Last update :
27/01/2026
Antifungal   Anidulafungin  
injection
Stability in solutions Stability of mixtures Factors which affect stability Compatibility Route of administration References pdf
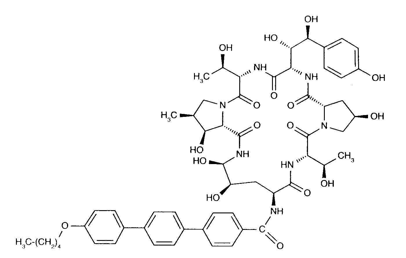
   Chemical structure  

Tradename   Tradename     

Trade names are indicative and excipients composition can be different depending on the country and manufacturers

Anidulafungin Belgium, Germany, Great Britain
Anidulafungina Brazil, Spain
Ecalta Argentina, Belgium, Brazil, Canada, Chile, Colombia, Denmark, Finland, France, Germany, Great Britain, Greece, Hungary, Italy, Luxembourg, Malaysia, Netherlands, Norway, Peru, Poland, Romania, Spain, Sweden, Switzerland, Turkey, United States of America, Venezuela
Equalta Mexico
Eraxis Australia, Canada, United States of America
Fuzig Mexico
Compatibility   injection   Compatibility : Anidulafungin              
This screen indicates the compatibilities or incompatibilities with, in this case, the type of incompatibility (precipitation, color change, modification of an emulsion, etc.). The compatibilities shown here are mostly physical only, with the chemical stability of each molecule rarely being assessed. The evaluation of these mixtures was studied to consider the possibility of Y-site administration to the patient. These data cannot be used for making mixtures in advance in bags or syringes. This type of information is available in the screen "Stability in mixture ».
Compound Solvent References
Compatible
injection Anidulafungin 0.5 mg/ml
injection Aciclovir sodium 7 mg/ml
Glucose 5% 1982
Compatible
injection Anidulafungin 0.5 mg/ml
injection Amikacin sulfate 5 mg/ml
Glucose 5% 1982
Compatible
injection Anidulafungin 0.5 mg/ml
injection Aminophylline 2.5 mg/ml
Glucose 5% 1982
Immediate turbidity Incompatible
injection Anidulafungin 0,5 mg/ml
injection Amphotericin B 0,6 mg/ml
Glucose 5% 1982
Compatible
injection Anidulafungin 0.5 mg/ml
injection Amphotericin B cholesteryl sulfate complex 1 mg/ml
Glucose 5% 1982
Compatible
injection Anidulafungin 0.5 mg/ml
injection Amphotericin B liposomale 1 mg/ml
Glucose 5% 1982
Compatible
injection Anidulafungin 0.5 mg/ml
injection Ampicillin sodium 20 mg/ml
Glucose 5% 1982
Compatible
injection Anidulafungin 0.5 mg/ml
injection Ampicillin sodium - sulbactam sodium 20/10 mg/ml
Glucose 5% 1982
Compatible
injection Anidulafungin 0.5 mg/ml
injection Carboplatin 5 mg/ml
Glucose 5% 1982
Compatible
injection Anidulafungin 0.5 mg/ml
injection Cefazolin sodium 20 mg/ml
Glucose 5% 1982
Compatible
injection Anidulafungin 0.5 mg/ml
injection Cefepime dihydrochloride 20 mg/ml
Glucose 5% 1982
Compatible
injection Anidulafungin 0.77 mg/ml
injection Cefiderocol sulfate tosylate 20 mg/mL
Sodium chloride 0,9% 4528
Compatible
injection Anidulafungin 0.77 mg/ml
injection Cefiderocol sulfate tosylate 20 mg/mL
Glucose 5% 4528
Compatible
injection Anidulafungin 0.5 mg/ml
injection Cefoxitin sodium 20 mg/ml
Glucose 5% 1982
Compatible
injection Anidulafungin 0.5 mg/ml
injection Ceftazidime 40 mg/ml
Glucose 5% 1982
Compatible
injection Anidulafungin 0.5 mg/ml
injection Ceftizoxime sodium 20 mg/ml
Glucose 5% 1982
Compatible
injection Anidulafungin 0.77 mg/ml
injection Ceftolozane / tazobactam 10/5 mg/ml
Sodium chloride 0,9% 3828
Compatible
injection Anidulafungin 0.77 mg/ml
injection Ceftolozane / tazobactam 10/5 mg/ml
Glucose 5% 3828
Compatible
injection Anidulafungin 0.5 mg/ml
injection Ceftriaxone disodium 20 mg/ml
Glucose 5% 1982
Compatible
