Последнее обновление :
27/01/2026
Противогрибковое средство   Anidulafungin  
Инъекция
Стабильность растворов Стабильность смесей Факторы, которые влияют на стабильность Совместимость Способы введения Библиография pdf
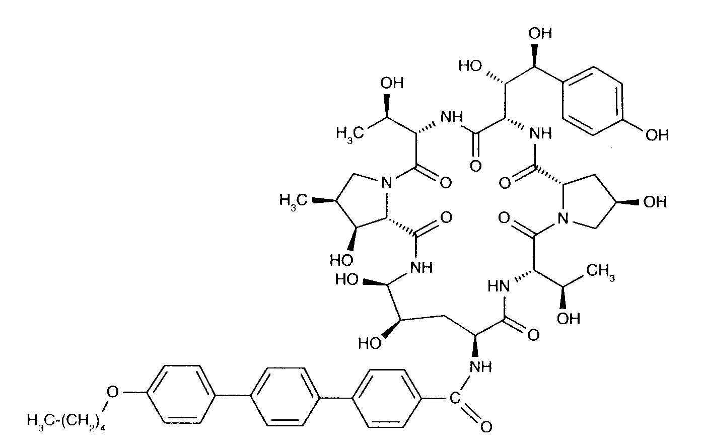
   Химическая структура  

Товарное название   Товарное название     

Trade names are indicative and excipients composition can be different depending on the country and manufacturers

Anidulafungin Бельгия, Великобритания, Германия
Anidulafungina Бразилия, Испания
Ecalta Аргентина, Бельгия, Бразилия, Великобритания, Венгрия, Венесуэла, Германия, Голландия, Греция, Дания, Испания, Италия, Канада, Колумбия, Люксембург, Малайзия, Норвегия, Перу, Польша, Румыния, Соединённые Штаты Америки, Турция, Финляндия, Франция, чили, Швейцария, Швеция
Equalta Мексика
Eraxis Австралия, Канада, Соединённые Штаты Америки
Fuzig Мексика
Совместимость   Инъекция   Совместимость : Anidulafungin              
Эта таблица показывает совместимость или несовместимость препаратов, по возможности тип несовместимости (преципитат, смена цвета, разложение эмульсии и др.). Показанные здесь совместимости в основном физические, по возможности указана и химическая стабильность каждой молекулы. Анализ этих смесей произведён для исследования возможности ввести препараты пациенту в Y-соединении систем. Эти данные нельзя использовать, чтобы приготовить лекарства на будущее в мешках или шприцах. Эта информация доступна в разделе "Стабильность смесей".
Молекула Растворитель Ссылки
совместимый
Инъекция Anidulafungin 0.5 mg/ml
Инъекция Aciclovir sodium 7 mg/ml
Глюкоза 5% 1982
совместимый
Инъекция Anidulafungin 0.5 mg/ml
Инъекция Amikacin sulfate 5 mg/ml
Глюкоза 5% 1982
совместимый
Инъекция Anidulafungin 0.5 mg/ml
Инъекция Aminophylline 2.5 mg/ml
Глюкоза 5% 1982
Немедленная мутность несовместимый
Инъекция Anidulafungin 0,5 mg/ml
Инъекция Amphotericin B 0,6 mg/ml
Глюкоза 5% 1982
совместимый
Инъекция Anidulafungin 0.5 mg/ml
Инъекция Amphotericin B cholesteryl sulfate complex 1 mg/ml
Глюкоза 5% 1982
совместимый
Инъекция Anidulafungin 0.5 mg/ml
Инъекция Amphotericin B liposomale 1 mg/ml
Глюкоза 5% 1982
совместимый
Инъекция Anidulafungin 0.5 mg/ml
Инъекция Ampicillin sodium 20 mg/ml
Глюкоза 5% 1982
совместимый
Инъекция Anidulafungin 0.5 mg/ml
Инъекция Ampicillin sodium - sulbactam sodium 20/10 mg/ml
Глюкоза 5% 1982
совместимый
Инъекция Anidulafungin 0.5 mg/ml
Инъекция Carboplatin 5 mg/ml
Глюкоза 5% 1982
совместимый
Инъекция Anidulafungin 0.5 mg/ml
Инъекция Cefazolin sodium 20 mg/ml
Глюкоза 5% 1982
совместимый
Инъекция Anidulafungin 0.5 mg/ml
