Dernière mise à jour :
27/11/2025
Antifongique   Anidulafungin  
injectable
Stabilité des solutions Stabilité en mélange Facteur influençant la stabilité Compatibilités Voie d’administration Bibliographie pdf
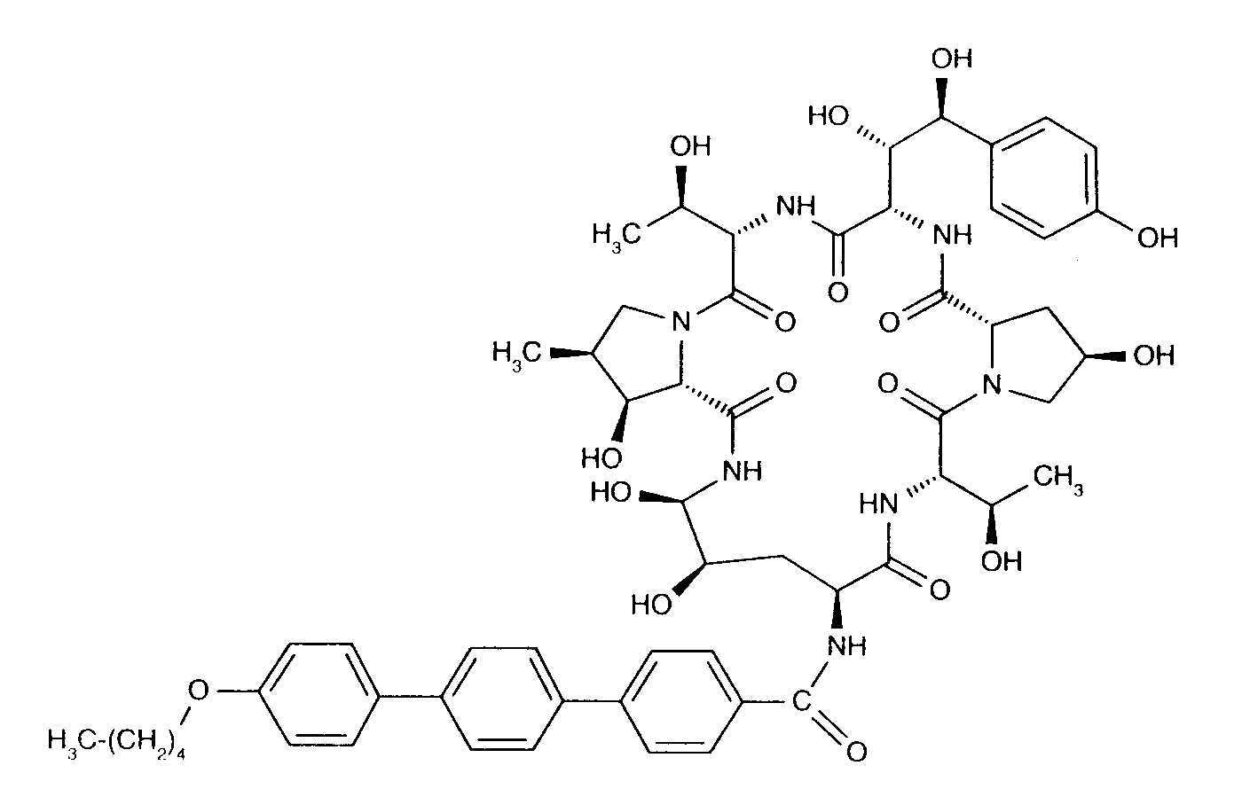
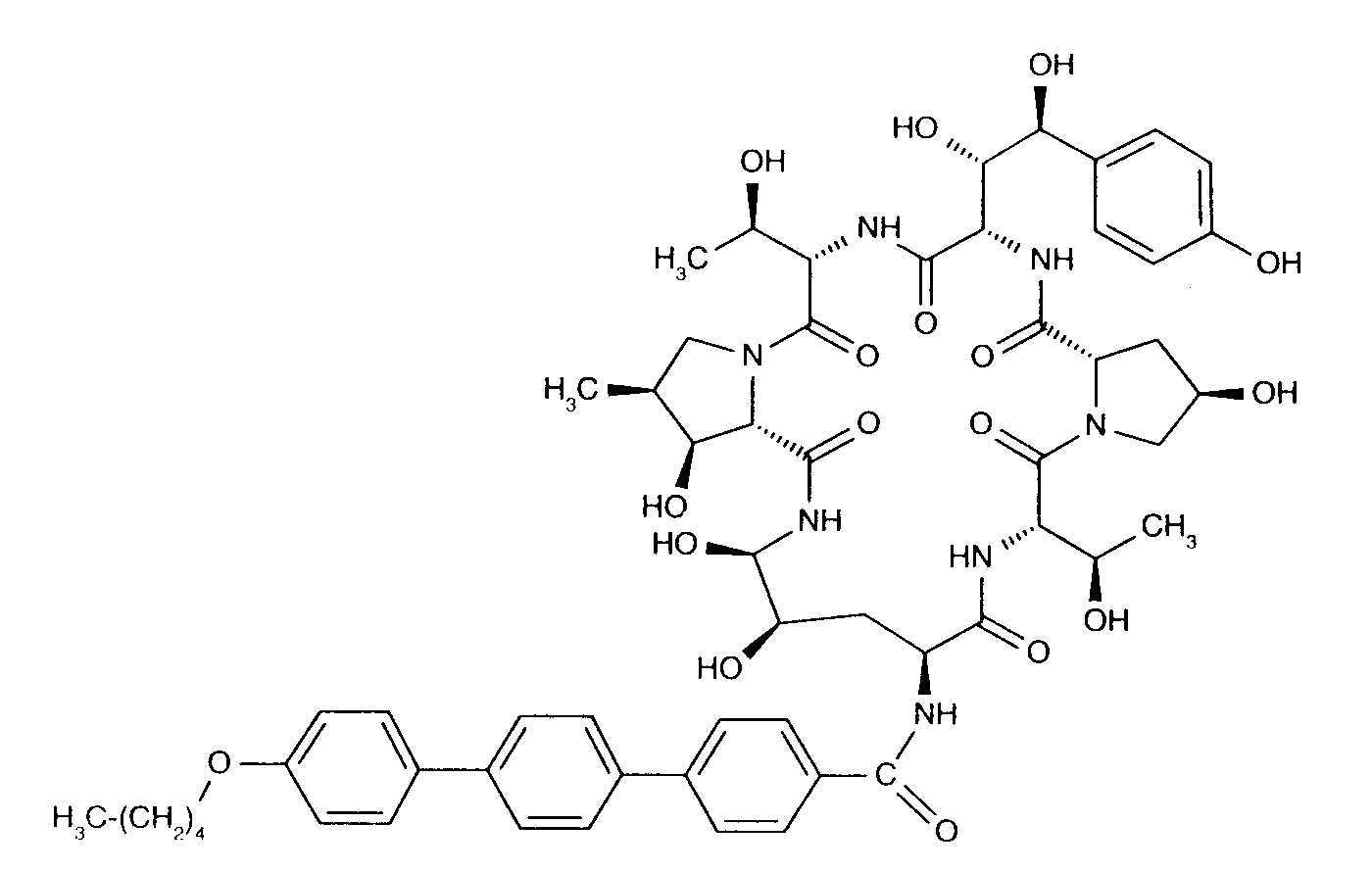
   Structure chimique  