injection Anidulafungin 0.5 mg/ml
injection Cefuroxime sodium 30 mg/ml
Glucose 5% 1982
Compatible
injection Anidulafungin 0.5 mg/ml
injection Ciclosporin 5 mg/ml
Glucose 5% 1982
Compatible
injection Anidulafungin 0.5 mg/ml
injection Cimetidine hydrochloride 12 mg/ml
Glucose 5% 1982
Compatible
injection Anidulafungin 0.5 mg/ml
injection Ciprofloxacin lactate 2 mg/ml
Glucose 5% 1982
Compatible
injection Anidulafungin 0.5 mg/ml
injection Cisplatin 1 mg/ml
Glucose 5% 1982
Compatible
injection Anidulafungin 0.5 mg/ml
injection Clindamycin phosphate 10 mg/ml
Glucose 5% 1982
Compatible
injection Anidulafungin 0.5 mg/ml
injection Co-trimoxazole 4/0.8 mg/ml
Glucose 5% 1982
Compatible
injection Anidulafungin 0.5 mg/ml
injection Cyclophosphamide 10 mg/ml
Glucose 5% 1982
Compatible
injection Anidulafungin 0.5 mg/ml
injection Cytarabine 50 mg/ml
Glucose 5% 1982
Compatible
injection Anidulafungin 0.5 mg/ml
injection Daunorubicin hydrochloride 1 mg/ml
Glucose 5% 1982
Compatible
injection Anidulafungin 0.5 mg/ml
injection Dexamethasone sodium phosphate 1 mg/ml
Glucose 5% 1982
Compatible
injection Anidulafungin 0.5 mg/ml
injection Digoxin 250 µg/ml
Glucose 5% 1982
Compatible
injection Anidulafungin 0.5 mg/ml
injection Dobutamine hydrochloride 4 mg/ml
Glucose 5% 1982
Compatible
injection Anidulafungin 0.5 mg/ml
injection Docetaxel 2 mg/ml
Glucose 5% 1982
Compatible
injection Anidulafungin 0.5 mg/ml
injection Dopamine hydrochloride 3.2 mg/ml
Glucose 5% 1982
Compatible
injection Anidulafungin 0,5 mg/ml
injection Doripenem 5 mg/ml
Sodium chloride 0,9% 2262
Compatible
injection Anidulafungin 0,5 mg/ml
injection Doripenem 5 mg/ml
Glucose 5% 2262
Compatible
injection Anidulafungin 0.5 mg/ml
injection Doxorubicin hydrochloride 2 mg/ml
Glucose 5% 1982
Compatible
injection Anidulafungin 0.5 mg/ml
injection Epinephrine hydrochloride 50 µg/ml
Glucose 5% 1982
Immediate precipitation Incompatible
injection Anidulafungin 0.5 mg/ml
injection Ertapenem 20 mg/ml
Glucose 5% 1982
Compatible
injection Anidulafungin 0.5 mg/ml
injection Erythromycin lactobionate 5 mg/ml
Glucose 5% 1982
Compatible
injection Anidulafungin 0.5 mg/ml
injection Etoposide phosphate 5 mg/ml
Glucose 5% 1982
Compatible
injection Anidulafungin 0.5 mg/ml
injection Famotidine 2 mg/ml
Glucose 5% 1982
Compatible
injection Anidulafungin 0.5 mg/ml
injection Fentanyl citrate 50 µg/ml
Glucose 5% 1982
Compatible
injection Anidulafungin 0.5 mg/ml
injection Fluconazole 2 mg/ml
Glucose 5% 1982
Compatible
injection Anidulafungin 0.5 mg/ml
injection Fluorouracil 16 mg/ml
Glucose 5% 1982
Compatible
injection Anidulafungin 0.5 mg/ml
injection Folinate calcium 2 mg/ml
Glucose 5% 1982
Precipitation after 1 hour Incompatible
injection Anidulafungin 0,77 mg/ml
injection Fosfomycin 30 mg/ml
Sodium chloride 0,9% 4055
Precipitation after 15 minutes Incompatible
injection Anidulafungin 0,77 mg/ml
injection Fosfomycin 30 mg/ml
Glucose 5% 4055
Compatible
injection Anidulafungin 0.5 mg/ml
injection Furosemide 3 mg/ml
Glucose 5% 1982
Compatible
injection Anidulafungin 0.5 mg/ml
injection Ganciclovir sodium 20 mg/ml
Glucose 5% 1982
Compatible
injection Anidulafungin 0.5 mg/ml
injection Gemcitabine hydrochloride 10 mg/ml
Glucose 5% 1982
Compatible
injection Anidulafungin 0.5 mg/ml
injection Gentamicin sulfate 5 mg/ml
Glucose 5% 1982
Compatible
injection Anidulafungin 0.5 mg/ml
injection Heparin sodium 100 UI/ml
Glucose 5% 1982
Compatible
injection Anidulafungin 0.5 mg/ml
injection Hydrocortisone sodium succinate 1 mg/ml
Glucose 5% 1982
Compatible
