Dernière mise à jour :
27/01/2026
Antifongique   Anidulafungin  
injectable
Stabilité des solutions Stabilité en mélange Facteur influençant la stabilité Compatibilités Voie d’administration Bibliographie pdf
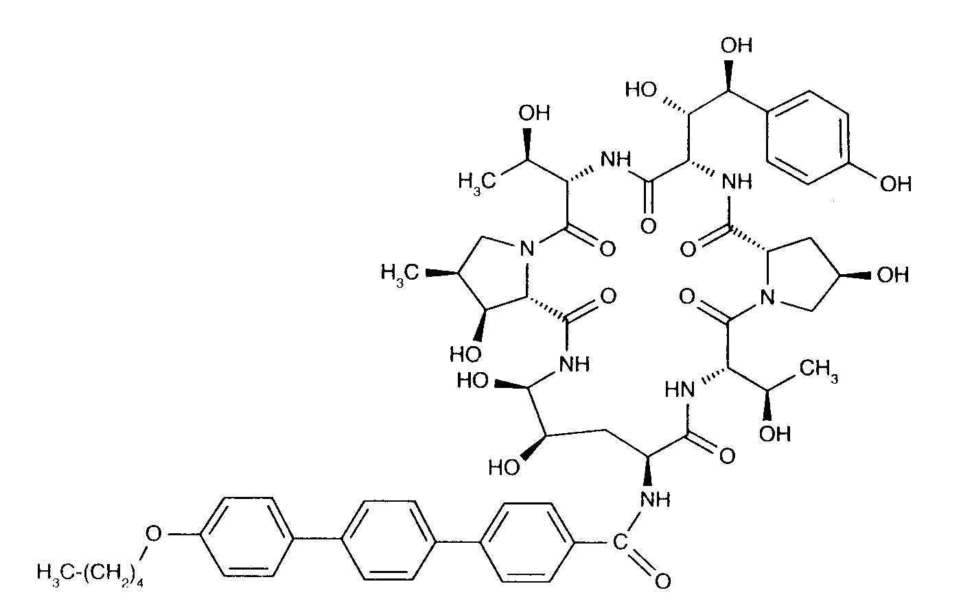
   Structure chimique  

Noms commerciaux   Noms commerciaux     

Les noms commerciaux sont donnés à titre indicatif et la composition en excipients peut être différente selon les pays et selon les laboratoires

Anidulafungin Allemagne, Belgique, Grande Bretagne
Anidulafungina Brésil, Espagne
Ecalta Allemagne, Argentine, Belgique, Brésil, Canada, Chili, Colombie, Danemark, Espagne, Etats Unis d’Amérique, Finlande, France, Grande Bretagne, Grèce, Hongrie, Italie, Luxembourg, Malaisie, Norvège, Pays bas, Pérou, Pologne, Roumanie, Suède, Suisse, Turquie, Vénézuela
Equalta Mexique
Eraxis Australie, Canada, Etats Unis d’Amérique
Fuzig Mexique
Compatibilités   injectable   Compatibilités : Anidulafungin              
Cet écran indique les compatibilités ou incompatibilités avec, dans ce cas, le type d'incompatibilité (précipitation, changement de couleur, modification d'une émulsion, etc.). Les compatibilités présentées ici sont pour la plupart uniquement physiques, la stabilité chimique de chaque molécule étant rarement évaluée. L'évaluation de ces mélanges a été étudiée pour envisager la possibilité d'une administration en site Y au patient. Ces données ne peuvent pas être utilisées pour préparer des mélanges à l'avance dans des poches de perfusion ou des seringues. Ce type d'informations est disponible dans l'écran « Stabilité en mélange ».