Инъекция Cefepime dihydrochloride 20 mg/ml
Глюкоза 5% 1982
совместимый
Инъекция Anidulafungin 0.77 mg/ml
Инъекция Cefiderocol sulfate tosylate 20 mg/mL
Натрия хлорид 0,9% 4528
совместимый
Инъекция Anidulafungin 0.77 mg/ml
Инъекция Cefiderocol sulfate tosylate 20 mg/mL
Глюкоза 5% 4528
совместимый
Инъекция Anidulafungin 0.5 mg/ml
Инъекция Cefoxitin sodium 20 mg/ml
Глюкоза 5% 1982
совместимый
Инъекция Anidulafungin 0.5 mg/ml
Инъекция Ceftazidime 40 mg/ml
Глюкоза 5% 1982
совместимый
Инъекция Anidulafungin 0.5 mg/ml
Инъекция Ceftizoxime sodium 20 mg/ml
Глюкоза 5% 1982
совместимый
Инъекция Anidulafungin 0.77 mg/ml
Инъекция Ceftolozane / tazobactam 10/5 mg/ml
Натрия хлорид 0,9% 3828
совместимый
Инъекция Anidulafungin 0.77 mg/ml
Инъекция Ceftolozane / tazobactam 10/5 mg/ml
Глюкоза 5% 3828
совместимый
Инъекция Anidulafungin 0.5 mg/ml
Инъекция Ceftriaxone disodium 20 mg/ml
Глюкоза 5% 1982
совместимый
Инъекция Anidulafungin 0.5 mg/ml
Инъекция Cefuroxime sodium 30 mg/ml
Глюкоза 5% 1982
совместимый
Инъекция Anidulafungin 0.5 mg/ml
Инъекция Ciclosporin 5 mg/ml
Глюкоза 5% 1982
совместимый
Инъекция Anidulafungin 0.5 mg/ml
Инъекция Cimetidine hydrochloride 12 mg/ml
Глюкоза 5% 1982
совместимый
Инъекция Anidulafungin 0.5 mg/ml
Инъекция Ciprofloxacin lactate 2 mg/ml
Глюкоза 5% 1982
совместимый
Инъекция Anidulafungin 0.5 mg/ml
Инъекция Cisplatin 1 mg/ml
Глюкоза 5% 1982
совместимый
Инъекция Anidulafungin 0.5 mg/ml
Инъекция Clindamycin phosphate 10 mg/ml
Глюкоза 5% 1982
совместимый
Инъекция Anidulafungin 0.5 mg/ml
Инъекция Co-trimoxazole 4/0.8 mg/ml
Глюкоза 5% 1982
совместимый
Инъекция Anidulafungin 0.5 mg/ml
Инъекция Cyclophosphamide 10 mg/ml
Глюкоза 5% 1982
совместимый
Инъекция Anidulafungin 0.5 mg/ml
Инъекция Cytarabine 50 mg/ml
Глюкоза 5% 1982
совместимый
Инъекция Anidulafungin 0.5 mg/ml
Инъекция Daunorubicin hydrochloride 1 mg/ml
Глюкоза 5% 1982
совместимый
Инъекция Anidulafungin 0.5 mg/ml
Инъекция Dexamethasone sodium phosphate 1 mg/ml
Глюкоза 5% 1982
совместимый
Инъекция Anidulafungin 0.5 mg/ml
Инъекция Digoxin 250 µg/ml
Глюкоза 5% 1982
совместимый
Инъекция Anidulafungin 0.5 mg/ml
Инъекция Dobutamine hydrochloride 4 mg/ml
Глюкоза 5% 1982
совместимый
Инъекция Anidulafungin 0.5 mg/ml
Инъекция Docetaxel 2 mg/ml
Глюкоза 5% 1982
совместимый
Инъекция Anidulafungin 0.5 mg/ml
Инъекция Dopamine hydrochloride 3.2 mg/ml
Глюкоза 5% 1982
совместимый
Инъекция Anidulafungin 0,5 mg/ml
Инъекция Doripenem 5 mg/ml
Натрия хлорид 0,9% 2262
совместимый
Инъекция Anidulafungin 0,5 mg/ml
Инъекция Doripenem 5 mg/ml
Глюкоза 5% 2262
совместимый
Инъекция Anidulafungin 0.5 mg/ml
Инъекция Doxorubicin hydrochloride 2 mg/ml