injection Anidulafungin 0.5 mg/ml
injection Ifosfamide 25 mg/ml
Glucose 5% 1982
Compatible
injection Anidulafungin
Glucose 5% 3567
Compatible
injection Anidulafungin 0.5 mg/ml
injection Hydromorphone hydrochloride 0.5 mg/ml
Glucose 5% 1982
Compatible
injection Anidulafungin 0.5 mg/ml
injection Imipenem - cilastatin sodium 5 mg/ml
Glucose 5% 1982
Compatible
injection Anidulafungin 0.77 mg/ml
injection Isavuconazonium sulfate 1.5 mg/ml
Sodium chloride 0,9% 3829
Compatible
injection Anidulafungin 0.77 mg/ml
injection Isavuconazonium sulfate 1.5 mg/ml
Glucose 5% 3829
Compatible
injection Anidulafungin 0.5 mg/ml
injection Levofloxacine 5 mg/ml
Glucose 5% 1982
Compatible
injection Anidulafungin 0.5 mg/ml
injection Linezolid 2 mg/ml
Glucose 5% 1982
Compatible
injection Anidulafungin 0.5 mg/ml
injection Meropenem 2.5 mg/ml
Glucose 5% 1982
Compatible
injection Anidulafungin 0.5 mg/ml
injection Methylprednisolone sodium succinate 5 mg/ml
Glucose 5% 1982
Compatible
injection Anidulafungin 0.5 mg/ml
injection Metronidazole 5 mg/ml
Glucose 5% 1982
Compatible
injection Anidulafungin 0.5 mg/ml
injection Midazolam hydrochloride 1 mg/ml
Glucose 5% 1982
Compatible
injection Anidulafungin 0.5 mg/ml
injection Morphine sulfate 15 mg/ml
Glucose 5% 1982
Compatible
injection Anidulafungin 0.5 mg/ml
injection Mycophenolate mofetil 6 mg/ml
Glucose 5% 1982
Compatible
injection Anidulafungin 0.5 mg/ml
injection Paclitaxel 0.6 mg/ml
Glucose 5% 1982
Compatible
injection Anidulafungin 0.5 mg/ml
injection Pantoprazole sodium 0.4 mg/ml
Glucose 5% 1982
Compatible
injection Anidulafungin 0.5 mg/ml
injection Pethidine hydrochloride 10 mg/ml
Glucose 5% 1982
Compatible
injection Anidulafungin 0.5 mg/ml
injection Phenylephrine hydrochloride 1 mg/ml
Glucose 5% 1982
Compatible
injection Anidulafungin 0.5 mg/ml
injection Piperacillin sodium / tazobactam 40/5 mg/ml
Glucose 5% 1982
Turbidity in 15 minutes Incompatible
injection Anidulafungin 0,77 mg/ml
injection Plazomicin sulfate 24 mg/ml
Sodium chloride 0,9% 4145
Compatible
injection Anidulafungin 0.5 mg/ml
injection Potassium chloride 0.1 mEq/l
Glucose 5% 1982
Compatible
injection Anidulafungin 0.5 mg/ml
injection Quinupristine/dalfopristine 5 mg/ml
Glucose 5% 1982
Compatible
injection Anidulafungin 0.5 mg/ml
injection Ranitidine hydrochloride 2 mg/ml
Glucose 5% 1982
Immediate turbidity Incompatible
injection Anidulafungin 0.5 mg/ml
injection Sodium bicarbonate 84 mg/ml
Glucose 5% 1982
Compatible
injection Anidulafungin 0,77 mg/ml
injection Sulbactam/durlobactam 15/15 mg/ml
Sodium chloride 0,9% 4801
Compatible
injection Anidulafungin 0.5 mg/ml
injection Tacrolimus 20 µg/ml
Glucose 5% 1982
Compatible
injection Anidulafungin 0.77 mg/ml
injection Tedizolid phosphate 0.8 mg/ml
Sodium chloride 0,9% 3827
Compatible
injection Anidulafungin 0.5 mg/ml
injection Ticarcillin / clavulanic acid 31 mg/ml
Glucose 5% 1982
Compatible
injection Anidulafungin 0.5 mg/ml
injection Tobramycin sulfate 5 mg/ml
Glucose 5% 1982
Compatible
injection Anidulafungin 0.5 mg/ml
injection Vancomycin hydrochloride 10 mg/ml
Glucose 5% 1982
Compatible
injection Anidulafungin 0.5 mg/ml
injection Vincristine sulfate 0.05 mg/ml
Glucose 5% 1982
Compatible
injection Anidulafungin 0.5 mg/ml
injection Voriconazole 4 mg/ml
Glucose 5% 1982
Compatible
injection Anidulafungin
Sodium chloride 0,9% 3567
Compatible
injection Anidulafungin 0.5 mg/ml
injection Zidovudine 4 mg/ml
Glucose 5% 1982
Immediate turbidity Incompatible
injection Anidulafungin 0.5 mg/ml
NaHCO3 1982

  Mentions Légales