 0.5 mg/ml
Injektion Pethidine hydrochloride 10 mg/ml
5 % Glukose 1982
Kompatibel
Injektion Anidulafungin 0.5 mg/ml
Injektion Phenylephrine hydrochloride 1 mg/ml
5 % Glukose 1982
Kompatibel
Injektion Anidulafungin 0.5 mg/ml
Injektion Piperacillin sodium / tazobactam 40/5 mg/ml
5 % Glukose 1982
Uklarhed på 15 minutter Uforenelig
Injektion Anidulafungin 0,77 mg/ml
Injektion Plazomicin sulfate 24 mg/ml
0,9 % Natriumklorid 4145
Kompatibel
Injektion Anidulafungin 0.5 mg/ml
Injektion Potassium chloride 0.1 mEq/l
5 % Glukose 1982
Kompatibel
Injektion Anidulafungin 0.5 mg/ml
Injektion Quinupristine/dalfopristine 5 mg/ml
5 % Glukose 1982
Kompatibel
Injektion Anidulafungin 0.5 mg/ml
Injektion Ranitidine hydrochloride 2 mg/ml
5 % Glukose 1982
Umiddelbar turbiditet Uforenelig
Injektion Anidulafungin 0.5 mg/ml
Injektion Sodium bicarbonate 84 mg/ml
5 % Glukose 1982
Kompatibel
Injektion Anidulafungin 0,77 mg/ml
Injektion Sulbactam/durlobactam 15/15 mg/ml
0,9 % Natriumklorid 4801
Kompatibel
Injektion Anidulafungin 0.5 mg/ml
Injektion Tacrolimus 20 µg/ml
5 % Glukose 1982
Kompatibel
Injektion Anidulafungin 0.77 mg/ml
Injektion Tedizolid phosphate 0.8 mg/ml
0,9 % Natriumklorid 3827
Kompatibel
Injektion Anidulafungin 0.5 mg/ml
Injektion Ticarcillin / clavulanic acid 31 mg/ml
5 % Glukose 1982
Kompatibel
Injektion Anidulafungin 0.5 mg/ml
Injektion Tobramycin sulfate 5 mg/ml
5 % Glukose 1982
Kompatibel
Injektion Anidulafungin 0.5 mg/ml
Injektion Vancomycin hydrochloride 10 mg/ml
5 % Glukose 1982
Kompatibel
Injektion Anidulafungin 0.5 mg/ml
Injektion Vincristine sulfate 0.05 mg/ml
5 % Glukose 1982
Kompatibel
Injektion Anidulafungin 0.5 mg/ml
Injektion Voriconazole 4 mg/ml
5 % Glukose 1982
Kompatibel
Injektion Anidulafungin
0,9 % Natriumklorid 3567
Kompatibel
Injektion Anidulafungin 0.5 mg/ml
Injektion Zidovudine 4 mg/ml
5 % Glukose 1982
Umiddelbar turbiditet Uforenelig
Injektion Anidulafungin 0.5 mg/ml
NaHCO3 1982

  Mentions Légales