Noms commerciaux   Noms commerciaux     

Les noms commerciaux sont donnés à titre indicatif et la composition en excipients peut être différente selon les pays et selon les laboratoires

Anidulafungin Allemagne, Belgique, Grande Bretagne
Anidulafungina Brésil, Espagne
Ecalta Allemagne, Argentine, Belgique, Brésil, Canada, Chili, Colombie, Danemark, Espagne, Etats Unis d’Amérique, Finlande, France, Grande Bretagne, Grèce, Hongrie, Italie, Luxembourg, Malaisie, Norvège, Pays bas, Pérou, Pologne, Roumanie, Suède, Suisse, Turquie, Vénézuela
Equalta Mexique
Eraxis Australie, Canada, Etats Unis d’Amérique
Fuzig Mexique
Bibliographie   injectable   Bibliographie : Anidulafungin  
Type Source
1982 Revue Trissel LA, Ogundele AB.
Compatibility of anidulafungin with other drugs during simulated Y-site administration.
Am J Health-Syst Pharm 2005 ; 62: 834-837.
2262 Revue Brammer MK, Chan P, Heatherly K, Trusley C, Kupiec TC, Trissel LA, Psathas PA, Gilmor T, Schaufelberger D.
Compatibility of doripenem with other drugs during simulated Y-site administratioN
Am J Health-Syst Pharm 2008 ; 65: 1261-1265.
3567 Laboratoire Anidulafungin (Ecalta®) - Summary of Product Characteristics.
Pfizer 2020
3827 Poster Ghazi I.M, Hamada Y, Nicolau D.P.
Compatibility of tedizolid phosphate with selected intravenous drugs via simulated Y-site conditions.
ASHP Midyear 2015
3828 Poster Thabit A.K, Hamada Y, Nicolau D.P.
Ceftozolane/tazobactam physical compatibility during simulated Y-site administration.
ASHP Midyear 2015
3829 Poster So W, Kim L, Thabit A.K, Nicolau D.P, Kuti J.L.
Compatibility of isavunazonium sulfate during simulated Y-site administration.
ASHP Midyear 2015
4055 Revue Monogue M, Almarzoky Abuhussain S, Kuti J, Nicolau D.
Physical compatibility of fosfomycin for injection with select i.v. drugs during simulated Y-site administration.
Am J Health-Syst Pharm 2018 , 75, 1:36-44
4145 Revue Asempa T.E, Avery L.M, Kidd J.M, Kuti J.L, Nicolau D.P.
Physical compatibility of plazomicin with select i.v. drugs during simulated Y-site administration.
Am J Health-Syst Pharm 2018 ;75,14:1048-1056
4528 Revue Lu J, Liu Q, Kupiec T, Vail H, Lunch L, Fam D, Vu N.
Physical Compatibility of Cefiderocol with Selected Intravenous Drugs During Simulated Y-site Administration.
Int J Pharm Compound 2021 ;25,1:52-61
4801 Revue Ruiz V, Yuwei Shen Y, Abouelhassan Y, Fouad A, Nicolau D, Kuti J.
Physical compatibility of sulbactam/durlobactam with select intravenous drugs during simulated Y-site administration.
Am J Health-Syst Pharm 2024 ;51,1:

  Mentions Légales