Глюкоза 5% 1982
совместимый
Инъекция Anidulafungin 0.5 mg/ml
Инъекция Epinephrine hydrochloride 50 µg/ml
Глюкоза 5% 1982
Немедленные осадки несовместимый
Инъекция Anidulafungin 0.5 mg/ml
Инъекция Ertapenem 20 mg/ml
Глюкоза 5% 1982
совместимый
Инъекция Anidulafungin 0.5 mg/ml
Инъекция Erythromycin lactobionate 5 mg/ml
Глюкоза 5% 1982
совместимый
Инъекция Anidulafungin 0.5 mg/ml
Инъекция Etoposide phosphate 5 mg/ml
Глюкоза 5% 1982
совместимый
Инъекция Anidulafungin 0.5 mg/ml
Инъекция Famotidine 2 mg/ml
Глюкоза 5% 1982
совместимый
Инъекция Anidulafungin 0.5 mg/ml
Инъекция Fentanyl citrate 50 µg/ml
Глюкоза 5% 1982
совместимый
Инъекция Anidulafungin 0.5 mg/ml
Инъекция Fluconazole 2 mg/ml
Глюкоза 5% 1982
совместимый
Инъекция Anidulafungin 0.5 mg/ml
Инъекция Fluorouracil 16 mg/ml
Глюкоза 5% 1982
совместимый
Инъекция Anidulafungin 0.5 mg/ml
Инъекция Folinate calcium 2 mg/ml
Глюкоза 5% 1982
Осадки через 1 час несовместимый
Инъекция Anidulafungin 0,77 mg/ml
Инъекция Fosfomycin 30 mg/ml
Натрия хлорид 0,9% 4055
Осадки через 15 часов несовместимый
Инъекция Anidulafungin 0,77 mg/ml
Инъекция Fosfomycin 30 mg/ml
Глюкоза 5% 4055
совместимый
Инъекция Anidulafungin 0.5 mg/ml
Инъекция Furosemide 3 mg/ml
Глюкоза 5% 1982
совместимый
Инъекция Anidulafungin 0.5 mg/ml
Инъекция Ganciclovir sodium 20 mg/ml
Глюкоза 5% 1982
совместимый
Инъекция Anidulafungin 0.5 mg/ml
Инъекция Gemcitabine hydrochloride 10 mg/ml
Глюкоза 5% 1982
совместимый
Инъекция Anidulafungin 0.5 mg/ml
Инъекция Gentamicin sulfate 5 mg/ml
Глюкоза 5% 1982
совместимый
Инъекция Anidulafungin 0.5 mg/ml
Инъекция Heparin sodium 100 UI/ml
Глюкоза 5% 1982
совместимый
Инъекция Anidulafungin 0.5 mg/ml
Инъекция Hydrocortisone sodium succinate 1 mg/ml
Глюкоза 5% 1982
совместимый
Инъекция Anidulafungin 0.5 mg/ml
Инъекция Ifosfamide 25 mg/ml
Глюкоза 5% 1982
совместимый
Инъекция Anidulafungin
Глюкоза 5% 3567
совместимый
Инъекция Anidulafungin 0.5 mg/ml
Инъекция Hydromorphone hydrochloride 0.5 mg/ml
Глюкоза 5% 1982
совместимый
Инъекция Anidulafungin 0.5 mg/ml
Инъекция Imipenem - cilastatin sodium 5 mg/ml
Глюкоза 5% 1982
совместимый
Инъекция Anidulafungin 0.77 mg/ml
Инъекция Isavuconazonium sulfate 1.5 mg/ml
Натрия хлорид 0,9% 3829
совместимый
Инъекция Anidulafungin 0.77 mg/ml
Инъекция Isavuconazonium sulfate 1.5 mg/ml
Глюкоза 5% 3829
совместимый
Инъекция Anidulafungin 0.5 mg/ml
Инъекция Levofloxacine 5 mg/ml
Глюкоза 5% 1982
совместимый
Инъекция Anidulafungin 0.5 mg/ml
Инъекция Linezolid 2 mg/ml
Глюкоза 5% 1982
совместимый
Инъекция Anidulafungin 0.5 mg/ml
Инъекция Meropenem 2.5 mg/ml
Глюкоза 5% 1982
совместимый
Инъекция Anidulafungin 0.5 mg/ml