Molécule Solvant Bibliographie
Compatible
injectable Anidulafungin 0.5 mg/ml
injectable Aciclovir sodium 7 mg/ml
Glucose 5% 1982
Compatible
injectable Anidulafungin 0.5 mg/ml
injectable Amikacin sulfate 5 mg/ml
Glucose 5% 1982
Compatible
injectable Anidulafungin 0.5 mg/ml
injectable Aminophylline 2.5 mg/ml
Glucose 5% 1982
Turbidité immédiate Incompatible
injectable Anidulafungin 0,5 mg/ml
injectable Amphotericin B 0,6 mg/ml
Glucose 5% 1982
Compatible
injectable Anidulafungin 0.5 mg/ml
injectable Amphotericin B cholesteryl sulfate complex 1 mg/ml
Glucose 5% 1982
Compatible
injectable Anidulafungin 0.5 mg/ml
injectable Amphotericin B liposomale 1 mg/ml
Glucose 5% 1982
Compatible
injectable Anidulafungin 0.5 mg/ml
injectable Ampicillin sodium 20 mg/ml
Glucose 5% 1982
Compatible
injectable Anidulafungin 0.5 mg/ml
injectable Ampicillin sodium - sulbactam sodium 20/10 mg/ml
Glucose 5% 1982
Compatible
injectable Anidulafungin 0.5 mg/ml
injectable Carboplatin 5 mg/ml
Glucose 5% 1982
Compatible
injectable Anidulafungin 0.5 mg/ml
injectable Cefazolin sodium 20 mg/ml
Glucose 5% 1982
Compatible
injectable Anidulafungin 0.5 mg/ml
injectable Cefepime dihydrochloride 20 mg/ml
Glucose 5% 1982
Compatible
injectable Anidulafungin 0.77 mg/ml
injectable Cefiderocol sulfate tosylate 20 mg/mL
Chlorure de sodium 0,9% 4528
Compatible
injectable Anidulafungin 0.77 mg/ml
injectable Cefiderocol sulfate tosylate 20 mg/mL
Glucose 5% 4528
Compatible
injectable Anidulafungin 0.5 mg/ml
injectable Cefoxitin sodium 20 mg/ml
Glucose 5% 1982
Compatible
injectable Anidulafungin 0.5 mg/ml
injectable Ceftazidime 40 mg/ml
Glucose 5% 1982
Compatible
injectable Anidulafungin 0.5 mg/ml
injectable Ceftizoxime sodium 20 mg/ml
Glucose 5% 1982
Compatible
injectable Anidulafungin 0.77 mg/ml
injectable Ceftolozane / tazobactam 10/5 mg/ml
Chlorure de sodium 0,9% 3828
Compatible
injectable Anidulafungin 0.77 mg/ml
injectable Ceftolozane / tazobactam 10/5 mg/ml
Glucose 5% 3828
Compatible
injectable Anidulafungin 0.5 mg/ml
injectable Ceftriaxone disodium 20 mg/ml
Glucose 5% 1982
Compatible
injectable Anidulafungin 0.5 mg/ml
injectable Cefuroxime sodium 30 mg/ml
Glucose 5% 1982
Compatible
injectable Anidulafungin 0.5 mg/ml
injectable Ciclosporin 5 mg/ml
Glucose 5% 1982
Compatible
injectable Anidulafungin 0.5 mg/ml
injectable Cimetidine hydrochloride 12 mg/ml
Glucose 5% 1982
Compatible
injectable Anidulafungin 0.5 mg/ml
injectable Ciprofloxacin lactate 2 mg/ml
Glucose 5% 1982
Compatible
injectable Anidulafungin 0.5 mg/ml
injectable Cisplatin 1 mg/ml
Glucose 5% 1982
Compatible
injectable Anidulafungin 0.5 mg/ml
injectable Clindamycin phosphate 10 mg/ml
Glucose 5% 1982
Compatible
injectable Anidulafungin 0.5 mg/ml
injectable Co-trimoxazole 4/0.8 mg/ml
Glucose 5% 1982
Compatible
injectable Anidulafungin 0.5 mg/ml
injectable Cyclophosphamide 10 mg/ml
Glucose 5% 1982
Compatible
injectable Anidulafungin 0.5 mg/ml
injectable Cytarabine 50 mg/ml
Glucose 5% 1982
Compatible
injectable Anidulafungin 0.5 mg/ml
injectable Daunorubicin hydrochloride 1 mg/ml
Glucose 5% 1982
Compatible
