Letztes “update” :
17/12/2025
Antifungoid   Anidulafungin  
Injektion
Stabilität der Lösung Gemengestabilität Stabilitätbeeinflussende Faktoren Kompatibilitäten Applikationsart Literaturverzeichnis pdf
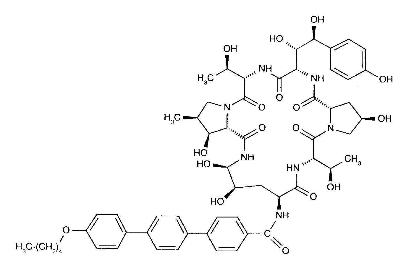
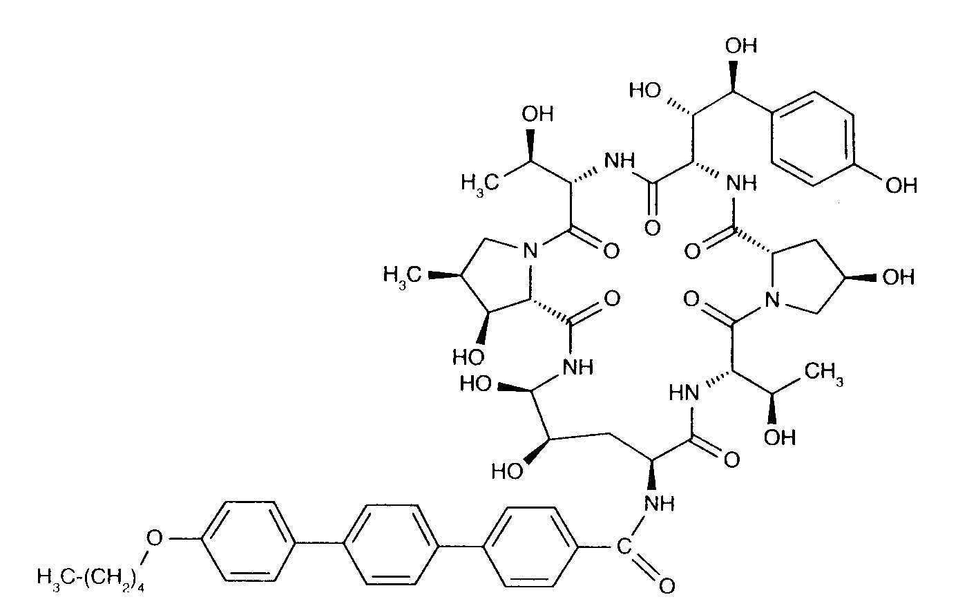
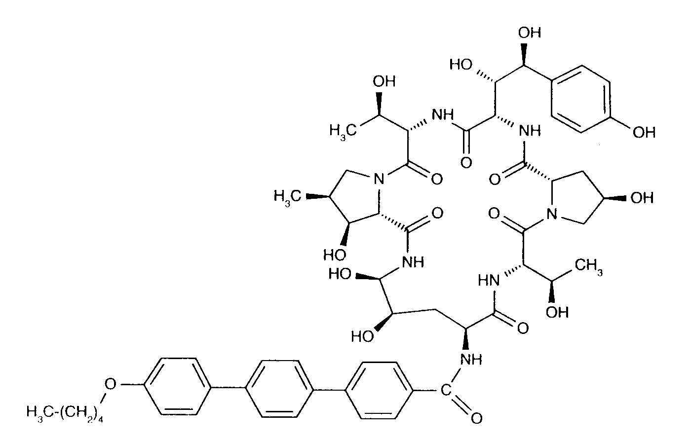
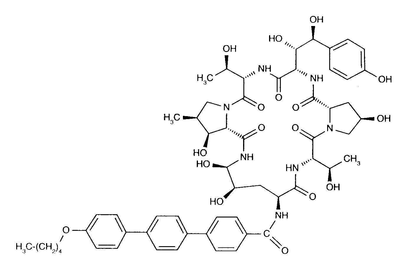
   Chemische Struktur  

Handelsmarke   Handelsmarke     

Handelsnamen sind als beispielhaft anzusehen. Sonstige Bestandteile können je nach Hersteller oder Land verschieden sein

Anidulafungin Belgien, Deutschland, Großbritannien
Anidulafungina Brasilien, Spanien
Ecalta Argentinien, Belgien, Brasilien, Chile, Dänemark, Deutschland, Finnland, Frankreich, Griechenland, Großbritannien, Italien, Kanada, Kolumbien, Luxemburg, Malaysia, Niederlande, Norwegen, Peru, Polen, Rumänien, Schweden, Schweiz, Spanien, Türkei, Ungarn, Venezuela, Vereinigte Staaten von Amerika
Equalta Mexiko
Eraxis Australien, Kanada, Vereinigte Staaten von Amerika
Fuzig Mexiko

Stabilitätbeeinflussende Faktoren   Injektion   Stabilitätbeeinflussende Faktoren : Anidulafungin        
Literaturverzeichnis
Lösungsmittel NaHCO3 Führt zu Degradation 1982
Temperatur -20°C Führt zu Niederschlag 3567

  Mentions Légales