Инъекция Methylprednisolone sodium succinate 5 mg/ml
Глюкоза 5% 1982
совместимый
Инъекция Anidulafungin 0.5 mg/ml
Инъекция Metronidazole 5 mg/ml
Глюкоза 5% 1982
совместимый
Инъекция Anidulafungin 0.5 mg/ml
Инъекция Midazolam hydrochloride 1 mg/ml
Глюкоза 5% 1982
совместимый
Инъекция Anidulafungin 0.5 mg/ml
Инъекция Morphine sulfate 15 mg/ml
Глюкоза 5% 1982
совместимый
Инъекция Anidulafungin 0.5 mg/ml
Инъекция Mycophenolate mofetil 6 mg/ml
Глюкоза 5% 1982
совместимый
Инъекция Anidulafungin 0.5 mg/ml
Инъекция Paclitaxel 0.6 mg/ml
Глюкоза 5% 1982
совместимый
Инъекция Anidulafungin 0.5 mg/ml
Инъекция Pantoprazole sodium 0.4 mg/ml
Глюкоза 5% 1982
совместимый
Инъекция Anidulafungin 0.5 mg/ml
Инъекция Pethidine hydrochloride 10 mg/ml
Глюкоза 5% 1982
совместимый
Инъекция Anidulafungin 0.5 mg/ml
Инъекция Phenylephrine hydrochloride 1 mg/ml
Глюкоза 5% 1982
совместимый
Инъекция Anidulafungin 0.5 mg/ml
Инъекция Piperacillin sodium / tazobactam 40/5 mg/ml
Глюкоза 5% 1982
Мутность за 15 минут несовместимый
Инъекция Anidulafungin 0,77 mg/ml
Инъекция Plazomicin sulfate 24 mg/ml
Натрия хлорид 0,9% 4145
совместимый
Инъекция Anidulafungin 0.5 mg/ml
Инъекция Potassium chloride 0.1 mEq/l
Глюкоза 5% 1982
совместимый
Инъекция Anidulafungin 0.5 mg/ml
Инъекция Quinupristine/dalfopristine 5 mg/ml
Глюкоза 5% 1982
совместимый
Инъекция Anidulafungin 0.5 mg/ml
Инъекция Ranitidine hydrochloride 2 mg/ml
Глюкоза 5% 1982
Немедленная мутность несовместимый
Инъекция Anidulafungin 0.5 mg/ml
Инъекция Sodium bicarbonate 84 mg/ml
Глюкоза 5% 1982
совместимый
Инъекция Anidulafungin 0,77 mg/ml
Инъекция Sulbactam/durlobactam 15/15 mg/ml
Натрия хлорид 0,9% 4801
совместимый
Инъекция Anidulafungin 0.5 mg/ml
Инъекция Tacrolimus 20 µg/ml
Глюкоза 5% 1982
совместимый
Инъекция Anidulafungin 0.77 mg/ml
Инъекция Tedizolid phosphate 0.8 mg/ml
Натрия хлорид 0,9% 3827
совместимый
Инъекция Anidulafungin 0.5 mg/ml
Инъекция Ticarcillin / clavulanic acid 31 mg/ml
Глюкоза 5% 1982
совместимый
Инъекция Anidulafungin 0.5 mg/ml
Инъекция Tobramycin sulfate 5 mg/ml
Глюкоза 5% 1982
совместимый
Инъекция Anidulafungin 0.5 mg/ml
Инъекция Vancomycin hydrochloride 10 mg/ml
Глюкоза 5% 1982
совместимый
Инъекция Anidulafungin 0.5 mg/ml
Инъекция Vincristine sulfate 0.05 mg/ml
Глюкоза 5% 1982
совместимый
Инъекция Anidulafungin 0.5 mg/ml
Инъекция Voriconazole 4 mg/ml
Глюкоза 5% 1982
совместимый
Инъекция Anidulafungin
Натрия хлорид 0,9% 3567
совместимый
Инъекция Anidulafungin 0.5 mg/ml
Инъекция Zidovudine 4 mg/ml
Глюкоза 5% 1982
Немедленная мутность несовместимый
Инъекция Anidulafungin 0.5 mg/ml
NaHCO3 1982

  Mentions Légales