injectable Anidulafungin 0.5 mg/ml
injectable Dexamethasone sodium phosphate 1 mg/ml
Glucose 5% 1982
Compatible
injectable Anidulafungin 0.5 mg/ml
injectable Digoxin 250 µg/ml
Glucose 5% 1982
Compatible
injectable Anidulafungin 0.5 mg/ml
injectable Dobutamine hydrochloride 4 mg/ml
Glucose 5% 1982
Compatible
injectable Anidulafungin 0.5 mg/ml
injectable Docetaxel 2 mg/ml
Glucose 5% 1982
Compatible
injectable Anidulafungin 0.5 mg/ml
injectable Dopamine hydrochloride 3.2 mg/ml
Glucose 5% 1982
Compatible
injectable Anidulafungin 0,5 mg/ml
injectable Doripenem 5 mg/ml
Chlorure de sodium 0,9% 2262
Compatible
injectable Anidulafungin 0,5 mg/ml
injectable Doripenem 5 mg/ml
Glucose 5% 2262
Compatible
injectable Anidulafungin 0.5 mg/ml
injectable Doxorubicin hydrochloride 2 mg/ml
Glucose 5% 1982
Compatible
injectable Anidulafungin 0.5 mg/ml
injectable Epinephrine hydrochloride 50 µg/ml
Glucose 5% 1982
Précipitation immédiate Incompatible
injectable Anidulafungin 0.5 mg/ml
injectable Ertapenem 20 mg/ml
Glucose 5% 1982
Compatible
injectable Anidulafungin 0.5 mg/ml
injectable Erythromycin lactobionate 5 mg/ml
Glucose 5% 1982
Compatible
injectable Anidulafungin 0.5 mg/ml
injectable Etoposide phosphate 5 mg/ml
Glucose 5% 1982
Compatible
injectable Anidulafungin 0.5 mg/ml
injectable Famotidine 2 mg/ml
Glucose 5% 1982
Compatible
injectable Anidulafungin 0.5 mg/ml
injectable Fentanyl citrate 50 µg/ml
Glucose 5% 1982
Compatible
injectable Anidulafungin 0.5 mg/ml
injectable Fluconazole 2 mg/ml
Glucose 5% 1982
Compatible
injectable Anidulafungin 0.5 mg/ml
injectable Fluorouracil 16 mg/ml
Glucose 5% 1982
Compatible
injectable Anidulafungin 0.5 mg/ml
injectable Folinate calcium 2 mg/ml
Glucose 5% 1982
Précipitation en 1 heure Incompatible
injectable Anidulafungin 0,77 mg/ml
injectable Fosfomycin 30 mg/ml
Chlorure de sodium 0,9% 4055
Précipitation en 15 minutes Incompatible
injectable Anidulafungin 0,77 mg/ml
injectable Fosfomycin 30 mg/ml
Glucose 5% 4055
Compatible
injectable Anidulafungin 0.5 mg/ml
injectable Furosemide 3 mg/ml
Glucose 5% 1982
Compatible
injectable Anidulafungin 0.5 mg/ml
injectable Ganciclovir sodium 20 mg/ml
Glucose 5% 1982
Compatible
injectable Anidulafungin 0.5 mg/ml
injectable Gemcitabine hydrochloride 10 mg/ml
Glucose 5% 1982
Compatible
injectable Anidulafungin 0.5 mg/ml
injectable Gentamicin sulfate 5 mg/ml
Glucose 5% 1982
Compatible
injectable Anidulafungin 0.5 mg/ml
injectable Heparin sodium 100 UI/ml
Glucose 5% 1982
Compatible
injectable Anidulafungin 0.5 mg/ml
injectable Hydrocortisone sodium succinate 1 mg/ml
Glucose 5% 1982
Compatible
injectable Anidulafungin 0.5 mg/ml
injectable Ifosfamide 25 mg/ml
Glucose 5% 1982
Compatible
injectable Anidulafungin
Glucose 5% 3567
Compatible
injectable Anidulafungin 0.5 mg/ml
injectable Hydromorphone hydrochloride 0.5 mg/ml
Glucose 5% 1982
Compatible
injectable Anidulafungin 0.5 mg/ml
injectable Imipenem - cilastatin sodium 5 mg/ml
Glucose 5% 1982
Compatible
injectable Anidulafungin 0.77 mg/ml
injectable Isavuconazonium sulfate 1.5 mg/ml
Chlorure de sodium 0,9% 3829
Compatible
injectable Anidulafungin 0.77 mg/ml
injectable Isavuconazonium sulfate 1.5 mg/ml
Glucose 5% 3829
Compatible
injectable Anidulafungin 0.5 mg/ml
injectable Levofloxacine 5 mg/ml
Glucose 5% 1982
Compatible
injectable Anidulafungin 0.5 mg/ml
injectable Linezolid 2 mg/ml
Glucose 5% 1982
Compatible
injectable Anidulafungin 0.5 mg/ml
injectable Meropenem 2.5 mg/ml
Glucose 5% 1982
Compatible
injectable Anidulafungin 0.5 mg/ml
injectable Methylprednisolone sodium succinate 5 mg/ml
Glucose 5% 1982
Compatible
injectable Anidulafungin 0.5 mg/ml
injectable Metronidazole 5 mg/ml
Glucose 5% 1982
Compatible
injectable Anidulafungin 0.5 mg/ml
injectable Midazolam hydrochloride 1 mg/ml
Glucose 5% 1982
Compatible
injectable Anidulafungin 0.5 mg/ml
injectable Morphine sulfate 15 mg/ml
Glucose 5% 1982
Compatible
injectable Anidulafungin 0.5 mg/ml
injectable Mycophenolate mofetil 6 mg/ml
Glucose 5% 1982
Compatible
injectable Anidulafungin 0.5 mg/ml
injectable Paclitaxel 0.6 mg/ml
Glucose 5% 1982
Compatible
injectable Anidulafungin 0.5 mg/ml
injectable Pantoprazole sodium 0.4 mg/ml
Glucose 5% 1982
Compatible
injectable Anidulafungin 0.5 mg/ml
injectable Pethidine hydrochloride 10 mg/ml
Glucose 5% 1982
Compatible
injectable Anidulafungin 0.5 mg/ml
injectable Phenylephrine hydrochloride 1 mg/ml
Glucose 5% 1982
Compatible
injectable Anidulafungin 0.5 mg/ml
injectable Piperacillin sodium / tazobactam 40/5 mg/ml
Glucose 5% 1982
Turbidité en 15 minutes Incompatible
injectable Anidulafungin 0,77 mg/ml
injectable Plazomicin sulfate 24 mg/ml
Chlorure de sodium 0,9% 4145
Compatible
injectable Anidulafungin 0.5 mg/ml
injectable Potassium chloride 0.1 mEq/l
Glucose 5% 1982
Compatible
injectable Anidulafungin 0.5 mg/ml
injectable Quinupristine/dalfopristine 5 mg/ml
Glucose 5% 1982
Compatible
injectable Anidulafungin 0.5 mg/ml
injectable Ranitidine hydrochloride 2 mg/ml
Glucose 5% 1982
Turbidité immédiate Incompatible
injectable Anidulafungin 0.5 mg/ml
injectable Sodium bicarbonate 84 mg/ml
Glucose 5% 1982
Compatible
injectable Anidulafungin 0,77 mg/ml
injectable Sulbactam/durlobactam 15/15 mg/ml
Chlorure de sodium 0,9% 4801
Compatible
injectable Anidulafungin 0.5 mg/ml
injectable Tacrolimus 20 µg/ml
Glucose 5% 1982
Compatible
injectable Anidulafungin 0.77 mg/ml
injectable Tedizolid phosphate 0.8 mg/ml
Chlorure de sodium 0,9% 3827
Compatible
injectable Anidulafungin 0.5 mg/ml
injectable Ticarcillin / clavulanic acid 31 mg/ml
Glucose 5% 1982
Compatible
injectable Anidulafungin 0.5 mg/ml
injectable Tobramycin sulfate 5 mg/ml
Glucose 5% 1982
Compatible
injectable Anidulafungin 0.5 mg/ml
injectable Vancomycin hydrochloride 10 mg/ml
Glucose 5% 1982
Compatible
injectable Anidulafungin 0.5 mg/ml
injectable Vincristine sulfate 0.05 mg/ml
Glucose 5% 1982
Compatible
injectable Anidulafungin 0.5 mg/ml
injectable Voriconazole 4 mg/ml
Glucose 5% 1982
Compatible
injectable Anidulafungin
Chlorure de sodium 0,9% 3567
Compatible
injectable Anidulafungin 0.5 mg/ml
injectable Zidovudine 4 mg/ml
Glucose 5% 1982
Turbidité immédiate Incompatible
injectable Anidulafungin 0.5 mg/ml
NaHCO3 1982

  Mentions Légales